
고감성 의류용 축열 니트소재의 물성
Copyright © 2015, The Society of Fashion and Textile Industry
This article is an open access article distributed under the terms and conditions of the Creative Commons Attribution license (http://creativecommons.org/licenses/by/3.0/), which permits unrestricted use, distribution, and reproduction in any medium, provided the original work is properly cited.
Abstract
This paper investigated wear comfort property of heat storage knitted fabrics for high emotional garment. For this purpose, ZrC imbedded PET knitted fabric was prepared and various physical properties such as thermal, wicking and drying characteristics were measured. In addition, far-infrared emission characteristics of ZrC imbedded PET was analysed and tactile hand property and dye affinity of ZrC imbedded knitted fabric were also studied in comparison with regular and other commercial heat storage PET knitted fabrics. It was observed that Zr imbedded amount in the yarn was 19.29% by ingredient analysis and far-infrared emission energy was 3.65×102 W/m2, emissivity was 0.906 at the range of wavelength 6~20 µm. It was found that maximum heat flow (Qmax) of ZrC imbedded PET knitted fabric was lower than that of regular PET one and warmth keepability rate was higher than that of regular PET one, which means ZrC imbedded PET have heat storage property. Drying property of ZrC imbedded knitted fabric was better than that of regular PET one due to heat by far-infrared emitted from ZrC in the core of filament. It revealed that wicking property of the ZrC imbedded fabric was not influenced by far-infrared emission, but affected by fibre physical properties. Tactile hand property of ZrC imbedded knitted fabric was not influenced by imbedding ZrC in the filament but affected preferably by structure of knitted fabric. Dye affinity of ZrC imbedded PET knitted fabric was less influenced by dyeing temperature and time than regular PET knitted one.
Keywords:
heat storage, ZrC imbedded PET, far-infrared emission, warmth keepability rate, wicking, drying키워드:
축열, 탄화지르코늄 함유 PET, 원적외선 방출, 보온율, 흡습, 건조1. 서 론
고감성 의류용으로 사용되는 기능성 직·편물 소재 중에서 축열·발열 소재는 보온 소재로 사용되고 있다. 일반적으로 보온소재는 크게 두 가지 방법으로 기능을 부여할 수 있는데, 소극적(passive)방법과 적극적(positive)방법이다(Kwon, 2007). 소극적 방법 세 가지 중에서 한 가지가「원적외선 방사 보온섬유」로 직물을 구성하는 실 내부에 세라믹 입자를 넣어 이것이 인체에서 발산되는 열을 흡수·축열 한 후 인체에 다시 원적외선 형태로 반사시킴으로써 외부로 방열을 막아주는 방법이다. 또한 적극적 방법 중 한 가지 방법은 탄화지르코늄(ZrC)을 직물내의 실 내부에 혹은 직물 표면에 내재시켜 이것이 태양광을 받으면 근적외선을 흡수하여 열에너지로 축열하고 인체로 방열하여 보온성을 부여하는 방법이 제품화되고 있다. 일본의 유니티카에서 제품화된 「솔라α」는 탄화지르코늄을 나일론 원사의 core에 혼입시킨 축열·보온 섬유이며 「솔라-마이크로아트」는 원사의 중앙부위에 중공 마이크로아트 섬유를 넣고 effect 부위에「솔라α」를 혼합시킨 소위 다축교차 중공 구조사를 ㈜데상트 일본 스포츠 브랜드와 공동 개발하여 33%의 공극률을 가지는 원사를 개발하여 경량성과 벌키성을 가진 축열·보온 섬유를 상용화 하였다. 그 외 구라레이, 미쯔비시 레이온, 가네보 등의 일본 원사 메이커에서도 탄화지르코늄을 이용한 보온성 침구류에 적용할 수 있는 보온성 원사를 상용화 하고 있다.
