
화생방보호의의 내피 소재 특성에 따른 세탁내구성 변화: 활성탄소 형태 및 직물 구조 중심으로
©2025 The Korean Fashion and Textile Research Journal(KFTRJ). This is an open access journal. Articles are distributed under the terms of the Creative 52 Commons Attribution Non-Commercial License (http://creativecommons.org/licenses/by-nc/4.0), which permits unrestricted use, distribution, and reproduction in any medium, provided the original work is properly cited.
Abstract
With the increasing threats of chemical and biological warfare, the development of protective clothing that can shield the human body from hazardous substances has become critical. This study investigates the washing durability of chemical, biological, radiological, and nuclear (CBRN) protective clothing by examining the effects of different types of activated carbon and inner fabric structures. Activated carbon beads (ACB) and activated carbon fibers (ACF) were used, with ACF further classified into ACF(W), composed of woven fabric, and ACF(N), composed of non-woven fabric. Each sample underwent 30 washing cycles, and performance was evaluated in terms of dimensional stability, colorfastness, air permeability, moisture vapor transmission rate (MVTR), and protective performance. ACB and ACF(N) demonstrated greater shrinkage owing to their nonwoven structures, although all the samples met the U.S. military standards (shrinkage < 6%, skewness < 3%). In terms of colorfastness, ACB remained stable for up to 10 washes, whereas ACF exceeded the fading threshold from the first wash. The air permeability and MVTR retention followed the order ACB < ACF(W) < ACF(N), with ACF(N) showing the most stable results. The ACF samples also demonstrated longer breakthrough times and superior protective performance compared to ACB. The durability of ACF is attributed to its uniform pore distribution and high surface area, which enhances adsorption and airflow. Additionally, the woven structure of ACF(W) provides a stable network that maintains air permeability and protection. Although performance degradation appeared after 10 washing cycles, ACF demonstrated overall advantages in terms of durability as well as protection. These results indicate that ACF materials are suitable for long-term use in CBRN protective clothing.
Keywords:
CBRN protective clothing, activated carbon beads, activated carbon fiber, washing durability, protective performance키워드:
화생방보호의, 구슬형 활성탄소, 섬유형 활성탄소, 세탁내구성, 방호성능1. 서 론
화생방 보호의는 화학, 생물학, 방사능, 핵(CBRN; chemical, biological, radiological and nuclear) 위협으로부터 착용자를 보호하기 위해 설계된 특수 보호의로, 군인뿐 아니라 의료진, 재난 대응 인력, 산업 현장의 작업자들에게도 필수적인 보호 장비이다(Dhyani et al., 2022; Sukumar et al., 2022). 화생방 보호의의 개발은 군사 및 재난 대응 기술의 발전과 함께 이루어졌으며(Sharma et al., 2019), 초기 보호의는 불침투성 고무 소재로 제작되어 땀 배출이 어려워 열 스트레스 문제를 야기하였다(Kang et al., 2012). 이를 개선하기 위해 유해물질을 효과적으로 차단할 수 있는 고성능 보호의의 연구와 개발이 지속되고 있다(Schreuder-Gibson et al., 2003).
화생방 보호의는 유해 화학물질을 차단하기 위해 흡착 및 탈착 기능이 요구되며, 이에 적합한 소재로 활성탄(AC; Activated Carbon) 기반 소재가 사용되고 있다(Schreuder-Gibson et al., 2003). 활성탄은 분말형, 입상형, 구슬형, 섬유형 등 다양한 형태로 제작되며, 이들 각각은 흡착 특성, 속도, 구조적 안정성에서 차이를 보인다(Bansal & Goyal, 2005). 특히 섬유형 활성탄소는 넓은 비표면적으로 인해 흡착 속도가 빨라, 최근 그 활용 가능성에 대한 연구가 활발히 이루어지고 있다(Hassan et al., 2020). 이러한 다양한 활성탄 소재가 화생방 보호의 내피에 적용됨에 있어, 화생방 보호의가 충족해야 할 주요 성능 기준 역시 함께 고려되어야 한다.
