
소방용 방화복 및 방화 장비에 따른 상반신 관절 각도의 동작 범위 연구
Copyright © 2015, The Society of Fashion and Textile Industry
This article is an open access article distributed under the terms and conditions of the Creative Commons Attribution license (http://creativecommons.org/licenses/by/3.0/), which permits unrestricted use, distribution, and reproduction in any medium,provided the original work is properly cited.
Abstract
This study analyzed the range of motion of upper body in different configurations of firefighters’ protective clothing and equipment. The purpose of this study was to understand the influence of firefighters’ protective clothing and equipment over upper body motion in order to improve design of firefighters’ protective clothing and equipment. 12 firefighters’ upper body range of motion was analyzed while performing standing and walking trials in five different garment configurations including turnout ensemble, fire boots and the self-contained breathing apparatus. Analysis of upper body range of motion included spinal joints of L5S1, L4L3, T1C7, and C1Head. During standing trials, garment configurationscaused a significant difference in range of motions at joints of L5S1, L4L3, T1C7, and C1Head. Analysis on the mean of range of motions at L5S1 and L4L3, showed that firefighters’ waist bent forward significantly to a greater extent while they wore a self-contained breathing apparatus. A significantly increased range of motion was found for T1C7 and C1Head while carrying a self-contained breathing apparatus, which indicated an increase in the extension of the trunk and neck backward to stand upright and look squarely. A significant difference in range of motion was also found for L5S1 and L4L3 during walking trials.
Keywords:
firefighters’ protective clothing, firefighters’ equipment, motion capture, joint angle, range of motion키워드:
방화복, 방화 장비, 모션 캡처, 관절 각도, ROM: 동작 범위1. 서 론
소방관은 위험한 화재 현장에서 방화복과 방화 장비에 의지하여 화재 진압과 인명 구조 활동을 펼친다. 소방관의 개인 보호 장비(personal protective equipment: PPE)인 방화복과 방화장비는 방화복 상·하의와 소방화, 공기호흡기, 헬멧, 장갑, 랜턴, 방화두건으로 기본 구성된다(「Ministry of Public Safety and Security」, 2014).
방화복이 위험한 환경에서 보호복으로서의 ‘안전성(safety)’을수행하기 위해서는 구조적으로 겉감(out shell), 중간층(moisturebarrier), 안감(thermal barrier)의 3개 층으로 구성되도록 규정되는데(Korea Fire Institute, 2014) 그 주요 기능을 살펴보면, 겉감은 열과 화염, 충격으로부터 보호하는 기능을 수행하고 중간층은 물을 차단하고 땀을 배출하는 기능을 수행하며 안감은 열로부터 보호하는 기능을 수행하여야 한다(Kim, 2006). 그러나 이러한 방화복의 구성 요건은 실제 인체 치수에 비해 부피가 큰 맞음새를 만들고 옷의 중량을 증가시켜 인체의 동작 범위를 제한하게 되므로 ‘안전성(safety)’과 동시에 필수적인 보호복으로서의 ‘편안함(comfort)’을 저해하게 된다. Bang et al.(2014)은 소방관 100명을 대상으로 한 소방복 착용만족도 조사의 동작제한성 평가에서 소방복 상의와 하의의 모든 신체부위에서 ‘편하다’로 평가된 응답이 한 건도 관찰되지 않았다고 하여 방화복이 소방관의 동작을 크게 제한하고 있음을 밝혔다. 소방관의 동작이 제한되는 것은 ‘편안함’을 방해하는 이상의 ‘위험’을 초래하게 된다. 특히, 방화 장비 일체를 갖춘 상태에서는 부상의 위험은 크게 증가하고 작업 능률은 크게 감소되는데 Huck(1988)와 Adams and Keyserkling(1995)은 화재 현장에서 무겁고 부피가 큰 방화복과 방화 장비 일체가 화상 사고의 원인이 되고 소방관의 동작을 느리게 만들며 근골격계 부상 위험을 증가시킨다고 하였다. 또한, Yi(2007)는 소방관 어깨, 허리,목, 무릎 부위에 근골격계 질환 및 통증이 많은 원인은 바른자세가 불가한 낮은 자세, 발밑에서 어깨 위로 중량물을 드는작업, 중량의 공기호흡기 등을 등에 메고 무거운 호수를 끄는 등의 작업 형태에서 비롯된다고 하였다.
지금까지의 연구들이 소방관의 건강과 업무 능률을 저해하는 원인을 규명하는데 초점을 맞추고 있지만 그 원인이 되는 방화복과 방화 장비 일체가 각각 개별적으로 소방관의 자세와 동작에 미치는 영향을 정량적으로 분석한 연구는 아직 미비한 실정이다. 방화복과 방화 장비 일체가 소방관의 자세와 동작에미치는 영향을 정량적으로 파악하는 연구는 자세와 동작을 제한하는 요소를 구체화하여 방화복과 방화 장비 일체를 설계하고 보호복의 기능을 개선하는데 필요한 자료로 활용도가 높을 것이다.
따라서 본 연구에서는 방화복과 방화 장비 중 소방관의 자세와 동작에 직접 영향을 주는 소방화, 공기호흡기의 착용 상태를 변화시키면서 소방관의 선 자세와 걷기 동작에서의 상반신 관절 각도의 동작 범위(Range of Motion: ROM)를 측정하고 비교, 분석하여 소방관의 방화복과 방화 장비가 소방관의 상반신 동작에 미치는 영향을 밝힘으로써 인간공학적인 방화복과 방화 장비의 구성과 설계에 기초 자료를 삼고자 한다.