Furuta et al.(1996)은 탄화지르코늄을 PET에 2% 혼입시켜 보온직물 소재를 개발하였다. 이들은 개발한 보온소재에서 가시광선과 근적외선을 흡수하여 열에너지로 변환되어 인체에서의 원적외선을 반사시켜 보온효과를 발현하는 것을 확인하였으며 이들 원사를 사용한 직물의 투습량(moisture permeability)도 증가함을 확인하였다. Bahng and Lee(2014)은 PET 섬유에 세라믹 파우더를 혼입하여 발열섬유를 개발하였으며, 발열 특성 이외에 우수한 수분흡수, 속건, 냄새제거 및 항곰팡이 기능도 확인하였다. 세라믹 혼입 섬유의 경우 발생된 열이 인체에서 발생된 땀을 쉽게 증발시켜 속건성을 보인다고 설명하였다. 한편 Kim and Kim(2010)은 게르마늄 입자를 PET 마스터 배치 칩으로 제조하고 이를 PET와 혼합, 용융·방사하여 sheath-core 콘쥬게이트 복합사 및 직물을 제조하고 원적외선 방사강도와 방사율을 FT-IR spectrometer(MIDAC, M2400-C, USA)를 이용하여 5~20 μm 파장 영역에서 측정하여 0.874의 방사율을 얻었으며 EDS(Emergy Dispersive X-ray Spectrography, Hitachi S4300)에 의한 원소분석을 실시하였다. Shim et al.(2009)은 투습포 의류에 사용되는 직물에 온감성능을 보완하기 위해 투습용으로 사용되는 친수성 폴리우레탄 내에 세라믹 파우더를 혼입하여 직물의 표면에 라미네이팅 처리를 한 후 이들의 적외선 방사율(emissivity)을 측정하여 92.6%에서 94.8%의 값을 보임을 확인하였다. 또한 thermal manikin을 이용하여 라미네이팅 필름 내의 세라믹의 온감 효과를 연구하여 세라믹의 혼입은 적외선 방사율을 증가, 열차단 특성 증가, 수증기 투과율 감소, 의류의 열차단도 및 의복내 기후 온도가 증가하였다는 연구결과를 발표하였다. Yoo et al.(1993)도 폴리우레탄 수지에 ZrC, ZrO2, TiO2를 첨가하여 이들을 나일론 직물에 코팅 처리하여 축열·단열 특성을 연구하였으며, Yeo et al.(1998)도 나일론 직물에 α-알루미나 함유 세라믹을 코팅처리 하여 이들의 보온효과를 분석하였다. 이들의 원적외선 방사율을 파장 4~22 μm 범위에서 FT-IR을 사용하여 측정하였으며, 축·방열성, 보온성 등의 열적 특성치를 조사하였다.
한편 Hong et al.(2010)은 무기입자 cordierite와 platinum photo 분말의 혼입량을 다르게 하여 폴리우레탄 나노웹에 첨가하여 이들의 표면온도 특성과 첨가량에 따른 원적외선 방사특성을 분석, 연구하였다. 그러나 현재까지의 세라믹 혼입 발열섬유에 대한 두 가지 연구(Bahng & Lee, 2014; Furuta et al., 1998)는 원적외선 방사에 의한 발열특성에 관한 기초적인 연구를 수행하였으며, 나머지 연구(Shim et al., 2009; Yeo et al., 1998; Yoo et al., 1993)는 직물의 표면에 세라믹 나노입자를 코팅과 라미네이팅 가공하여 원적외선 방사에 의한 보온특성을 향상시킨 연구들이다. 그러나 최근에 국내에서 상용화 되고 있는 원사에 세라믹이 혼입된 발열·축열 섬유에 대한 원적외선 방사 특성이 어느 정도인지 이들의 염색성은 일반 PET 소재와 차이가 있는지에 대한 연구가 부족한 실정이며, 또한 발열·축열에 의한 보온성 및 착용쾌적성에 대한 연구도 부족한 실정이다. 따라서 본 연구에서는 국내 H사에서 탄화지르코늄 혼입 PET 축열·발열 섬유를 방사하여 니트를 제편하고 이것과 비교하기 위해 국외 축열소재인 Sahara와 Ceraheat 그리고 국내 일반 PET 원사를 사용하여 모두 4가지 니트를 제편하고 이들 4가지 소재의 원적외선 방사율, 열적특성 그리고 흡습 및 건조특성 등을 분석하여 세라믹 혼입 축열·발열 소재의 착용 쾌적 특성을 연구하고자 하였다. 그리고 이들의 염색특성과 역학 특성을 측정하여 세라믹 파우더 혼입에 의한 이들 특성이 일반 PET 소재와 어떠한 차이를 나타내는지 분석해 보고자 하였다.
2. 실 험
2.1. 시료
본 연구에서 사용한 축열·발열 소재사는 국내 H사 파일롯 방사기에서 방사하였다. sheath 부에는 저점도 PET, core부에는 고점도 PET와 탄화지르코늄을 혼입시켜 POY 125d/36f를 conjugate 이성분 방사한 후 Murata 텍스쳐링 기계에서 연신비 1.65, 히터온도 190℃, 속도비(belt speed/feed speed) 1.75의 조건에서 사가공을 실시하여 DTY 75d/36f 세라믹 함유 PET 사를 준비하였다. 이 실과 비교하기 위한 시료로 국외에서 시판되고 있는 나노 발열·축열 세라믹 PET DTY 두 가지(Ceraheat, Sahara)와 일반 PET DTY를 준비하였다. Table 1에 이들 시료의 특성을 나타내었다.
