
히비스커스 꽃 추출액과 감물을 이용한 견직물의 복합염색
Copyright © 2015, The Society of Fashion and Textile Industry
This article is an open access article distributed under the terms and conditions of the Creative Commons Attribution license (http://creativecommons.org/licenses/by/3.0/), which permits unrestricted use, distribution, and reproduction in any medium, provided the original work is properly cited.
Abstract
The purpose of this research is to analyze the effects of persimmon juice and hibiscus flowers extract to perform combination dyeing of silk fabrics, with respect to color changes, fastness, and functionality. The optimal conditions as a result, were shown at 100% of dye concentration, 40℃ of dyeing temperature and 30 minutes of dyeing time while in terms of dye uptake depending on the kind of mordants and methods. The highest K/S value was recorded at pH 3, pre-mordants of CuSO4, and SnCl2, post-mordanting. After repeated dyeing and post-mordanting, various color change occurred with mordant treatments. Color fastness of dyed fabrics with hibiscus flowers extract was improve considerably by combination dyeing with persimmon juice extract. In aspects of functional properties, it showed excellent results of 99% deodorization rate, 99.9% Staphylococcus aureus rate and 99.9% Klebsiella pneumoniae.
Keywords:
combination dyeing, functionality, Hibiscus flowers, natural dyeing, persimmon juice키워드:
복합염색, 기능성, 히비스커스 꽃, 천연염색, 감물1. 서 론
최근 지구환경의 변화에 따라 소비자들의 의, 식, 주의 생활패턴도 크게 변화하고 있다. 웰빙(well-being)족, 로하스(LOHAS)족, 그린슈머(greensumer), 에코보보스(eco-bobos)족, 에코맘(ecomom)등 친환경제품을 구매하는 새로운 소비자 집단이 증가하고 있는 추세이다(Lee & Park, 2010). 이들 소비자 집단의 지구 환경 문제에 대한 인식이 높아짐에 따라 자원의 풍부함이나 편리성을 추구하는 것이 아니라 지구환경을 보호하고 유지하려는 착한소비, 윤리적 소비 및 녹색소비 운동으로 이어지고 있다(Yu & Park, 2010). 현재 패션 산업계에서는 에코패션, 리사이클패션, 업사이클패션, 그린패션으로 지구환경을 지키기 위한 노력들이 이루어지고 있다. 천연염색은 친환경 산업으로 인식되어 차세대의 염색산업으로 주목 받고 있다. 염색 산업으로 천연염색이 활성화되기 위해서는 천연염재의 다양화 및 색상의 안정성 등 여러 가지 해결해야 할 문제점들이 많다. 천연염재는 자연의 것을 그대로 사용하기 때문에 염재의 특성상 단독으로 염색 할 때 여러 가지 부족한 점들이 있다. 이를 보완하기 위해서는 견뢰도나 기능성이 좋은 염재와의 복합염색을 고려할 필요가 있다. 이런 측면에서 본 연구는 새로운 염재로 가능성이 입증된 히비스커스(Cho, 2015)와 감물을 사용하여 두염재의 염색성, 표면색상 변화, 염색 견뢰도 및 기능성 향상에 대한 연구하고자 한다.
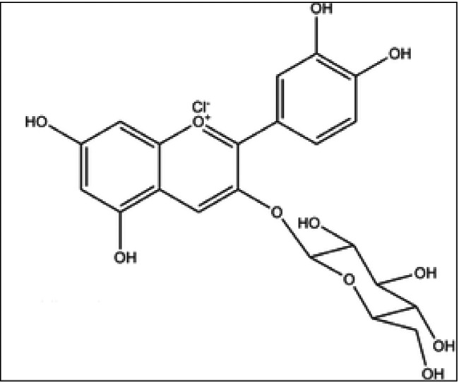
히비스커스 꽃의 특성을 살펴보면 학명은 Hibiscus subdariffa L.이고, 상록관목이며 높이 2~5m로 자라며 가지가 많이 갈라지고, 잎은 어긋나고 길이 9 cm 내외로 잎자루가 있으며, 넓은 달걀 모양이고, 끝이 뾰족하며 불규칙한 톱니가 있다. 잎 표면은 광택이 있으며 진녹색이고 꽃잎은 붉고 5개이며 수술은 통처럼 합쳐져서 끝에 많은 꽃밥이 달린다(Rose of China, 2009). 주요 성분은 유기산으로 사과산, 구연산등으로 구성되어 있고, 색소로 추출하였을 때 적색을 띠고 있다. 이 색소는 안토시아닌계이며 구조식은 Fig. 1(Cho, 2015)과 같다. 히비스커스 꽃 추출액은 아스코르브산이 풍부하고, 무기질로는 철, 칼륨, 칼슘, 마그네슘, 등이 함유 되어 있다(Choi, 2008). 히비스커스 꽃의 붉은 천연색소는 허브차, 제과제품, 젤라틴, 디저트, 간식, 케이크, 푸딩, 아이스크림, 음료 등에 식품 착색제로 식품산업 전반에 응용되고 있다(Abou-Arab et al., 2011). 효능을 살펴보면 출혈방지, 비뇨기계 염증 완화, 월경 증후군 완화, 대사촉진, 강장, 이뇨, 변통, 소화기능 강화, 눈의 피로예방과 회복 및 결막염에도 효과가 있다(Choi, 2008). 견직물에 염색할 경우 우수한 소취성과 항균성이 보고되고 있으나, 일광견뢰도와 세탁견뢰도가 낮은 것으로 나타났다(Cho, 2015).