2. 연구방법
2.1. 피험자 선정
피험자 선정은 조건은 동작 분석 실험이 건강한 성인의 일반적인 걷기 동작 패턴 수집을 위한 것이므로 정형외과 병력이 없어야 한다는 것과 무거운 방화복과 방화 장비를 착용한 상태가 익숙하여 소방 구호 작업과 연계된 동작 패턴 수집이 가능하도록 하기 위하여 현직 소방관 경력자이어야 한다는 것이었다. 선정된 피험자는 미국의 북동부 지역에서 근무하는 남성 8명, 여성 4명으로 구성된 총 12명의 소방관으로 정형외과 병력이 없고 평균 6.6년의 소방 경력을 가지고 있다. 피험자들의 신체 조건에 대한 기술 통계는 Table 1과 같다.
2.2. 방화복과 방화 장비 착용 상태
방화복과 방화 장비가 소방관의 동작에 미치는 영향을 살펴보기 위하여 방화복과 방화 장비의 착용 상태가 각각 다른 5가지 착용 상태를 실험 설계하였다. 각각의 착용 상태와 장비 특성은 Fig. 1과 같다.
C1은 반팔 티셔츠와 반바지를 입고 평균 무게 0.68kg의 자신의 운동화를 신었다. C2는 C1에 평균 무게 5.7kg의 자신의 방화복을 입었다. C3는 C2에서 평균 무게 8.1kg의 공기호흡기(The self-contained breathing apparatus: SCBA)를 착용하였다.C4는 C3에 평균 무게 약 3.2kg의 소방용 고무 부츠를 신었다.C5는 C3에 평균 무게 약 3.0kg의 소방용 가죽 부츠를 신었다.
2.3. 동작 분석
상반신 관절 각도의 ROM(Range of Motion)을 측정하기 위해 XSens사의 동작 분석 장비 MVN을 사용하였다(XSensInc., Netherlands). ROM은 관절에 의해 접합하는 두 부위의 움직임의 총량을 각도 범위로 도출하는 것으로 정의된다(Kreighbaum & Barthels, 1996). XSens사의 MVN은 동작 추적 장치(inertial sensor motion trackers)가 120Hz의 주파수로 신호를 감지하는 무선 장비로 공간 제약이 없는 장점을 가지고 있어 자연스러운 동작 패턴을 측정하기 위해 긴 실험 거리가 필요한 걷기, 달리기 등 관절 각도를 측정하는데 유용하다. 이장비는 상반신을 총 7개의 부위로 구분하여 측정하며 각각의 동작 추적 장치의 위치와 동작 분석 장비의 착장 모습은 Fig. 2의 a와 같다. 피험자가 C1 상태에서 동작분석 장비를 착용한 후, 그 위에 덧입는 방법으로 각각의 착용 상태를 갖추었다. 동작분석 장비의 무선 동작 추적센서의 위치는 Fig. 2의 b와 같으며 센서는 움직이지 않도록 단단히 고정하는데 특히, 뒤엉덩이부위 센서의 경우 엉치뼈의 편평한 부위에 놓여 허리벨트의 방해를 받지 않도록 설계되었다. 각각의 착용 상태를 갖춘 후에 매 번 센서의 위치를 캘리브레이션하여 관절 각도 측정의 정확도를 높였다.
동작 추적 장치가 측정하는 상반신 관절 각도의 ROM은 캘리브레에션을 통해 접합하는 두 뼈 사이의 관절 위치를 추적하여 측정하게 되는데 관절의 명칭과 위치는 Fig. 3의 a와 같고, 관절의 움직임을 나타내는 인체의 3개 축의 방향은 Fig. 3의 b와 같다.
본 연구에서는 상반신 동작 분석 결과 각각의 착용 상태에 따라 유의미한 차이가 나타난 관절 각도는 L5S1과 L4L3, T1C7, C1Head로, 그 정의 및 특성은 다음과 같다.
- • L5S1 관절: 다섯 번째 허리뼈와 엉덩뼈 사이의 관절로 허리엉치관절이라 한다. 척추에 해당하여 몸통 부위로 분류되지만 선 자세에서 척추의 가장 아래쪽에 위치하여 정중면에서 측정되는 골반의 굴곡과 신전을 담당한다. 그러나 실제로 골반의 굴곡, 신전과 반대로 움직여서 상반신을 앞으로 기울이는 자세에서는 L5S1 관절은 굴곡이 일어나지만 골반은 신전되어 엉덩이 상부가 뒤로 빠지는 형상을 보인다.
- • L4L3 관절: 5개의 허리뼈 중 위에서 세 번째, 네 번째 위치에 해당하는 L3와 L4 사이의 관절이다. 체표에서는 뒤허리중심에서 가장 만곡이 되는 부위에 해당한다. 정중면에서 허리의 운동을 담당하는데 허리를 앞으로 숙이는 굴곡과 허리를 뒤로 젖히는 신전 동작을 보여준다. L4L3 관절은 특히 상반신의 굴곡과 신전의 축이 되어서 굴곡과 신전 두 방향 모두 동작 범위가 넓다.
- • T1C7 관절: 7개의 목뼈 중 가장 아래에 위치한 C7과 12개의 등뼈 중 가장 위에 위치한 T1 사이의 관절이다. 정중면에서 목의 굽힘 운동을 담당하는데 목을 앞으로 숙이는 굴곡과, 목을 뒤로 젖히는 신전 동작을 보여준다. 인체의 유기적인 관계에서 목의 운동은 해부학적 자세에서 아래쪽 목뼈에 해당하는 C2C3~C7T1의 전체 관절을 움직여 일어나기 때문에 아래쪽 목뼈의 평균 가동 범위가 굴곡에서 40°이고 신전에서 60°로 보고되지만(Joseph, 2011) 실제적으로 T1C7 관절은 구조상 굴곡의 각도는 크나 신전은 각도는 작아 그 가동 범위가 작을 것으로 보인다.