Table 1에 나타낸 원사 4가지를 사용하여 두 가지 조직의 니트시료를 준비하였다. 환편기(금용기계, 더블니팅기)는 30인치 직경, 28게이지, 18 rpm의 속도로 총 2,460침으로 니팅을 실시하였다. Corduroy 조직은 표면사는 PET DTY 100d/48f를 사용하고 이면사는 Table 1에 보이는 4가지 실을 사용하여 편직하였으며, Crepe 조직은 표면사에 PET DTY 150d/144f를 사용하고 이면사에 Table 1에 보인 4가지 실을 사용하여 이중직 조직으로 각각 편직하였다. Table 2와 3에 이들 니트시료들의 특성과 조직도를 나타내었다.
2.2. 니트 소재 염색
탄화지르코늄 삽입 PET와 세라믹 PET 니트 시료, 비교시료인 일반 PET 니트 시료들의 전처리는 소다회(Na2CO3, 2 g/ℓ)와 정련제(Sunmorl SS-30, 1 g/ℓ)를 넣고 80℃ 온도에서 20분간 처리하였다. 염색조건은 탄화지르코늄, 세라믹 등이 혼합됨에 따라 regular PET 니트 소재와 염색 특성의 차이를 분석하기 위해 염색온도 110, 120, 130℃, 염색시간 30, 40, 60분의 조건으로 온도와 시간에 따른 염색성을 확인하였다. Table 4에 이들 염색조건을 나타내었다.
2.3. 물성 측정 방법
탄화지르코늄을 함유한 PET, 세라믹 함유 PET 등의 3가지 원사의 원소분석은 EDS(Energy Dispersive X-ray Spectrography, JEOL LV 8500, 일본)를 사용하여 분석을 실시하였다.
탄화지르코늄 함유 PET 원사의 원적외선 방출특성은 KICM-FIR 1055 시험법에 의해 MCT 검출기를 장착한 FT-IR Spectrometer(Midac M 2400-C, 미국)를 사용하였다. 측정시 온도는 40℃, 분해능은 8 cm−1, 파장범위는 5~20 μm이었다. 원적외선 방출성능은 원적외선 방사율(Emissivity)과 원적외선 방사강도(Emissive power)로 측정되며 흑체 기준으로 계산된다(Hong et al., 2010). 방사율이 1인 흑체의 방사강도는 Plank 공식(Yeo et al., 1998)에 의해 각 파장영역에서 계산된다.
사의 단면형상을 관찰하기 위해 주사전자현미경(Scanning Electron Microscope, S-4300, Hitachi co., Japan)과 광학현미 경(i Camscope 305A, 한국)을 이용하여 가속전압 하에서 사의 단면을 측정하였다.
KES-F7(Thermolabo II, Kato Tech. Co., Ltd., 일본)을 이용하여 열전도도를 측정하였으며 항온항습실(실내온도 22±1℃, 70±5% RH)에서 측정하였다. 5 cm×5 cm 크기의 직물시료를 3개 준비하여 정상 상태에서의 열손실을 측정하여 식 (1)에 의해 열전도도(thermal conductivity, K, W/cm℃)를 측정하였다.
where, W : 열손실(W/cm2)
- D : 시험편의 두께(cm)
- △T : 시료의 온도차이(℃)
보온율은 실온보다 10℃ 높은 B.T box를 평형상태에서 2~3분 후의 평균 열 방산속도 W0를 측정하고 시료를 올린 후 W값을 측정하여 W0와 W의 차이의 W0에 대한 백분율(%)로 보온율(I)을 계산하였다. Qmax는 항온항습실(실내온도 22±1℃, 70±5% RH)에서 KES-F7(Thermolabo II, Kato Tech. Co., Ltd., Japan)을 이용하여 순간 열유속 최대치(Qmax)를 측정하였다.