감나무(Diospyros kaki, persimmon)는 감나무과에 속하는 낙엽교목으로 높이는 12~15m에 달하고, 5월에 담황색 꽃이 피며, 열매는 9~10월에 익으며 염색용으로 사용하는 감은 떨 익은 풋감을 이용한다. 주요 원산지로서는 한국, 일본, 중국 등 동아시아 지역이며, 문헌적 기록을 살펴보면 중국 명나라 본초강목(本草綱目)에는 감물을 어망, 부채, 우비, 우산 등에 처리했다. 한국의 제주 지역에서는 낚시 줄과 해녀와 농민의 작업복으로 염색하여 이용했다는 기록이 있다(Lee, 2010; Park, 2011; Yoo & Lee, 2006). 일본에서는 옻나무 대용으로 종이, 실, 가죽, 목재 등에 칠해서 방부성과 딱딱함을 보강하기 위해 이용되고 접착제로도 사용되었다. 여러 장의 미농지가 감물에 붙여져 이세형지(伊勢型紙)를 만들기도 했다. 감물이 직물의 기능성에 미치는 영향을 갈옷 연구에서 살펴보면 자외선차단 효과, 활동성, 위생성, 내구성, 통기성, 가연성, 방수, 방추, 방부, 항균성이 있다는 보고가 되고 있다(Huh et al., 2008). 또한 감물 염색 포는 염색 견뢰도(세탁, 일광, 마찰, 땀, 드라이크리닝)와 기능성(항균성, 소취성)이 대체로 높으므로 감물은 우리나라 천연염색 산업현장에서 많이 이용되고 있는 대표적인 천연염료이다.
따라서 본 연구는 허브차와 산업용 식용 착색제로 주로 사용되고 있는 히비스커스 꽃 추출액을 의류용 천연 염재로 응용하여 색상을 활용하고자 하였다. 즉, 히비스커스 꽃 추출액 염색포의 낮은 세탁견뢰도와 일광견뢰도를 감물과 복합염색을 하여 향상시키고, 히비스커스 꽃 추출액에 비해 다소 낮은 감물 염색포의 소취성을 향상시켜 두 천연염재의 각각의 단점을 복합염색으로 보완하고자 하였으며, 우수한 염색성으로 인하여 의류용으로 많이 사용되고 있는 견직물을 시료 직물로 사용하였다.
실험 시 히비스커스 꽃 추출액으로 염색시간, 염색온도에 따른 염색성을 검토하여 최적의 염색조건을 구하고 염액농도, pH 조건, 매염과 매염제 변화에 따른 염착량과 표면색상 변화를 살펴보고 염색 견뢰도(세탁, 일광, 마찰, 땀, 드라이크리닝)와 기능성(항균성, 소취성)을 검토하고자 하였다. 감물은 1일~5일간 발색시켜 염착량과 표면색상 변화을 살펴보고, 두 염재의 복합염색에 따른 염색성, 염색견뢰도(세탁, 일광, 마찰, 땀, 드라이크리닝) 및 기능성(항균성, 소취성)을 검토하고자 하였다. 최종적으로 전반적인 두 가지 염재의 복합염색 특성을 검토하여 천연염색 산업에 활용할 기초자료를 얻고자 하였다.
2. 연구방법
2.1. 시료 및 시약
시료는 시판하는 견직물(솜베사에서 구입 : 카리스소프트 제조)을 사용하였으며 특성은 Table 1과 같다. 히비스커스 꽃 추출액 염색포는(10 cm×10 cm)로, 감물 염색포는(20 cm×25 cm) 크기로 잘라서 사용하였다.
시약은 다음 4종을 사용하였다. 1급 시약인 tin chloride(SnCl2), aluminium potassium sulfate(Alk(SO4)2·12H2O), copper sulfate(CuSO4·5H2O), iron sulfate(FeSO4·7H2O) 등을 사용하였다.
2.2. 염액의 제조
건조된 히비스커스 꽃 600g에 10배의 증류수를 사용하여 100℃에서 30분간 가열하여 1차 염액을 추출하였다. 2차 염액추출은 1차 추출 시 사용된 염재의 5배 증류수를 사용하여 1차와 동일한 조건으로 염액을 추출하였다. 1차 추출 염액과 2차 추출 염액을 혼합한 염액을 염액농도 100%로 정하고 실험에 사용하였다.
풀결(천연염색 업체)에서 2011년 8월에 제조된 감물은 다음과 같다. 진주시 금곡면 일원에서 생산된 땡감(풋감)을 사용하였다. 땡감을 수세하고 물기를 제거한 후 분쇄기에 넣고 분쇄하였다. 잘게 분쇄된 감을 망에 담아 감물을 탈수하여 보관용 용기에 담아 보관하였으며, 위와 같이 제조된 3년 경과한 감물을 구입하여 사용하였다.