- • C1Head 관절: 목뼈 중 가장 위에 위치한 C1과 머리뼈 사이의 관절로 고리뒤통수관절을 의미한다. 정중면에서 머리를 끄덕이는 운동을 담당하는데 머리를 앞으로 숙이는 굴곡과, 머리를 뒤로 젖히는 신전 동작을 보여준다. 해부학적 자세에서고리뒤통수관절의 머리 평균 가동 범위는 굴곡에서 5°이고 신전에서 10°이다(Joseph, 2011).
선 자세에서 관절 각도의 ROM을 측정하였는데 본 연구에서 선 자세의 정의는 걷기 시작하기 전의 정지 자세로 정면을 바라보며 바르게 선 자세이다. 5가지 착용 상태에서 각각 3번반복 측정하였다. 선 자세에서의 관절 각도를 측정한 것은 순수하게 각 착용 상태가 피험자의 선 자세에 미치는 영향을 분석하고, 선 자세에서의 관절 각도를 걷기 동작에서의 관절 각도의 기준으로 설정하여 동작 특성을 분석하기 위함이다.
피험자들에게 10m 거리의 평지를 자신의 일상적인 보행 속도로 걷게 하였으며 이때, 상반신 관절 각도의 ROM을 측정하였다. 5가지 착용 상태에서 각각 3번 반복 측정하였으며, 걷기 동작의 속도와 보폭이 일정치 않은 첫 걸음과 마지막 걸음 부분을 제외하고 안정된 걸음걸이 패턴이 도출된 여섯 걸음이 분석에 사용되었다. 피험자의 피로도와 숙련에서 오는 측정 오차를 최소화하고자 5가지의 착용 상태 순서를 무작위로 배치하여 실험하였다.
선 자세와 걷기 동작 시 머리, 척추, 엉덩이로 구성되는 몸통 관절의 각도를 관상면(frontal plane) 상에서 측정하여 관절의 내선과 외선 동작을 분석하고, 수평면(transverse plane) 상에서 측정하여 관절의 회전 동작을 분석하고, 정중면(sagittalplane)에서 관찰하여 관절의 굴곡과 신전 동작으로 분석하였는데 관상면과 수평면 상의 동작 패턴이 불규칙하게 나타나 분석에서 제외시켰으며, 특징적인 패턴이 관찰된 정중면상의 굴곡과 신전 동작을 분석하였다. 정중면상의 상반신 굴곡과 신전 동작은 Fig. 4와 같고, 동작 분석 소프트웨어 MVN studio pro와 걷기 동작에서 상반신 관절 부위 그래프를 추출한 예는 Fig. 5와 같다.
ROM 데이터는 관절 각도의 최대값과 최소값의 차이로 계산되며 12명의 피험자에 5가지 착용 상태와 3번의 반복 실험으로 수집되었다. SPSS 20 프로그램을 사용하여 반복 측정된 데이터를 분석하기 위해 선형 혼합 모형 분석을 실시하였다. 방화복과 방화 장비의 착용 상태가 동작에 미치는 영향뿐만 아니라 피험자 성별, 실험 순서, 잠재적 상호관계에 대해서도 평가하였다. Bonferroni pairwise comparison로 사후 분석하여 착용상태에 따른 유의미한 차이를 확고히 하였다.
3. 결과 및 논의
3.1. 선 자세에서의 ROM
선 자세일 때 각각의 착용 상태에 따라 머리와 몸통 부위관절 각도의 평균을 비교, 분석한 것은 Table 2와 같다. L5S1(허리뼈 1/엉덩뼈 1)과 L4L3(허리뼈 4/허리뼈 3), T1C7(등뼈1/목뼈 7) C1Head(목뼈 1/머리)의 총 4개의 관절 부위에서 방화복과 방화 장비의 착용 상태에 따라 유의한 차이가 나타났다. 또한, L4L3과 C1Head의 관절 부위에서는 남성과 여성에 따라 유의한 차이가 나타나 성별 차이를 보였다.
각 착용 상태에 따라 유의한 차이가 나타난 L5S1와 L4L3, T1C7, C1Head의 관절 각도에 대해 Bonferroni pair-wise comparison으로 사후 분석한 결과를 Fig. 6에서 비교하였다.
A graph on mean ROM of L5S1, L4L3, T1C7 and C1Head according to garment conditions (standing) (N=12).