흡습특성은 Bireck method(KS K 0815)에 의해 실험하였다. 20 cm×2.5 cm 스트립 시료를 준비하여 시료의 한쪽 끝단을 27±2℃의 증류수가 담겨있는 수조에 두어 10분 간격으로 30분 후의 wicking된 길이(mm)를 측정하였다. 건조특성은 KS K0815A 법에 의해 측정하였다. 27±2℃ 증류수가 담겨있는 수조에 40 cm×40 cm 시료를 침지시켜 충분히 흡수시켰다가 꺼내어 물방울이 더 이상 떨어지지 않을 때 측정장치에 시료를 걸고 표준상태에서 자연건조 될 때까지 시간(min)을 센서에 의한 계측기(INTEC. Co. LTD, 일본)로 건조율(drying rate)을 측정하였다.
탄화지르코늄의 함유에 따른 의류상태에서의 착용과 관련된 촉감 특성 값은 의류의 착용 물성에 대단히 중요하며 간접적으로 이들 물성을 예측하기 위해 니트 소재의 역학특성을 FAST 시험기로 측정하였다.
FAST system을 사용하여 편물의 신장성을 측정하기 위해 13 cm×5 cm의 시료를 준비한 후 5, 20, 100 gf/cm 하중으로 인장하여 신도를 측정하였고, 편물의 전단강성은 FAST-3 시험기로 측정하였다. 시료를 경사 또는 위사 방향의 45°로 취하여 13 cm×5 cm 크기로 준비하여 5 gf/cm 하중으로 인장하여 바이어스 방향의 신도를 측정하였다. 전단강성(G)은 식 (2)를 이용하여 계산하였다.
where, EB5 : bias extension under 5 gf/cm(%)
편물의 굽힘강성은 FAST-2 시험기로 측정하였다. 경사와 위 사방향의 굽힘 길이와 편물의 무게로 식 (3)에서 굽힘강성을 계산하였다.
where, B: bending rigidity(μN·m)
- C: bending length(mm)
- W: weight per unit area(gf/m2)
그리고 편물의 압축특성은 2 gf/cm2, 100 gf/cm2 하중으로 압축하여 편물의 압축성을 측정하였다.
염색시간과 온도에 따른 니트소재의 염착특성을 분석하기 위해 측색기(Gretag Macbath, Color-Eye 3100)를 사용하여 최대 흡수 파장(600 nm)에서 표면 반사율(R)을 측정하여 K/S값과 백포에 대한 색차(ΔE)값을 측정(Xin, 2006)하였다.
3. 결과 및 논의
3.1. 축열니트 원사의 원소분석
Fig. 1은 Table 1에 보인 축열니트용 3가지 세라믹 함유 PET 원사의 원소분석 결과를 나타낸 것이다. Fig. 1(a)~(c)는 원소분석 피크이며 (d)~(f)는 원소 종류별 함량을 나타낸 것이다.
Fig. 1(a)와 (d)에서 볼 수 있듯이 H 소재는 Zr 원소 피크와 이들 함량이 19.29% 함유하고 있는 것을 확인할 수 있다. Fig. 1(b), (e)에서 볼 수 있듯이 S 소재는 C, O 원소 이외에 무기입자의 원소가 될 수 있는 Na, Al, Cl, Fe 등의 원소가 검출되었으며, Al은 EDS 기계 holder의 원소가 검출 된 것이며, 방사시 조제의 원소인 K, 그리고 Pt는 원소분석 시료 준비시 백금 코팅을 하여 이들 원소가 검출된 것으로 보여진다. Fig. 1(c), (f)에서는 C, O 원소 이외에 무기입자에 포함되어 있는 Zn 원소가 검출되었으며 Al, Ti 등의 무기입자 원소도 검출되었다. 원소분석을 종합하면 본 연구에서 방사한 H 시료에서는 탄화지르코늄(ZrC)을 확인할 수 있었으며 비교시료로서 사용한 S와 C 축열 소재에서는 Al, Fe 등의 무기입자 원소를 S시료에서, Zn 원소는 C 시료에서 확인할 수 있었다. Fig. 2의 원사 단면의 SEM 사진에서 흰 반점을 볼 수 있으며, 이들 무기입자들을 확인할 수 있었다.
3.2. 축열 니트 소재의 원적외선 방출특성
Table 5는 세 가지 축열소재의 0~20 μm 파장영역에서의 원적외선 방사 에너지와 방사율 결과를 나타낸 것이다.
Table 5에서 H시료와 S시료의 원적외선 방사 에너지가 3.65×102W/m2이며 원적외선 방사율은 0.906과 0.907로 비슷한 값을 보이며 C시료는 3.62×102W/m2과 0.898로 다소 낮은 값을 나타냈다. 일반적으로 방사에너지가 높은값을 가질 때 원적외선 방사 효율성이 높은 것으로 알려져 있다. Fig. 3은 MCT 검출기를 장착한 FT-IR에서 측정된 H시료의 원적외선 방사에너지와 방사율 그래프를 나타냈다.