2.3. 염색과 매염
염색은 IR염색기(KSL-24Perfect, 고려화학)를 사용하여 40℃에서 30분간 염색하고 건조하였다. 매염처리는 매염제(Fe, Cu, Sn, Al)를 사용해서 욕비 1:100에서 매염농도 5%(o.w.f.), 매염온도 60℃, 매염시간 30분 조건으로 선매염(매염-수세-건조-염색-수세-건조, pre-mordanting) 및 후매염(염색-수세-건조-매염-수세-건조, post-mordanting)을 실시하였다.
스텐 용기에 감물을 담고 시험포를 5장 담근 후 시험포가 감물에 골고루 침지가 되도록 30분간 주물러 주었다. 감물을 짜낸 후(함수율 200±10%) 실외에서 일광에 건조시켰다. 오전 10시부터 오후 5시까지 일광에 노출 시켜 총 5일간 발색시켰다.
히비스커스 꽃 추출액 염색은 IR염색기(KSL-24Perfect, 고려화학)를 사용하여 40℃에서 30분간 염색하고 건조하였다. 히비스커스 꽃 추출액으로 염색한 염색포를 스텐 용기의 감물에 충분히 침지 시키고, 시간의 경과(10분, 20분, 30분, 40분, 50분, 60분)에 따라 염색포를 꺼내서 감물을 짜낸 후 자연건조하였다.
2.4. 표면색 측정
염색포의 표면색 측정은 Computer Color Matching System(UtraScan PRO, Hunter Lab, USA)을 사용하였다. 표면 염착량은 최대 흡수 파장인 400 nm에서 염색한 직물의 표면반사율을 측정한 후 Kubelka-Munk 식 (1)에 의해 K/S값을 구하였으며 그 식은 다음과 같다.
where, K : absorbance coefficient of dyed material
- S : scattering coefficient of dyed material
- R : reflectance
염색포의 표면색 측정은 Computer Color Matching System(UtraScan PRO, Hunter Lab, USA)으로 x, y, z값을 측정하고, Munsell 표색계 변환법으로 H, V/C, CIE Lab 색차에 의한 L*, a*, b*를 측정하였다.
2.5. 염색 견뢰도 측정
KS K ISO 105-CO1:2012(40±2℃, 30분, 0.5% ISO SOAP)에 의하여 Launder O meter를 사용 측정하였다.
KS K ISO 105-D01:2010의하여 Launder O meter를 사용하여 실험 후 측정하였다.
KS K ISO 105-B02:2010에 준하여 Xenon Arc(수냉식) 광원으로 시험하였다.
KS K 0650:2011에 준하여 Crockmeter법에 의해 측정하였다.
KS K ISO 105-E04:2010(37±2℃, 4시간)에 준하여 산과 알카리에 대해 실험하고 각각의 변퇴색 판정용 그레이 스케일(Gray scale for color change)과 이염 판정용 스케일(Chromatic transference scale)로 평가하였다.
2.6. 기능성 측정
3. 결과 및 논의
3.1. 히비스커스 꽃 추출액을 이용한 직물의 염색성
염색온도에 따른 염색성의 변화를 알아보기 위하여 염액농도 100%, 욕비 1:100(o.w.f)으로 염색온도 40℃, 60℃, 80℃, 100℃로 변화시키고, 염색시간 30분의 조건에서 실험하였다.
Fig. 2는 염색온도의 변화에 따른 견직물의 염착량을 K/S값으로 살펴보면 40℃에서 높은 염착량을 보인 것은 초기 온도상승과 함께 색소 입자의 분자 운동성이 활발해지고 섬유의 분자 간격이 넓어지면서 높게 증가 한 것(Han, 2011)이라 생각되고, 100℃에서 염착량이 가장 높게 나타났었다. 하지만 100℃의 높은 온도에서는 색상의 채도가 탁해질 뿐 아니라 견직물의 손상이 발생 할 수 있어 이후 실험에서는 40℃ 설정하여 진행하였다.
Effect of dyeing temperature on the K/S values of silk fabrics dyed with hibiscus flowers extract (30 min).
Table 2는 염색온도의 변화에 따른 견직물의 표면색을 살펴보면, L* 값은 온도 상승에 따라 값이 감소하며 어두워졌고, a*값도 온도 증가와 함께 값이 감소하고, b*값은 온도가 증가함에 따라 증가한 것을 볼 수 있었다. 온도가 높아질수록 Eab값이 증가했지만 값의 차이가 미미하여 비슷한 색상변화를 나타났다.
히비스커스 꽃의 추출액으로 염색시간의 변화에 따른 견직물의 염색성을 알아보기 위해 30분, 50분, 70분, 90분, 110분으로 시간 변화를 주고 욕비 1:100(o.w.f), 염액농도 100%, 염색온도 40℃의 조건에서 염색하였다.