현재 국내에는 화생방보호의의 세탁 및 관리 관련 규격이 부재하여 미군 규격(MIL-DTL-32102, 2002)을 기준으로 치수안정성, 염색견뢰도, 공기투과도, 투습도, 방호성능의 항목을 평가하고 있다. 치수안정성은 착용 적합성과 활동성, 염색견뢰도는 위장 패턴 유지, 공기투과도와 투습도는 착용자의 쾌적성과 밀접한 관련이 있다(Gorji & Gharehaghaji, 2022). 방호 성능은 보호의의 가장 중요한 성능으로, 화학물질의 흡착용량과 파과시간(BT; Breakthrough Time)을 통해 측정된다(Ko & Park, 2010). 이러한 성능 지표들은 보호의가 반복적인 착용과 세탁 환경에서도 안정적으로 유지되어야 함을 전제로 한다. 따라서 보호의는 반복 사용 후에도 방호 성능을 유지할 수 있도록 내구성과 기능 안정성을 갖추는 것이 필수적이다(Hong et al., 2016). 따라서, 화생방 보호의의 치수안정성, 염색견뢰도, 공기투과도, 투습도, 방호성능에 대한 세탁내구성을 살펴봄으로써 다회 사용시 필요한 세탁 및 건조가 보호의의 성능 저하에 어떠한 영향을 미치는지 파악할 수 있을 것으로 예상된다.
본 연구에서는 구슬형 활성탄소를 사용하는 상용품(ACB; Activated Carbon Beads)과 섬유형 활성탄소를 사용하는 시제품(ACF; Activated Carbon Fiber)을 대상으로 반복 세탁에 따른 성능 변화를 분석하고자 한다. 이를 통해 활성탄소의 형태 및 직물 구조에 따른 내피 소재별 화생방 보호의의 세탁내구성을 살펴봄으로써, 화생방 보호의의 기대수명을 예측하고 개선하는데 기여하고자 한다. 더 나아가, 합리적인 가격과 우수한 성능을 동시에 갖춘 화생방 보호의 소재를 국내 기술로 개발한다면, 미국 규격을 활용한 본 연구 결과는 향후 한국 군 및 민방위 체계에서 적용 가능한 기준 마련과 표준 개발의 기초 자료로 활용될 수 있을 것으로 기대된다.
2. 연구 방법
2.1. 시료
본 연구에 사용된 화생방 보호의 소재는 Fig. 1과 같이 위장 패턴으로 된 외피 1겹과 내피 3겹으로 이루어져 있으며, 내피의 직물 구조와 활성탄소 형태에 따라 세 가지 시료를 사용하였다(Table 1). 상용품은 구슬형 활성탄소 기반 시료로 ACB라 명명하였으며, 시제품은 섬유형 활성탄소를 적용한 시료이므로 ACF(W; Woven)와 ACF(N; Nonwoven)으로 구분하였다. ACF(W)와 ACF(N)의 외피층은 동일하지만 ACF(W)는 폴리에스터 직물 층 사이에 ACF가 위치한 구조이며, ACF(N)은 폴리에스터 직물과 나일론 부직포 층 사이에 ACF가 위치하는 구조를 갖는다. 활성탄소 형태와 더불어, 내피층의 직물 구조 차이는 세탁 과정에서 발생하는 변형 및 구조 안정성에 영향을 주어 보호성능과 세탁 내구성의 차이를 유발할 수 있다. 각 시료의 크기는 20 cm × 20 cm로 설정하였다. 염색견뢰도 시험은 KS K 0905(2021) 규격을 준수하여 아크릴(A), 양모(W), 면(C) 소재의 첨부 백포를 사용하였으며, 크기는 4 cm × 10 cm로 설정하였다. 시료를 백포 사이에 배치한 후 한쪽 면에는 양모와 면, 다른 면에는 아크릴을 배치하여 상단을 봉제한 시험편을 제작하여 사용하였다.
Layers of CBRN protective clothing according to activated carbon types and fabric structures: (a)ACB, (b)ACF(W), (c)ACF(N).
2.2. 세탁 및 건조
세탁 및 건조 실험은 Launder-O-Meter(ASA-202-3, Asia Test Co., Korea)와 오븐(Ilshin Engineering Co., Ltd., Korea)을 이용하였다. 실험 조건은 미군 규격(MIL-DTL-32102, 2002)을 따랐으며, 이의 조건을 Table 2에 정리하였다. 세탁 실험 기기의 포트 하나에 시험편 1장씩 넣어 세탁 30회의 과정을 3회 반복하였다.
2.3. 보호의 성능 평가
현미경(Nikon model eclipse LV100ND, NIKON, Japan)을 이용하여 시료의 레이어별로 관찰하였으며, 외피는 겉면 중심으로, 내피는 3개의 레이어를 대상으로 분석하였다. ACB와 ACF(N)은 부직포를 제거한 후 활성탄소를 관찰하였고, ACF(W)는 구조상 분리가 어려워 촬영이 불가능하였다. 모든 시료는 100배율로 관찰하였으며, 지-스태킹 기법을 적용하여 해상도를 개선하였다.