Fig. 3에서 볼 수 있듯이 최대 원적외선 방사에너지를 보이는 파장 영역은 9~9.5 μm이며, 이 영역에서의 흑체의 방사에너지는 39.2 W/m·μm이며 탄화지르코늄 함유 H소재의 방사에너지는 35.1W/m·μm의 값을 보였다. 그러나 S시료의 최대 원적외선 방사에너지를 보이는 파장영역은 9.5~10 μm이었으며 이 영역에서의 흑체의 방사에너지는 38.9W/m·μm, 그리고 S소재의 방사에너지는 34.9W/m·μm를 보였다. 그리고 C시료의 최대 원적외선 방사에너지를 보이는 파장영역은 9~10 μm, 이 영역에서의 흑체의 방사에너지는 39.1W/m·μm, 그리고 C 소재의 이 영역에서의 방사에너지는 34.8W/m·μm의 값을 각각 나타내었다.
3.3. 축열 니트 소재의 열적 특성
Fig. 4는 세 가지 축열 소재와 이들과 비교하기 위한 regular PET(R-PET) 니트 소재의 열적특성, 즉 순간적인 최대 열 유동량(Qmax), 보온율(I) 그리고 열전도도(K)를 도시한 것이다. 탄화지르코늄 함유 니트소재(H시료)의 Qmax가 타사 축열 니트 소재(S, C 시료)보다 더 낮은 값을 보이며 regular PET 니트소재(R시료) 보다는 훨씬 낮은 값을 가져서 인체에서 빠져나가는 열 유동을 실 내부에 함유되어 있는 탄화지르코늄에서 발생되 는 원적외선이 막아주거나 축열 또는 발열에 의해 열유동량을 줄여줌을 확인할 수 있었다. 이러한 결과는 선행연구인 Shim et al.(2009)과 Yeo et al.(1998)의 연구결과에서도 유사한 결과를 얻었다. 보온성은 탄화지르코늄 니트소재인 corduroy, crepe 조직 모두 H 시료가 regular PET(R시료)보다 높은 값을 나타내어 축열 특성을 확인할 수 있었다. 열전도도에서도 corduroy와 crepe 조직 모두 H시료가 regular PET(R시료)보다 높은 값을 보였다. 이는 H시료에 함유된 탄화지르코늄의 열전도도가 regular PET 니트소재(R시료)의 열전도도 보다 훨씬 큰 값을 가지며 따라서 이를 함유한 H시료가 regular PET 소재보다 높은 열전도도를 나타냈다.
3.4. 축열 니트 소재의 흡습 및 건조특성
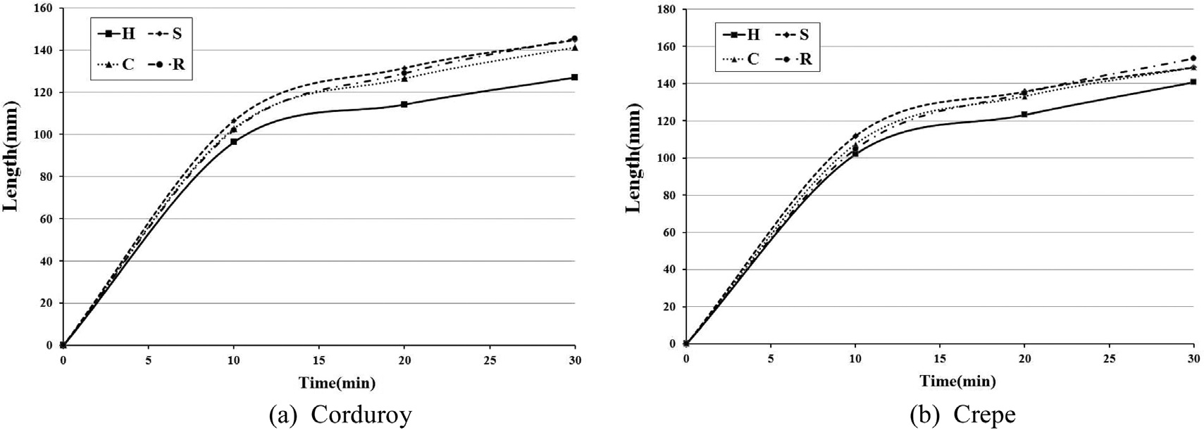
Fig. 5는 4가지 니트시료의 wicking성을 10분 단위로 30분 동안 측정한 그래프이다. Corduroy와 Crepe 조직 모두 축열소재 H시료가 가장 낮은 값을 보였으며, S, C 그리고 R 소재중에서 축열소재이며 단면이 콩팥 모양의 비원형 단면을 가진 S 소재의 wicking성이 가장 우수함을 알 수 있다. 하지만 이들 값은 20분, 30분 시간이 흐를수록 큰 차이를 나타내지 않았으며, 오히려 H소재와는 더 큰 차이를 보였다. 이는 축열특성이 소재의 wicking성에는 큰 영향을 주지 못하며 실 단면이 비원형이면서 단면내의 섬유의 가닥수가 많은 S소재가 더 큰 wicking성을 보여주어 이것이 wicking성에는 더 중요한 파라메타임을 확인할 수 있었다. Fig. 6에 H, S, C 축열소재의 현미경과 SEM 사진을 나타냈다. S시료의 단면이 콩팥모양을 가지며 72가닥의 멀티필라멘트 구성에 의해 상대적으로 H시료보다 표면적이 넓어져 흡습이 더 많이 일어난 것으로 사료된다.