Fig. 3은 염색시간의 변화에 따른 견직물의 염색성을 살펴보면 30분과 50분 사이에 염착량이 비슷하게 나타났고 이후 70분과 90분에서 증가를 보였지만 110분에서 염착량이 감소하는 경향을 보였다. 110분에서 염착량이 감소한 것은 오랜 염색시간으로 인하여 염료가 탈리된 것으로 생각된다.
염색시간과 염색온도의 결과로 히비스커스 꽃의 추출액으로 견직물을 염색할 경우 40℃에서 30분이 적정한 염색조건으로 생각되어 염액농도, 반복염색횟수, 매염제의 종류 및 매염방법에 따른 처리, 염욕 pH조건에 따른 염착량, 염색견뢰도 평가 및 기능성 평가를 위한 염색조건은 위와 같은 방법으로 염색온도(40℃)와 염색시간(30min)을 설정하여 이후 실험을 진행하였다.
히비스커스 꽃의 추출액으로 염액농도의 변화에 따른 견직물의 염색성을 알아보기 위하여 욕비 1:100(o.w.f), 염색온도 40℃, 염색시간 30분의 조건에서 염액농도를 20%, 40%, 60%, 80%, 100%로 변화시켜 실험하였다.
Fig. 4는 염액농도의 변화에 따른 견직물의 염색성을 살펴보면 20%, 40%, 60%, 80%, 100%까지 염액의 농도가 증가할수록 염착량이 비례하여 증가하는 것을 볼 수가 있었다. 염액농도의 농도를 조절하는 방법적인 차이는 있지만 많은 선행연구와 비슷한 결과임을 알 수 있었다(Soon & Chang, 2002).
히비스커스 꽃의 추출액으로 염욕의 pH조건에 따른 견직물의 염착량을 알아보기 위해 욕비 1:100(o.w.f), 염액농도 100%, 염색온도 40℃, 염색시간 30분에서 수산화나트륨(NaOH), 구연산(C6H8O7)을 사용하여 염욕의 pH를 3, 5, 7, 9, 11로 조정한 후 염색하여 실험하였다.
Fig. 5는 염욕의 pH조건에 따른 견직물의 염착량을 살펴보면 pH3에서 염착량이 가장 높았고, 이후 pH5, pH7, pH9, pH11에서 염착량이 급격히 감소하는 것을 볼 수 있었다. 이러한 현상은 색소용액의 pH가 낮은 상태에서 색소의 hydroxyl기가 해리되지 않은 즉, 비이온으로 견섬유에 흡착하며 pH가 견섬유 시험포의 등전점보다 높아지면 섬유의 말단 carboxyl기가 음으로 하전하고 색소의 hydroxyl기가 해리하게 된다. 그 결과 섬유와 색소의 전기적 반발성이 증가하며, 아울러 색소와 물의 친화력이 감소하므로 염착률이 낮아진 것이라 생각된다(Heo, 2006). 히비스커스 꽃의 추출액의 pH를 측정해 본 결과 2.75로 나타났으며, 이때 염착량이 5.52로 나타났다. 염액이 강산성인 것으로 생각되고 pH가 3인 상태가 pH를 조절하지 않는 상태보다 염착량이 낮은 것으로 나타나 pH를 조절하여 염색할 필요는 없다고 생각된다.
히비스커스 꽃의 추출액으로 반복염색 횟수의 변화에 따른 견직물의 염착량을 알아보기 위해 욕비 1:100(o.w.f), 염액농도 100%, 염색온도 40℃, 염색시간 30분에서 1회, 2회, 3회, 4회, 5회 반복 염색하여 실험하였다.
Fig. 6은 반복염색 횟수의 변화에 따른 견직물의 염착량을 K/S값으로 살펴보면 1회~2회까지 염착량이 급격히 상승하는 것으로 보아 2회 반복염색에서 염착량의 증가폭이 가장 큰 것으로 나타났었다. 이후 3회~5회까지 염착량이 완만히 상승하는 것을 볼 수 있었다. 반복염색 횟수가 증가 할수록 K/S값이 증가하는 것으로 나타났다. 반복염색의 목적은 부족한 섬유의 결합기에 염료가 중첩되어 결합하기보다는 풍부한 섬유의 결합기에 전체적으로 고르게 결합시키고 반복염색에 의한 염색시간이 길어짐에 따라 염료가 섬유 내부 깊숙한 곳까지 침투하면서 많은 결합이 이루어진 것(Han, 2011; Kim, 2013)으로 생각되어 히비스커스 꽃으로 반복염색을 할 때는 4회가 적당한 것으로 생각된다.