L5S1 관절각도 사후 분석 결과, C3, C4, C5에서 L5S1 관절 각도가 C1, C2에서의 관절 각도에 비하여 유의하게 높은것으로 나타났다. 특히, C3는 C4에 비해서도 유의하게 높은 것으로 나타났다. L5S1 관절 각도는 공기호흡기를 착용한 상태와 착용하지 않은 상태로 구분되는 것으로 공기호흡기를 착용한 상태에서 굴곡이 일어나는 것을 명확하게 보여주는 결과이다. 각 착용 상태에 따른 L5S1 각도의 평균을 비교해 보면 공기호흡기를 착용한 C3, C4, C5에서부터 공기호흡기를 착용하지 않은 C1, C2로 각도가 점차 감소되는 경향을 보인다(Fig. 6a). 공기호흡기를 착용한 경우 C3에서 가장 많이 굴곡이 된 7.589°가 측정되었으며, 그 뒤로 C5에서 7.095°, C4에서 6.414° 순으로 각도가 작아지는 경향을 보였다. 이것은 C3, C4, C5의 차이가 서로 다른 신발을 착용한 것이므로 각 신발간의 차이로 해석될 수 있는데 운동화를 신은 C3 보다 소방용고무 부츠와 가죽 부츠를 신은 C4와 C5에서 L4L3 관절의 굴곡이 작다는 것은 고무적인 결과이다. 특히, 고무 부츠를 신은 C4에서 허리의 굴곡이 작게 나온 결과는 신발목이 높고 상대적으로 재질이 두껍고 유연성이 적은 고무 부츠의 구조가 상체의 자세를 유지하는데 도움이 되는 것으로 판단된다. L5S1 관절은 L4L3 관절과 같은 경향을 보이나 공기호흡기를 등에맨 상태에서 굴곡이 되는 각도는 L5S1이 L4L3의 각도에 비해 훨씬 커서 무거운 물건을 등에 착용하는 것에 상반신뿐만 아니라 하반신에 해당하는 엉덩이 부위까지 영향을 주는 것을 확인할수 있다.
L4L3 관절각도 사후 분석 결과, C3, C4와 C5에서 관절 각도가 C1과 C2에서의 관절 각도에 비하여 유의하게 높은 것으로 나타났다. L4L3 관절 각도가 공기호흡기를 착용한 상태와 착용하지 않은 상태로 구분되는 것으로 공기호흡기를 착용한 상태에서 굴곡이 일어나는 것을 명확하게 보여주는 결과이다. 각 착용 상태에 따른 L4L3 관절 각도의 평균을 비교해 보면공기호흡기를 착용한 C3, C4, C5에서부터 공기호흡기를 착용하지 않은 C1, C2로 각도가 점차 감소되는 경향을 보인다. 공기호흡기를 착용한 경우 각 착용 상태간의 유의한 차이는 없으나 C3에서 가장 많이 굴곡이 된 3.373°가 측정되었으며, 그 뒤로 C5에서 3.154°, C4에서 2.895° 순으로 각도가 작아지는경향을 보였다(Fig. 6b). 이것은 L5S1에서와 같은 결과로 운동화를 신은 C3 보다 소방용 고무 부츠와 가죽 부츠를 신은 C4와 C5에서 L4L3 관절의 굴곡이 작게 나타나 신발목이 높은 소방화의 구조가 상체의 자세를 유지하는데 도움이 되는 것으로 판단된다. 등에 하중을 가하면 무게 중심 유지를 위해 상반신이 앞으로 기울어지게 될 것이라는 것은 일반적으로 추론할수 있다. 그러나 장시간에 걸쳐 지속적으로 상반신이 기울어진 상태를 유지하여야 한다면 건강상에 문제를 초래할 수 있다. Kinoshita(1985)는 짐을 이동할 때의 신체분절과 관절각의 운동 현상학적 고찰에서 짐의 중량이 클수록 대퇴의 경사도가 작게 나타나며 상체가 앞으로 기울어지는 정도가 현저히 크게 나타난다고 하였으며, McKenzie(2011)는 장기간 허리를 숙인 자세를 지속하면 척추 후방 구조물들에 과도한 긴장을 주게 되고 추간판 내 수액을 뒤쪽으로 밀어 신경을 자극하게 되어서 요통이 발생한다고 하였다. 또한 Kwon et al.(1999)은 요통이 심해지면 신체활동에 제한을 받게 되는데 이로 인한 근위축과 행동및 운동 제한에 의한 심폐지구력의 감소와 체중의 증가 등을 가져올 수 있다고 하였다. 방화복과 방화 장비의 착용이 초래하는 L4L3 관절 각도의 지속적인 굴곡 상태를 신발목이 상대적으로 높은 고무 부츠가 보완해줄 수 있다는 점을 반영해준다.
T1C7 관절각도 사후 분석 결과, T1C7 관절 각도는 C2에서 18.403°로 C5에서의 16.977°와 유의한 차이를 나타내었다. 각 착용 상태에 따른 차이가 C1Head 관절과 동일한 경향을 보이는데 이것은 목 운동의 유기적 관계 때문으로 보인다. C5에서 공기호흡기로 인해 무게 중심이 이동하여 등을 앞으로 숙이는 동시에 고개를 들어 시선을 정면으로 향하면서 목척추의 운동이 상대적으로 신전되어 각도 평균이 작아지는 것으로 해석된다. 그러나 C5에서 T1C7 관절이 독립적으로 C1에 비하여 작은 각도를 나타낸다고 하더라도 목 부위의 정상자세를 귀구슬점과 7번 째 목뼈의 극상돌기 중간 부분과 어깨점이 일직선상에 위치하는 것으로 판단하고 이러한 자세에서 역학 에너지를 효율적으로 사용하게 된다고 보고한(Mckenzie, 1990) 선행 연구 결과와 비교해 보면 몸통과 함께 목 부위가 앞으로 굴곡된 자세이다. 소방관은 반복된 훈련과 실제 화재 진압에 투입되는 상황에서 지속적으로 무거운 중량을 등에 매어 이러한 자세를 유지하게 된다. 이와 같은 경우에 목 부위의 바른 자세보다 귀구슬점이 전방에 위치된 자세가 장기간 지속되고 이 자세에서 목뼈의 굴곡 및 신전 동작이 반복됨에 따라 목뼈의 만곡이 변화될 수 있다(Yue et al., 2007). 또한, 목뼈가 앞으로 굴곡된 자세를 유지하면서 각 분절의 운동 조절에 관여하는 근육의 이상을 초래하여 머리가 앞으로 숙여진 자세로 고착될 수 있고(Conely et al., 1995), 목뼈 기능이 완전하지 못하고 불안정하며 퇴행성 변화와 disk 병변을 증가시키고 역학적 구조를 재변형시킨다고 하였다(Miyazaki et al., 2008) . 따라서 소방관의 건강과 안전을 위해 무게 중심이 정상 자세와 동일한 수준으로 유지하는 것이 중요한데, 공기호흡기 이외의 방화 장비를 적절히 배치하는 중량 설계가 필요하다. 각 착용 상태에 따른 T1C7 관절 각도의 평균을 비교한 그래프에서 보면 공기호흡기를 착용한 C3, C4, C5에서부터 공기호흡기를 착용하지 않은 C1, C2로 각도가 점차 증가되는 경향을 보인다(Fig. 6c). 통제상태인 C1에 비하여 C2의 각도가 적게 나온 것 또한 방화복의 스탠드칼라 목뒤높이가 약 10cm로 T1C7 관절을 덮는 구조로 되어 있어 Fig. 7과 같이 무의식적으로 머리가 약간 숙여지는 것으로 판단되나 두 착용 상태 간의 유의한 차이는 나타나지 않았다.