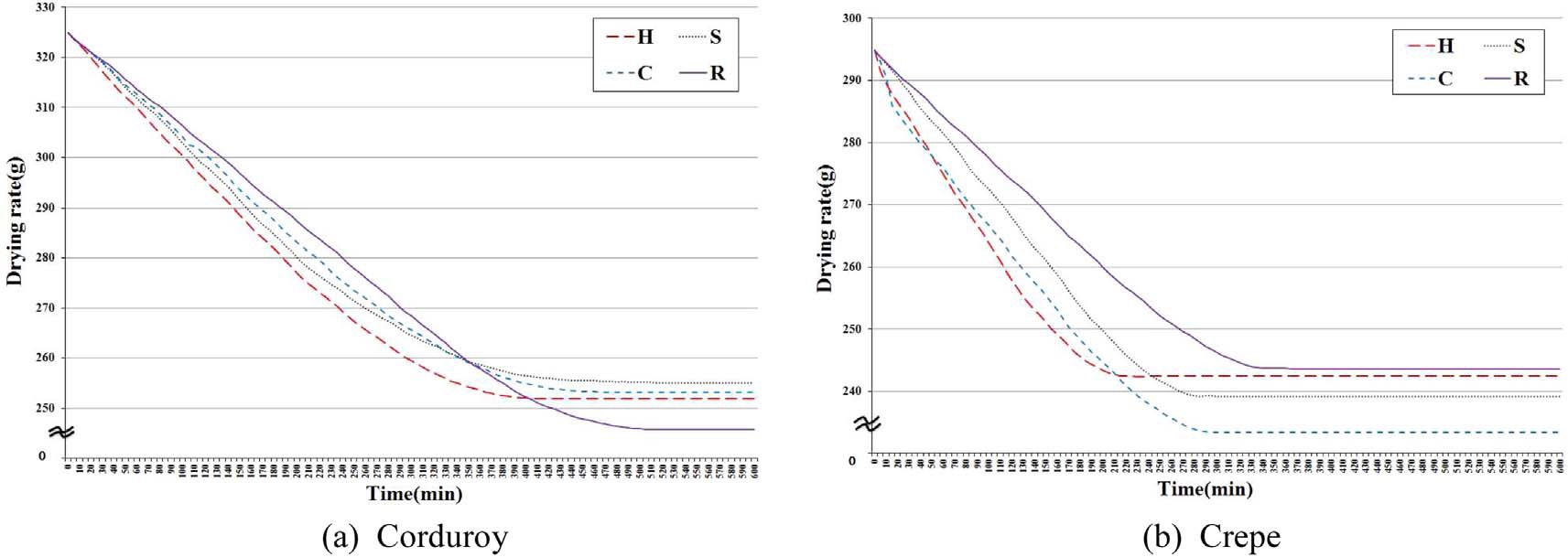
Fig. 7은 4가지 니트시료의 건조특성을 나타내었다. Crepe 조직에서는 H시료는 210분이며, S시료는 280분, C시료는 290분, R시료는 340분을 나타냈다. 축열소재 H시료가 가장 속건성이 우수하였으며 다른 축열소재 S, C 시료보다 역시 우수한 건조성을 보였다. R(Regular PET) 소재 보다는 약 38% 정도 우수한 건조성을 보였는데, 이는 선행연구(Bahng & Lee, 2014)의 연구결과에서도 유사한 경향을 확인할 수 있었으며, 섬유내에 축적된 열입자들이 섬유내에 흡수된 수분을 건조시켜서 축열소재가 우수한 건조특성을 보이는 것으로 생각된다.