히비스커스 꽃의 추출액으로 매염제 종류 및 매염방법에 따른 견직물의 염착량을 알아보기 위해 욕비 1:100(o.w.f), 염액농도 100%, 염색온도 40℃, 염색시간 30분의 조건에서 염색을 하고 매염시간 30분, 매염농도 5%(o.w.f), 매염온도 60℃, 매염제 AI, Cu, Fe, Sn을 사용하여 선매염과 후매염을 각각 실시하여 실험하였다. Fig. 7은 매염제 종류 및 매염방법에 따른 견직물의 염착량을 K/S값으로 살펴본 것인데 Cu 선매염과 Sn 후매염이 가장 높은 염착량을 나타났다. 선매염은 Cu 선매염에서 가장 높은 염착량을 보였고 Fe, AI, Sn 매염제에서는 Fe>AI>Sn의 순으로 염착량을 보였다. 후매염은 Sn 후매염이 가장 높은 염착량을 보였지만 AI, Cu, Fe, Sn 전체적인 후매염에서 염착량이 미처리 염색포 보다 감소하는 것을 보이는데, 이는 견섬유와 화학적 결합을 형성치 않고 단순히 흡착상태를 유지하던 염료가 후매염 처리과정에서 매염제와 결합되면서 용출(Kwon et al., 2004)되었기 때문이라고 생각된다. 히비스커스꽃의 추출액을 이용한 매염제 처리에서 염착량 증가를 가져오지 못했지만 Fe 선매염, Sn 선매염과 AI, Cu, Fe, Sn 후매염에서 다양한 표면색공간이 Table 3에서 나타내고 있어 히비스커스 꽃 추출액은 다색성 염료인 것으로 생각된다. 안토시아닌 색소의 경우 구조 중 페놀(phenol)환에 결합하는 수산기의 수가 증가하면 청색이 강해지고, 수산기에 치환한 메톡시기(-OCH3)가 증가하면 적색 기미가 강해진다. 금속이온에 의하여 색소가 착제를 형성하는 경우에는 발색에 영향을 주어 매염제에 의해 다양한 색상을 발현하는 것으로 생각된다(Cho, 2010). 따라서 히비스커스 꽃의 선매염에서는 무매염포에 비해 다소 염착량 상승은 있었지만 대체로 비슷한 K/S 값을 나타냈고, 다양한 색상의 발현을 하고자 한다면 Fe 선매염, Sn 선매염, AI, Cu, Fe, Sn의 후매염이 적당하다고 사료된다.
Effect of mordanting methods on the K/S values of silk fabrics dyed with hibiscus flowers extract (40℃/30 min).
3.2. 감물의 발색 일자별 염색성 및 표면색 변화
감물의 발색 일자별 염색성과 표면색을 알아보기 위해 스텐용기에 감물을 담고 시험포를 5장 담근 후 30분간 감물을 골고루 침지시켰다. 감물을 짜 낸 뒤 실외에서 일광 건조시켰다. 오전 10시부터 오후 5시까지 일광에 노출시켜 총 5일간 발색시킨 결과는 Fig. 8과 Table 4에 나타내었다. Fig. 8에서 발색 일자별 견직물의 염착량을 살펴보면 1일~5일까지 미비하게 연속적으로 증가하는 것을 관찰할 수가 있었다. Table 4에서 표면색 변화를 살펴보면 1일~5일까지 L*값은 감소하고 a*와 b*값이 미비하게 증가하는 경향을 보이고 있는 것으로 보아 붉은기와 황색기가 증가하는 것을 볼 수가 있었다. 그러나 값의 증가가 미비하여 비슷한 색상 경향을 나타내었다.
Effect of sunlight exposure (day) on the K/S values of silk fabrics dyed with persimmon juice extract.
3.3. 히비스커스 꽃 추출액 염색포의 감물 침지시간 변화에 따른 염색성
히비스커스 꽃 추출액의 염색은 IR염색기(KSL-24Perfect, 고려화학)를 사용하여 40℃에서 30분간 염색, 건조한 다음 염색한 시료를 감물로 다시 복합염색한 결과는 Fig. 9와 Table 5에 나타내었다. 이때 감물이 골고루 침지되도록 하였으며, 침지시간(10분, 20분, 30분, 40분, 50분, 60분)을 변화시킨 다음 자연건조 하였다. Fig. 9에서 히비스커스 꽃 추출액 염색포의 K/S 값은 5.52로 나타났다. 히비스커스 꽃 추출액으로 염색한 염색포를 감물에 침지시킨 다음 K/S 값을 살펴보면, 10분~20분 사이 급격히 증가하였다. 20분에서는 염착량이 가장 높은 것으로 관찰되고 있고, 이후 40분~50분에서 시간 경과와 함께 염착량이 감소하는 것을 관찰할 수가 있었다. 히비스커스 꽃 추출액과 감물의 복합염색 시에는 20분정도 침지하는 것이 바람직하다고 생각된다. Table 5는 표면색 변화를 나타낸 것으로 히비스커스 꽃 추출액의 염색포는 3.8R에서 감물침지 후 11.4R, 11.5R, 11.6R로 색상이 점점 탁해지는 느낌으로 변화하는 것을 관찰 할 수 있었다. 이는 감물의 화학적 변화에 의해 색상변화를 가져온 것으로 감물이 천연매염제의 역할을 한 것이라 생각된다.
Effect of dyeing time on the K/S values of silk fabrics dyed with combination dyes extract (hibiscus flowers → persimmon juice).