C1Head 관절각도 사후 분석 결과, C1Head 관절 각도는 C2에서 -3.661°로 C5에서의 -5.975°과 유의한 차이를 나타내었다. 이것은 등에 공기호흡기를 매지 않은 C2에 비하여 등에 공기호흡기를 맨 C5일 때 머리가 뒤로 젖혀졌음을 의미하는것으로 배낭을 착용하고 보행할 때 무게 중심을 유지하기 위해서 허리 각도는 앞으로 숙여지는 방향으로 커지고, 목 각도는 뒤로 젖혀지는 방향으로 작아지는 마이너스 상관관계를 규명한 Baek et al.(2010)의 연구 결과와도 일치한다. C5의 경우, 등에 8.1kg의 공기호흡기를 짊어지고 선 자세를 유지하기 위해서는 몸통을 앞으로 기울여 무게 중심을 잡게 되는데 이때, 척추가앞으로 굴곡되면서 자연스럽게 시선이 바닥 쪽으로 내려가게 되는 것을 정면을 주시하기 위하여 머리를 드는 동작을 취하기 때문에 발생하는 신전으로 해석된다. C3, C4가 C5에 비해 신전 운동이 적은 것은 L4L3에서 설명한 것과 동일하게 C4의 고무 부츠가 허리 부위 ROM을 적게 통제한 것처럼 선 자세에 안정감을 주어 머리를 자연스럽게 들고 있음을 의미한다고 하겠다. 통제 상태인 C1에 비하여 C2에서 관절 각도가 적게 나와서 C2에서 좀 더 머리가 앞으로 숙여진 결과는 방화복의 스탠드칼라 구조에 영향을 받아 머리가 약간 숙여지는 것으로 추측되나 두 착용 상태 간의 유의한 차이는 나타나지 않았다(Fig. 6d).
3.2. 걷기 동작에서의 ROM
걷기 동작을 할 때 각각의 착용 상태에 따른 머리와 몸통부위 관절 각도의 평균을 비교 분석한 것은 Table 3과 같다. L5S1(허리뼈 1/엉덩뼈 1)와 L4L3(허리뼈 4/허리뼈 3)의 총 2개의 관절 부위에서 착용 상태에 따라 유의한 차이가 나타났다. 남성과 여성에 따른 유의한 차이는 나타나지 않았다.
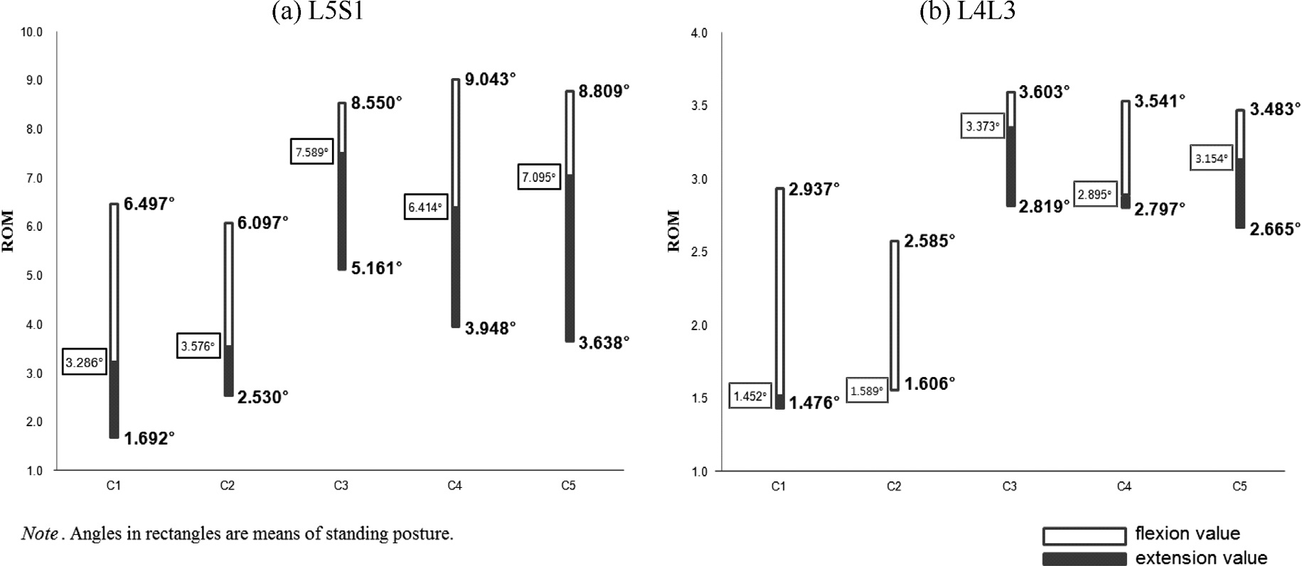
각 착용 상태에 따른 ROM을 표시한 그래프는Fig. 8과 같으며, 각 착용 상태에서의 ROM을 최소값과 최대값, 선 자세에서의 관절 각도로 표시한 그래프는 Fig. 9와 같다. 직사각형 안에 표기한 선 자세에서의 평균 관절 각도는 걷는 동작에서의 ROM을 앞으로 숙여지는 각도와 뒤로 젖혀지는 각도의 범위로 세분하여 해석하기 위한 기준으로 사용되었다.