3.5. 축열 니트 소재의 역학특성
Fig. 8은 4가지 니트시료의 역학특성을 나타내었다. 무기입자가 필라멘트내에 혼입됨에 따른 직·편물의 촉감과 의복 착용 성능에 미치는 영향을 예측하기 위해 역학특성의 상대적 비교를 하였다. Fig. 8은 regular PET 소재의 역학량에 대한 축열소재의 역학량의 상대적인 값을 조직별로 나타낸 것이다. Crepe 조직에서 볼 수 있듯이 regular PET 소재보다 무기입자 혼입소재 니트의 압축성이 더 큰 값을 나타내어 압축탄성이 우수함을 확인할 수 있었다. 반면 니트의 굽힘강성과 전단강성 값도 regular PET 소재보다 축열소재가 더 큰 값을 나타내어 무기입자 혼입이 니트소재를 다소 stiff하게 만든 것으로 판단된다. 하지만 길이 방향의 신축성에는 큰 차이를 보이지 않아 압축탄성이 우수한 무기입자 혼입 축열 소재가 촉감이 다소 우수하며, 의류상태에서 형태 유지성도 오히려 안정한 형태를 유지할 수 있을 것으로 판단된다. Corduroy 조직에서는 압축특성과 신축특성이 crepe 조직과 비슷한 경향을 보였으나 굽힘감성과 전단강성은 축열소재가 오히려 낮은 값을 보여서 촉감특성은 우수하나 의류에서의 형태유지성이 다소 떨어지는 것으로 예측되었다. 이는 Fig. 9에서 볼 수 있듯이 crepe 조직은 명확한 loop 의 형성과 교착점이 명확하게 보여지며 따라서 원사의 특성이 편물에 그대로 나타나지만 corduroy 조직은 Fig. 9에서 볼 수 있듯이 loop 형상과 wale, course의 교착점이 명확하지 않아 원사의 특성보다 니트 조직의 효과가 포의 역학특성에 더 큰 영향을 주어 crepe 조직과는 다른 굽힘강성과 전단강성을 보인다고 사료된다.
3.6. 축열 니트 소재의 염색특성
Fig. 10은 H, S, C 축열소재와 비교 시료인 regular PET 소재인 R소재의 염색 조건에 따른 K/S값을 도시화 한 것이다.
Fig. 10에서 볼 수 있듯이 탄화지르코늄 혼입 축열소재인 H 시료의 K/S값은 상대적으로 다른 시료에 비해 염색온도와 시간에 영향을 덜 받는다는 것을 알 수 있다. 즉, 원사 내에 혼입된 탄화지르코늄의 Zr 원소가 19.3% 함유 되어 이 입자들이 염색온도와 시간에 따른 염료 입자들의 확산을 막아서 일어나는 현상으로 판단된다. 반면, S, C 그리고 R 소재는 120, 130℃에서 K/S 25 정도의 높은 값을 보였으며, 110℃에서의 K/S와 큰 차이를 보였다. 따라서 H 시료는 S, C, R 시료와는 달리 110℃ 염색 온도에서도 120, 130℃와 유사한 K/S 값을 보여서 심색의 염색성을 얻기 위해서는 염색 온도에서 에너지절감이 가능할 것으로 사료된다. 이러한 현상은 Fig. 11에 보인 색차 △E 값에서도 확인할 수 있었다. 즉, H 시료는 110, 120 그리고 130℃ 염색온도와 염색시간이 30, 40, 60분에 따른 △E의 차이를 볼 수 없으나 S, C, R 시료의 경우 110℃에서 최대 색차를 보였으며, 120, 130℃에서는 110℃보다 낮은 값을 보여서 온도에 따른 색차의 큰 차이를 확인할 수 있었다. 이는 탄화지르코늄 혼입 축열소재의 경우 염색온도(110℃, 120℃, 130℃)와 염색시간(30분, 40분, 60분)에 따른 염착특성에 큰 차이를 보이지 않아서 에너지 절감을 위해서는 110℃, 30분의 염색조건이 에너지 절감이 가능한 최적조건임을 확인하였다.