3.4. 염색 견뢰도
히비스커스 꽃의 추출액의 염색포의 염색 견뢰도 측정을 위하여 욕비 1:100(o.w.f), 염액농도 100%, 염색시간 30분, 염색온도 40℃ 조건에서 염색포를 3회 반복염색 하였고, 감물은 5일 발색한 염색포를 사용하였다. 히비스커스 꽃 추출액과 감물의 복합염색은 히비스커스 꽃 추출액을 위 실험 조건에서 염색포에 3회 반복 염색 한 후 감물에 20분간 침치하고 짠 후 자연건조시켰다.
Table 6은 3종류의 염색포의 견뢰도를 나타낸 것으로 먼저 히비스커스 꽃 추출액의 견뢰도를 살펴보면, 세탁 견뢰도는 변퇴색 1-2등급으로 낮았고 오염도 4-5등급으로 매우 우수하였다. 일광 견뢰도는 다소 낮은 1-2등급으로 나타났다. 천연염색은 일반적으로 견뢰도가 낮기 때문에 합성염료에 비해 활용도가 낮아 추가적인 처리방법으로 견뢰도 향상을 위한 연구(Yoo & Lee, 2006)가 필요하다고 생각된다. 드라이크리닝 견뢰도는 오염도와 변퇴색 모두 4-5등급으로 매우 우수하였다. 마찰 견뢰도는 건조 4등급으로 우수, 습윤 4-5등급으로 매우 우수하였다. 땀 견뢰도는 산성에서 변퇴색과 오염도에서 3-4등급으로 양호하였고, 알칼리에서 변퇴색과 오염도에서 3-4등급으로 양호하였다. 세탁 견뢰도, 일광 견뢰도가 약한 1-2등급으로 나타나 매염처리, 반복염색을 통해 견뢰도 향상을 기대 할 수 있을 것이라 생각된다(Kwon et al., 2004).

Colorfastness of silk fabrics dyed with hibiscus flowers and persimmon juice extract (hibiscus flowers → persimmon juice)
감물 염색포의 견뢰도를 살펴보면, 세탁 견뢰도는 변퇴색 4-5등급, 오염도 4-5등급으로 매우 우수하였다. 일광 견뢰도는 3등급으로 보통으로 나타났다. 드라이크리닝 견뢰도는 변퇴색과 오염도 모두 4-5등급으로 매우 우수하였다. 마찰 견뢰도는 건조, 습윤 모두 4-5등급으로 매우 우수하였다. 땀 견뢰도는 산성과 알칼리에서 변퇴색 4-5등급으로 매우 우수하였고, 알칼리와 산성에서 오염도도 4-5등급으로 매우 우수하였다.
복합염색 시 염색의 순서는 염색포의 표면색이나, 견뢰도에 영향을 끼치므로 위의 결과에 따라 감물에 비해 견뢰도가 약한 히비스커스 꽃 추출액을 먼저 염색 한 후 감물을 복합염색 하였다. Table 6에서 살펴보면 히비스커스 꽃 추출액의 1-2등급이었던 세탁 견뢰도의 변퇴색이 감물과의 복합염색으로 2-3등급으로 상승하였고, 오염도는 4-5등급으로 우수하였다. 드라이크리닝 견뢰도는 변퇴색과 오염도 모두 4-5 등급으로 매우 우수하였다. 일광견뢰도는 히비스커스 꽃 추출액은 1-2등급으로 낮았지만, 감물과의 복합염색으로 2-3등급으로 상승한 것으로 나타났다. 마찰견뢰도는 건조, 습윤 모두 4등급으로 우수하였다. 땀 견뢰도는 산성의 변퇴색 3-4등급이었던 히비스커스 꽃추출액이 복합염색으로 4-5등급으로 견뢰도가 상승하여 매우 우수하였으며, 오염도는 3-4등급으로 양호하였다. 땀의 알칼리의 변퇴색 3-4등급이었던 히비스커스 꽃 추출액이 복합염색으로 4-5등급으로 견뢰도가 상승하여 매우 우수하였고, 오염도는 3-4등급으로 양호하였다. 이러한 결과로 볼 때 히비스커스 꽃 추출액의 낮은 견뢰도가 감물과의 복합염색으로 향상된 것을 확인 할 수 있었다. 견뢰도 평가에서 무매염 처리한 시료로 시험한 평가인 점을 감안한다면 매염제 처리나, 반복염색에 의한 견뢰도 향상을 기대할 수 있을 것(Nam & Lee, 2013)이라 생각된다.