L5S1 ROM 사후 분석 결과, C1, C4, C5에서의 ROM이 각각 4.805°, 5.081°, 5.172°로 다른 착용 상태에 비하여 유의하게 큰 것으로 나타났다. 다음으로 C2의 ROM이 3.744°로 C3의 3.389°에 비하여 유의하게 큰 것으로 분류되었다. 선 자세에서 L5S1 관절 각도가 공기호흡기의 착용 여부에 따라 유의미하게 분류되었다면, 걷기 동작에서 ROM은 티셔츠와 반바지를 입고 운동화를 신은 C1와 방화복을 입고 공기호흡기를 착용하고 소방화를 신은 C4와 C5에서 유의미하게 크게 나타났다. C1에서의 ROM이 L5S1의 관절 각도가 적은 상태에서 자연스러운 걷기 동작의 바운스를 나타낸 것이라면 C4와 C5에서의 ROM은 L5S1의 관절 각도가 앞으로 크게 숙여진 상태에서 앞뒤로 큰 움직임을 보인 결과로 일의 양이 증가한 것을의미한다. 특히, 선 자세에서 가장 큰 관절 각도를 보이면서 걷는 동작에서 가장 적은 ROM을 보인 C3와 비교할 때 운동화에 비하여 중량과 구속력이 큰 소방화가 걷는데 필요한 에너지를 증가시켜서 ROM이 증가한 것으로 파악된다.
L4L3 ROM 사후 분석 결과, C1에서의 ROM이 1.261°로 다른 착용 상태에 비하여 유의하게 큰 것으로 나타났다. 다음으로 C2가 0.979°, C5가 0.818° 순으로 ROM이 유의하게 큰것으로 분류되며, C3, C4는 각각 0.784°와 0.745°로 ROM이 유의하게 적은 것으로 나타났다. 이것은 선 자세에서 관절 각도를 측정한 것과 상반되는 결과를 보이는 것으로 선 자세에서 관절 각도가 유의하게 적은 것으로 분류된 C1과 C2가 걷는 동작 시 ROM이 큰 것으로 분류되었다. 특히, 이 C1과 C2에서 걷는 동작시 ROM의 최소값 1.476°와 1.606°는 선 자세에서 각도 평균값 1.452°와 1.589°보다 크게 나타났는데 선 자세를 유지하기 위하여 근육을 긴장시킬 때와 다르게 걸으면서 자연스러운 굴곡이 나타나는 것으로 보이며, C1과 C2는 공기호흡기를 착용하지 않은 상태로 L4L3 관절에서의 자연스러운 걷기의 굴곡 운동을 보여 주는 것이라 하겠다. 공기호흡기를 착용한 C3, C4와 C5에서의 ROM의 최소값이 각각 2.819°, 2.797°와 2.665°로 공기호흡기를 착용하지 않은 C1, C2에서의 ROM의 최소값 1.476°와 1.606°에 비하여 크게 나타나서 공기호흡기의 무게로 인해 보다 굴곡이 된 상태에서 작은 ROM이 나타나는 것을 확인할 수 있다. 또한 선 자세에서 굴곡이 많이된 C3와 C5의 경우 선 자세에서의 각도를 기준으로 앞으로 숙여졌던 L4L3 관절이 뒤로 펴지는 제한적인 신전 운동을 해서 공기호흡기를 착용한 상태들이 유사한 ROM을 보인다. 이것은 선 자세에서의 관절 각도와 별개로 등 하중에 따라 ROM의 한계가 결정되는 것이라 해석할 수 있다.
4. 결 론
소방관의 방화복과 방화 장비가 소방관의 상반신 동작에 미치는 영향을 분석하여 인간공학적인 방화복과 방화 장비의 구성과 설계에 기초 자료로 삼고자 하였다. 현직 소방관 12명을 피험자로 하여 반팔 티셔츠와 반바지, 운동화를 착용한 C1, C1에 방화복을 덧입은 C2, C2에 공기호흡기를 착용한 C3, C3에 소방용 고무 부츠를 착용한 C4, C3에 소방용 가죽 부츠를 착용한 C5의 5가지 착용 상태에서 선 자세와 걷기 동작에서의 상반신 관절 각도의 동작 범위(Range of Motion: ROM)를 측정하여 비교, 분석한 결과는 다음과 같다.