세탁 및 건조 전후의 치수 변화를 Fig. 2에 제시된 방식에 따라 측정하였다. 측정 항목은 경사 및 위사 방향에 대한 길이 변화, 면적 변화, 뒤틀림이며, ISO 3759(2011), AATCC 135 (2018), AATCC 179(2019) 기준에 따라 측정하였다. 길이 변화는 식 (1)과 (2)를 이용하여 계산하였으며, 경사 방향(AF, BG, CH)과 위사 방향(AC, DE, FH)의 세 지점을 기준으로 각각 수축률을 계산한 후 평균값을 이용하였다. 면적변화와 뒤틀림은 각각 식 (3)과 (4)를 통해 계산하였다.
| (1) |
| (2) |
| (3) |
| (4) |
세탁 및 건조로 인한 색상 변화와 이염 정도를 확인하고자 하였다. 다양한 색상으로 이루어진 위장 패턴에 대한 색상 변화를 측정하기 위해 분광 측색계(CM-26d, Konica Minolta, Japan)를 사용해 L*, a*, b* 값을 측정하고 식 (5)와 같이 색차(∆E)를 계산하였다. 색차는 MIL-DTL-44031(2011) 규격 및 ISO 기준에 따라 Table 3과 같이 표준회색색표 등급으로 변환되었으며, 시료별 색 구성과 측정값은 Table 4에 정리되었다. 첨부포는 오차를 줄이기 위해 5겹으로 겹쳐 측정하였다.
| (5) |

Criteria of colorfastness to fading and staining using gray scale (△E) (ISO 105-A05, 1996; ISO 105-A03, 2019)
공기투과도는 ASTM D 737-18(2018) 기준에 따라 측정 기기(Textest FX 3300, Textest AG., Switzerland)를 사용하여 125 Pa 압력 하에서 측정하였으며, 초당 단위면적 내 공기투과량(cm3/cm2/s)을 측정하였다. 시료는 측정기 입구를 완전히 덮도록 배치하고, 3회 측정한 후 평균값을 사용하였다.
미군 화생방 보호의 기준에서는 일반적으로 투습저항을 통해 평가하지만, 미군 상용품 특성상 사용할 수 있는 소재가 제한적이라는 한계가 있다. 이에 본 연구에서는 보다 다양한 소재에 적용 가능하고 실험 조건이 간편한 투습도 측정법을 대체 지표로 활용하였다. 사전 예비 실험 결과, 투습도와 투습저항은 유사한 경향성을 보여주었으며, 이를 통해 본 연구에서는 투습도 지표를 사용하는 것이 타당하다고 판단하였다.
투습도는 KS K 0594(2021) 염화칼슘법을 사용하여 측정하였다. 시료를 염화칼슘이 담긴 투습컵에 고정한 후, 항온항습기(PL-3KPH, ESPEC Corp., Japan)를 이용하여 40oC, 90% RH 조건에서 1시간 및 24시간 동안 무게 변화를 측정하였으며, 식 (6)을 이용하여 투습도를 계산하였다. 모든 시료는 3회 반복 측정 후 평균값을 사용하였다.
| (6) |
P: Moisture vapor transmission rate [g/(m2·h)] a2-a1: Weight change of specimen over time (g) S: Moisture transmission area (m2) h: Elapsed time (h)
방호성능시험은 유해화학물질에 대한 흡착 효율을 평가하는 것으로, 본 연구에서는 KDS 8305-1045 기준에 따라 사이클로헥세인 흡착성능을 평가하였다. 시험은 적외선 분광시험기를 이용해 진행되었으며, 식 (7)과 같이 평량을 기준으로 흡착량(mg/g)을 계산하여 평가하였다. 이 때의 시험 조건 및 판정기준은 Table 5에 제시되어 있다.
| (7) |
위와 같은 다섯 가지 항목에 대한 미군 규격에서의 판정기준은 Table 6과 같다(MIL-DTL-32102, MIL-DTL-44031).