3.5. 기능성
히비스커스 꽃의 추출액과 감물에 대한 염색포의 소취성 측정을 위하여 가스검지관법에 준하여 측정하여 평가한 결과는 Table 7에 나타내었다. 히비스커스 꽃 추출액은 욕비 1:100(o.w.f), 염액농도 100%, 염색시간 30분, 염색온도 40℃조건에서 염색포에 3회 반복 염색하였고, 감물은 5일 발색한 염색포를 사용하였다. 히비스커스 꽃 추출액과 감물의 복합염색은 히비스커스 꽃 추출액을 위 실험 조건에서 염색포에 3회 반복염색 후 감물에 20분간 침치하여 짠 후 자연건조시켰다. 히비스커스 꽃 추출액으로 염색한 염색포는 모든 시간경과에 99%의 매우 우수한 소취성을 나타났고, 감물의 경우는 30분 80%, 60분 85%, 90분 90%, 120분 95%로 시간경과에 따라 우수한 소취성을 나타내었다. 두 염료와의 복합염색으로 모든 시간경과에 따라 99%으로 소취성이 상승하여 매우 우수하게 나타났다. 직물이 우수한 소취성을 나타내는 이유는 섬유 표면에 부착된 감물이 소취성 물질인 NH3가스 등의 취기 물질을 화학적 혹은 물리적으로 흡착하거나 냄새가 나지 않는 다른 물질로 화학적으로 변화(Heo, 2006)시키기 때문이라고 생각한다.
히비스커스 꽃의 추출액과 감물로 염색한 염색포의 항균성 평가를 위해 황색 포도상구균(Staphylococcus aureus)과 폐렴균(Klebsiella pneumoniae)의 두 균주에 대한 정균 감소율을 측정한 결과를 Table 8과 Table 9에 나타내었다. 히비스커스 꽃 추출액에 대한 염색포의 항균성 측정을 위하여 욕비 1:100(o.w.f), 염액농도 100%, 염색시간 30분, 염색온도 40℃ 조건에서 염색포를 3회 반복염색 하였고, 감물은 5일 발색한 염색포를 사용하였다. 히비스커스 꽃과 감물의 복합염색은 히비스커스 꽃 추출액을 위 실험 조건에서 염색포에 3회 반복염색 후 감물에 20분간 침치시켜 짠 후 자연건조 시켰다. Table 8에서 미 염색포의 황색포도상구균의 감소율이 35.5%, 폐렴균 감소율이 0%였으나, 두 균에 대하여 염색포의 균 감소율은 99.9%로 향상된 것을 볼 수가 있다. 히비스커스 꽃 추출액의 황색포도상구균의 감소율은 99.8%였으나, 감물과의 복합염색으로 99.9%까지 향상되어 매우 우수하였다. Table 9에서 폐렴균 감소율은 99.9%로 히비스커스 꽃 추출액과 감물, 복합염색 모두 매우 우수하였다. 항균 메카니즘은 항균제에 존재하는 기능기가 미생물 세포막의 단백질과 결합하여 유동성을 저해시켜 생육을 저해한다는 이론이 있다. 감 탄닌의 구조를 보면 폴리페놀류로서 다량의 수산기를 포함하고 있으며 이들 수신기가 세포 단백질과 결합하고 유동성을 억제시켜 항미생물성을 나타낼 가능성이 높다는 이론에 근거하여 감물의 기능기가 미생물 세포막과 잘 접촉할 수 있는 상태를 유지할 수 있다면 항균성을 증진(Han, 2005)시킬 수 있어 히비스커스 꽃 추출액과 감물의 복합염색에서 황색포도상구균의 균 감소율이 99.9%로 향상된 것으로 생각된다.

Antibacterial activities of silk fabrics dyed with hibiscus flowers and persimmon juice extract (hibiscus flowers → persimmon juice)
4. 결 론
본 연구는 마시는 허브차와 산업용 식용착색제로 주로 사용되고 있는 히비스커스 꽃 추출액을 이용하여 천연염재의 발굴로 염재의 다양화를 꾀하려 하였다. 히비스커스 꽃 추출액으로 견직물에 염색하여 염색성, 염색 견뢰도 및 기능성을 관찰하고 감물과의 복합염색으로 염색성, 염색 견뢰도 및 기능성을 검토한 결과는 다음과 같다.
1. 히비스커스 꽃 추출액으로 염색 시 염색온도 40℃, 염색시간 30분, 염액농도 100%, pH 3, 반복염색 횟수 4회에 염착량이 가장 높은 것으로 나타났다. 매염제의 종류 및 매염방법에서는 Cu 선매염과 Sn 후매염에서 가장 높은 염착량을 보였다. 또한 다양한 표면색 값을 나타내고 있어 다색성 염료로 관찰 되었다. 감물의 발색 일자별 염색성을 살펴보면 K/S값의 증가는 미비한 것으로 나타났다.
2. 히비스커스 꽃 추출액과 감물의 복합염색 결과를 살펴보면, 색상은 히비스커스 꽃 추출액 단독염색 시 3.8R로 나타났고, 감물에 침지 시킨 후 시간경과에 따라 11.4R, 11.5R, 11.6R로 색상이 점점 탁해지는 느낌으로 변화하는 것을 관찰할 수 있었다. 복합염색의 경우 감물 침지 시간 경과별 염착량을 살펴보면 20분 침지에서 가장 높은 염착량을 보였다.
3. 염색견뢰도 평가를 살펴보면 히비스커스 꽃 추출액 염색포는 마찰, 땀, 드라이크리닝 견뢰도는 양호하였고, 세탁과 일광 견뢰도는 대체로 약하게 나타났다. 감물에 의한 단독염색은 모든 견뢰도가 대체로 우수하게 나타났다. 두 염료의 복합염색으로 히비스커스 단독염색 시 낮은 세탁 견뢰도, 일광 견뢰도 및 땀 견뢰도가 향상된 것을 관찰할 수 있었다.