1. 선 자세에서 허리를 앞으로 숙이고 뒤로 젖히는 동작을 수행하는 관절 부위인 L5S1과 L4L3의 ROM의 평균을 분석한결과, 공기호흡기를 착용하지 않은 C1, C2에 비하여 공기호흡기를 착용한 C3, C4, C5에서 허리가 더 앞으로 숙여진 굴곡현상이 유의미하게 나타났다. 특히, 공기호흡기를 착용한 C3, C4, C5 중에서 C4에서 허리가 숙여진 정도가 적은 것으로 나와 구조상 신발목이 높은 고무 부츠가 상체의 자세를 안정적으로 유지하는데 도움을 주는 것으로 판단된다.
2. 선 자세에서 목을 앞으로 숙이고 뒤로 젖히는 동작을 수행하는 관절부위인 T1C7과 C1Head의 ROM의 평균을 분석한 결과, 공기호흡기를 착용하지 않은 C2에 비하여 공기호흡기를 착용한 C5에서 굽은 등을 펴서 시선을 정면으로 향하게 하기위해 목 관절의 신전 현상이 유의미하게 나타났다. C4에 비하여 C5가 더 신전된 것은 허리가 숙여진 정도와 관계된 것으로 C4에 비하여 C5에서 허리가 앞으로 더 숙여짐에 따라 머리를 드는 각도가 커진 것을 의미한다. 또한, 통제 상태인 C1에 비하여 C2의 관절 각도가 적게 나온 것은 방화복의 스탠드칼라 구조에 영향을 받아 머리가 약간 숙여지는 것으로 추측되므로 방화복의 패턴을 구성할 때 스탠드칼라의 높이와 달리는 형태가 바르게 선 자세에서 자연스러운 머리의 움직임과 목 관절의위치를 방해하지 않게 설계되어야 한다.
3. 걷기 동작에서 허리를 앞으로 숙이고 뒤로 젖히는 동작을 수행하는 관절 부위 중에서 특히, 하반신 관절과 연결 부위인 L5S1의 ROM을 분석한 결과, C1, C4, C5의 ROM의 평균이 C2, C3에 비하여 유의하게 높게 나타났으며 ROM 역시 큰 범위로 나타났다. C4와 C5에서는 허리가 앞으로 크게 숙여진 상태에서 앞뒤로 움직임이 큰 것을 확인할 수 있는데 운동화에 비하여 중량과 구속력이 큰 소방화를 신은 상태에서 걷는데 드는 에너지가 증가하여 하반신의 동작이 커지고 이에 비례하여 상반신이 반동적으로 큰 움직임을 보이는 것으로 판단된다.
4. 걷기 동작에서 허리를 앞으로 숙이고 뒤로 젖히는 동작을 수행하는 관절 부위 중에서 특히, 등 부위 관절과 연결 부위인 L4L3의 ROM을 측정한 결과, 공기호흡기를 착용한 C3, C4와 C5에서의 ROM의 최소값이 공기호흡기를 착용하지 않은 C1, C2에서의 ROM의 최소값에 비하여 크게 나타나서 공기호흡기의 무게로 인해 허리가 더 숙여진 상태에서 상반신 동작의 크기는 작아지는 것으로 확인되므로 등의 하중이 클수록 허리가 숙여진 상태로 ROM이 제한된다는 것을 알 수 있다.
본 연구에서는 방화복과 방화 장비가 소방관의 상반신 동작에 미치는 영향을 밝힘으로써 인간공학적인 방화복과 방화 장비의 구성과 설계에 기초 자료를 삼고자 하였다. 소방관이라는 특수한 직업을 가진 피험자를 모집하기에 어려움이 있고 동작 분석 실험에 소요되는 시간과 비용이 많아 피험자 수에 한계가 있었다. 공기호흡기 외에도 헬멧과 개인 휴대장비에 해당하는 망치와 랜턴, 무전기, 장갑 등의 장비가 모두 상반신에 수납되기 때문에 무게 중심을 자연스러운 선 자세에서의 무게 중심인 허리와 골반에 가깝게 하여 소방관의 균형감각과 피로도를 최소화하는 장비의 중량 배치를 위한 추가 연구가 이루어져야 할것이다. 또한, 이 연구에서는 제한된 자세와 동작을 제한된 소방 제품을 기초로 평가하였기에 때문에 본 연구의 결과를 고무부츠와 가죽부츠의 선택을 위한 일반적인 기준으로 적용하는 것에는 무리가 있다. Neeves et al.(1989)은 고무부츠와 가죽부츠의 비교연구에서 상대적으로 재질의 유연성이 좋지 않고, 무거운 고무부츠가 가죽부츠보다 육체적인 피로를 빨리 일으킴을 지적하였고, Park et al.(2014)의 미국 소방관 54명을 대상으로한 인터뷰 연구에서, 소방관들은 유연하고 가벼우며 Fitting감이 좋은 가죽부츠를 더 선호한다고 보고하였다. 또 다른 선행연구(Park et al., 2015)에서는 부츠의 걸음걸이 방향 유연성정도가 높을수록 소방관들의 발과 하체동작에 물리적인 부담을 적게 미쳐서 피로도와 사고위험을 줄일 수 있을 것이라고 보고하였다. 따라서, 본 연구에 대한 후속 연구로서 소방관들의 실제업무와 보다 유사한 다양한 동작들, 장애물 넘기, 사다리 오르기, 담색 및 인명구조작업에 대한 방화복과 방화 장비의 동작 구속성에 대한 연구 및 운동 기능성 향상을 위한 패턴 및 소재 연구가 이루어져야 할 것이다. 또한 상체와 하체의 유기적인 동작을 생체역학과 생리학을 기초로 함께 분석하여 소방복과 소방화가 소방관들의 건강과 안전에 미치는 영향을 보다 포괄적으로 이해하는 접근이 필요할 것이다.