4. 결 론
최근 국내외 의류용 축열소재로 많이 사용되는 무기입자 함유 고감성 PET 축열소재의 기초물성은 대단히 중요한 물성이며, 본 연구에서는 탄화지르코늄을 함유한 PET 축열·발열 니트소재의 원적외선 방출특성과 고감성 의류용에서의 착용쾌적성그리고 염색특성을 연구한 결과 다음과 같은 결론을 얻었다.
1. 탄화지르코늄 무기입자 함유 축열 PET 소재를 방사하여 원소분석 결과 Zr 등의 원소를 확인할 수 있었으며 이들 시료의 원적외선 방출특성은 방출에너지 3.65×102W/m2, 방사율은 0.906임을 확인하였다.
2. 탄화지르코늄 함유 PET 축열 니트 소재의 순간 최대 열 유동량(Qmax)은 타사 축열 소재보다 낮은 값을 보였으며, regular PET 소재에 비해서는 훨씬 낮은 값을 보였다. 보온성은 탄화지르코늄 PET 소재가 가장 높은 값을 보여 우수한 축열 특성을 확인할 수 있었다.
3. 탄화지르코늄 함유 축열소재는 수분흡수 wicking성에는 큰 영향을 주지 않았으며 단면의 형상과 섬유의 섬도 특성이 더 큰 영향을 주는 것을 확인할 수 있었다. 그러나 탄화지르코늄 함유 축열 니트소재의 건조특성은 타사 축열 니트소재와 regular PET 니트 소재 보다 훨씬 우수한 속건 특성을 나타내었다.
4. 탄화지르코늄이 함유됨으로써 니트 소재의 역학특성은 corduroy 조직에서는 regular PET 니트 소재 보다 부드러운 압축성, 굽힘, 전단 특성을 보여 우수한 촉감 특성을 나타냈으나, crepe 조직에서는 다소 stiff한 촉감특성을 보여 니트 소재의 조직에 따른 촉감을 차이를 확인할 수 있었다.
5. 탄화지르코늄 함유 PET 니트소재의 염착특성(K/S)은 regular PET 니트 소재 보다 염색온도와 시간에 영향을 크게 받지 않았으며 에너지 절감 측면에서 110℃, 30분이 최적 염색조건임을 확인할 수 있었다.
Acknowledgments
본 연구는 대경광역경제권 선도사업 “인텔리전트 온도제어형 섬유제품 개발” 연구결과의 일부로서 관계기관에 감사드린다.
References
-
Bahng, G. W., Lee, J. D., Development of heat-generating polyester fiber harnessing catalytic ceramic powder combined with heat-generating super microorganisms., Textile Research Journal, (2014), 84(11), p1220-1230.
[https://doi.org/10.1177/0040517513503732]
-
Furata, T., Shimizu, Y., Kondo, Y., Evaluating the temperature and humidity characteristics of solar energy absorbing and retaining fabric., Textile Research Journal, (1996), 66(3), p123-130.
[https://doi.org/10.1177/004051759606600301]
-
Hong, S. Y., Lee, C. H., Kim, J. Y., Fabrication of ceramic particles deposited nano-web using electrospinning process and its far-infrared ray emission property., Textile Coloration and Finishing, (2010), 22(2), p118-122.
[https://doi.org/10.5764/TCF.2010.22.2.118]
- Xin, J. H., Total Color Management in Textiles, Woodhead Publishing Limited., (2006).
- Kim, H. A., Kim, S. J., Far-infrared emission characteristics of germanium included fabrics for emotional garment., Korean Journal of the Science of Emotion & Sensibility, (2010), 13(4), p687-692.
- Kwon, O. K., Heat delivery mechanism of textile products and development trend of keeping warmth functionalized product, Textopia, (2007), Retrieved October 20, 2014, http://www.textopia.or.kr/new/index.do.
-
Shim, M. H., Park, C. H., Shim, H. S., Effect of ceramics on the physical and thermo-physiological performance of warm-up suit., Textile Research Journal, (2009), 79(17), p1557-1564.
[https://doi.org/10.1177/0040517508095605]
- Yeo, S. Y., Lee, D. H., Kim, E. A., Far IR emission and thermal properties of ceramics coated Nylon fabrics., Journal of the Korean Society Clothing and Textiles, (1998), 22(4), p515-524.
- Yoo, H. H., Kim, Y. H., Cho, H. T., Shim, H. J., Lee, K. B., Improvement of warmth retaining property of water vapor permeable/waterproof coated Nylon fabric., Journal of the Korean Fiber Society, (1993), 30(3), p250-258.
