4. 기능성을 살펴보면 히비스커스 꽃 추출액 염색포는 소취성 99%, 항균성 중 황색포도상구균에 대해 99.8%, 폐렴구균은 99.9%의 정균 감소율을 보여 매우 우수하였다. 감물 염색포의 소취성은 95%, 항균성은 황색포도상구균과 폐렴구균에 대해 99.9%정균 감소율을 보여 매우 우수하였다. 복합염색으로 항균성은 99.9%의 정균 감소율을 보였고, 소취성도 99%로 기능성이 향상된 것을 관찰할 수 있었다.
위와 같은 결과로 살펴볼 때 히비스커스의 꽃 추출액과 감물의 복합염색으로 색상변화, 염색 견뢰도 및 기능성이 향상된 것을 알 수 있었다. 이외 다른 염재들도 복합염색으로 천연염재의 장·단점을 보완하여 천연염색 의류산업에 적용한다면 고부가가치 의류를 생산할 것으로 기대된다.
Acknowledgments
이 논문은 2012년도 정부(미래창조과학부)의 재원으로 한국연구재단 기초연구사업의 지원을 받아 수행된 연구임(No. 2012R1A13020099).
References
- Abou-Arab, A. A., Abu-Salem, F. M., Abou-Arab, E. A., Physico- chemical properties of natural pigments (anthocyanin) extracted from roselle calyces(Hibiscus subdariffa)., Journal of American Science, (2011), 7(7), p445-456.
- Cho, G. L., Natural dye research, Hyungseul, Seoul, (2010).
- Cho, I. S., Natural dyeing of fabrics with Hibiscus syriacus L. and Hibiscus subdariffa L. Extract, Gyeongsang National University, Jinju, (2015), Unpublished master's thesis.
- Choi, S. H., Volatile aroma components of hibiscus herb tea., The Korean Tea Society, (2008), 14(1), p195-204.
- Han, M. R., Natural dyeing of fabrics with Guava(Psidium guajava L.) leaf extract, Gyeongsang National University, Jinju, (2011), Unpublished doctoral dissertation.
- Han, Y. S., The antibacterial activities of persimmon juice and persimmon juice dyed cotton fabrics., Journal of the Korean Home Economics Assoiciation, (2005), 43(3), p119-129.
- Huh, M. W., Bae, J. S., An, S. Y., Dyeability and functionality of silk fabrics treated with persimmon Juice., Fashion & Textile Research Journal, (2008), 10(6), p1036-1044.
- Heo, B. G., Characteristics of extracts from marigold (Tagetes patula) and its dyeability to the materials for flower design, Mokpo National University, Mokpo, (2006), Unpublished doctoral dissertation.
-
Kim, S. Y., Natural dyeing of silk fabrics dyed with extracts of thuja orientalis., The Research Journal of the Costume Culture, (2013), 21(5), p699-707.
[https://doi.org/10.7741/rjcc.2013.21.5.699]
- Kwon, M. S., Jeon, D. W., Choi, I. R., Kim, J. J., A study on natural dyeing using caesalpinia sappan-Mordanting effect of purified aluminum compounds-., The Research Journal of the Costume Culture, (2004), 12(5), p781-791.
- Lee, J. N., We really need to know natural dyeing, Hyeonamsa, Seoul, (2010).
- Lee, K. H., Park, J. J., Eco-friendly corporate design identity based on customers' awareness and behavior of natural cosmetic brands., Journal of Korea Design Forum, (2010), 27, p75-86.
-
Nam, J. R., Lee, J. S., Combination dyeing of silk fabrics with Dansam and Sappan wood., Textile Coloration and Finishing, (2013), 25(4), p314-326.
[https://doi.org/10.5764/TCF.2013.25.4.314]
-
Park, S. J., Comparative study on the manufacturing process of persimmon juice, persimmon dyeing method, and transfiguration of persimmon-dyed items in Korea and Japan., Korean Journal Community Living Science, (2011), 22(1), p77-94.
[https://doi.org/10.7856/kjcls.2011.22.1.077]
- Soon, B. H., Chang, J. H., Dyeing properties of silk fabric with alnus firma extracts., Journal of the Korean Home Economics Association, (2002), 40(12), p109-118.
- ‘Rose of China, Hibiscus’, Doopedia, 14), December, (2009, Retrieved February 11, 2015, from www.doopedia.co.kr..
- Yoo, H. J., Lee, H. J., The effect of persimmon juice treatment on hand values of the silk organza., Journal of the Korean Society of Clothing and Textiles, (2006), 30(5), p772-778.
-
Yu, J. H., Park, Y. S., Study on the utilization of natural dyeing colors (focusing on organic cotton)., Journal of Korean Society of Color Studies, (2010), 24(1), p95-104.
[https://doi.org/10.17289/jkscs.24.1.201002.95]