Acknowledgments
This research was supported in part by the Cornell University Agricultural Experiment Station federal formula funds, Project No. NYC-329832 received from the National Institute of Food and Agriculture (NIFA) United States Department of Agriculture (NYC-329832). Any opinions, findings, conclusions, or recommendations expressed in the publication are those of the author(s) and do not necessarily reflect the view of the National Institute of Food and Agriculture (NIFA) or the United States Department of Agriculture(USDA).
References
-
Adams, P. S., Keyserling, W. M., The effect of size and fabric weight of protective coveralls on range of gross body motions., American Industrial Hygiene Assicuation, ((1995)), 56(4), p333-340.
[https://doi.org/10.1080/15428119591016944]
- Baek, S. H., Lim, K. B., Park, S. H., Kim, S. J., Shin, H. J., Kang, J. A., Lee, S. Y., Yoon, Y. S., Analysis of vertebral loading according to position change in center of gravity of student’s backpack., Proceedings of the Korean Society of Mechanical Engineers 2010 Fall Annual Meeting, ((2010)), 2010(11), p3905-3910.
- Bang, C. H., Lee, J. K., Huh, Y. S., Park, E. J., Kwon, J. S., A survey of fire fighters regarding their satisfaction with fireprotect clothing in field activities of fire fighting., Kyungnam University Journal of Basic Sciences, ((2014)), 31, p107-115.
-
Conley, M. S., Meyer, R. A., Bloomberg, J. J., Feeback, D. L., Dudley, G. A., Noninvasive analysis of human neck muscle function., Spine, ((1995)), 20(23), p2505-2012.
[https://doi.org/10.1097/00007632-199512000-00009]
-
Huck, J., Protective clothing systems: a technique for evaluating restriction of wearer mobility., Applied Ergonomics, ((1988)), 19(3), p185-190.
[https://doi.org/10.1016/0003-6870(88)90136-6]
- Joseph, E. M., Kinesiology: The skeletal system and muscle function, Elsevier Korea, Seoul, ((2011)), 2nd ed..
- Kim, D. S., A study on the durability of protective cloth if fire fighter., Soongsil University, Seoul, ((2006)), Unpublished doctoral dissertation.
-
Kinoshita, H., Effects of different load and carrying systems on selected biomechanical parameters describing walking gait., Ergonomics, ((1985)), 28(9), p1347-1362.
[https://doi.org/10.1080/00140138508963251]
- Korea Fire Institute., The standards of recognition of firefighter’s clothes (KFIS No. 165)., Korea Fire Institute, ((2014)).
- Kreighbaum, E., Barthels, K. M., Biomechanic: A qualitative approach for studying human movement, Benjamin- Cummings Publishing Company, San Francisco, ((1996)), 4th ed..
- Kwon, H. J., Kim, M. J., Choi, Y. D., The influence in lumbosacral angle lumbar lordosis, pelvic level and symptoms by standing lumbar traction on HIVD patients., The Journal of Korean Academy of Orthopaedic Manual Physical Therapy, ((1999)), 5(1), p5-16.
- McKenzie, R., Treat your own back, Spinal Publications Ltd., Waikanae, ((2011)), 9th ed..
- McKenzie, R., The cervical and thoracic spine: mechanical diagnosis and therapy., Spinal Publications Ltd., Waikanae, ((1990)).
- Ministry of Public Safety and Security, Rules on the management of firefighter’s gear (Ordinance of the Prime Minister No. 1105)., Ministry of Public Safety and Security, Republic of Korea, ((2014)).
-
Miyasaki, M., Hymanson, H. J., Morishita, Y., He, W., Zhang, H., Wu, G., Kong, H., Tsumura, H., Wang, J. C., Kinematic analysis of the relationship between sagittal alignment and disc degeneration in the cervical spine., Spine, ((2008)), 33(23), p870-876.
[https://doi.org/10.1097/BRS.0b013e3181839733]
- Neeves, R., Barlow, D.A., Richards, J. G., Provost-Craig, M., Castagno, P., Physiological and biomechanical changes in fire fighters due to boot design modifications., International association of fire fighters and the federal emergency management agency, Washington DC, ((1989)).
-
Park, H. J., Kim, S. Y., Morris, K., Moukperian, M., Moon, Y. J., Stull, J., Effect of firefighters’ personal protective equipment on foot function and gait., Applied Ergonomics, ((2015)), 48, p42-48.
[https://doi.org/10.1016/j.apergo.2014.11.001]
-
Park, H. J., Park, J. Y., Lin, S.H., Boorady, L., Assessment of firefighters’ needs for personal protective equipment., Fashion & Textiles, ((2014)), 1(1), p1-13.
[https://doi.org/10.1186/s40691-014-0001-x]
- Xsens MVN, (n. d.)., Retrieved July 5, 2015, from http://www.xsens.com/products.
- Yi, S. Q., Correlation between job and life style related factor and musculo-skeletal disorders in fire fighters., Gachon University of Medicine and Science, Incheon, ((2007)), Unpublished master’s thesis.
-
Yue, J. J., Tinmm, J. P., Panjabi, M. M., Jaramillo de la Torre, J., Clinical application of the panjabi neutral zone hypothesis: the stabilimax NZ posterior lumbar dynamic stabilization system., Neurosurgical Focus, ((2007)), 22(1), p1-3.
[https://doi.org/10.3171/foc.2007.22.1.12]