3. 결과 및 고찰
3.1. 반복 세탁이 화생방보호의 소재의 성능에 미치는 영향
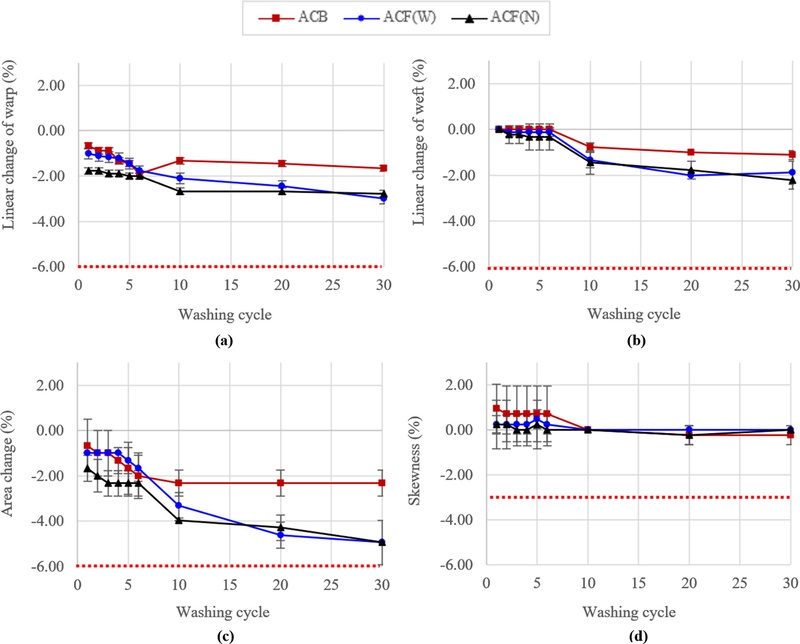
화생방보호의의 세탁 및 건조 횟수에 따른 치수 안정성 결과를 Fig. 3에 나타내었다. 또한 세탁에 따른 시료별 내피 직물 구조의 변화를 분석하기 위해, Table 7과 같이 현미경 촬영을 통해 관찰하였다. 미군 규격에서 성능 유지를 요구하는 세탁 6회 조건에서는 활성탄소의 형태와 내피 구조의 차이에 따라 시료 간 성능 차이가 나타났다. 경사 방향에서는 ACF(W)가 -1.78%로 가장 낮은 수축률을 보였으며, ACB(-1.89%)와 ACF(N)(-2.67%)은 부직포 구조를 포함하고 있어 상대적으로 더 큰 수축이 발생한 것으로 판단된다. 위사 방향에서는 직물의 구조적 특성으로 인해 경사 방향보다 작용하는 힘이 적어, 모든 시료에서 수축이 거의 발생하지 않았다(Kim & Kim, 2018). 면적에서도 ACF(W)는 -1.67%의 수축률로 가장 작은 변화를 보였으며, 전체적으로 안정적인 치수 성능을 나타냈다. 뒤틀림 분석 결과에서는 ACB가 경사 방향 수축의 영향으로 가장 큰 뒤틀림을 보였고, ACF(W)와 ACF(N)은 비교적 균형 잡힌 구조를 유지함으로써 뒤틀림이 적게 나타났다. 결론적으로, 모든 시료는 세탁 6회 기준에서 수축률 6% 미만, 뒤틀림 3% 미만을 만족하였으며, 그 중 ACF(W)가 세탁내구성이 가장 좋게 나타났다. 부직포 구조를 가진 ACB와 ACF(N) 사이에서 차이가 관찰되었는데, 이는 활성탄소의 형태에 기인한 것으로 보인다. ACF(N)의 경우, 섬유형 활성탄소가 니트 구조를 이루고 있어 초기 세탁 및 건조 과정에서 더 큰 수축이 발생했으며, 이러한 경향은 세탁 전후의 현미경 이미지에서도 부직포층의 수축으로 확인되었다.
Dimensional stability of CBRN protective clothing materials after repeated washing: (a)Warp, (b)Weft, (c)Area change, (d)Skewness.
세탁 횟수를 10회 이상으로 늘려 관찰한 결과, 경사 및 위사 방향 모두에서 수축률이 증가하는 양상이 나타났다. 특히 ACF(N)의 면적 변화는 세탁 10회 시점에서 -3.97%까지 감소하였으며, 이는 ACF(W)보다 더 큰 수축 폭이다. 현미경 관찰 결과에서도 ACF(N)의 내피 레이어에서 직물 구조의 수축이 확인되었으며, 이는 반복 세탁에 따라 섬유 내부 구조에 변화가 발생하고 있음을 시사한다. 이러한 구조 변화는 세탁 횟수가 일정 수준을 초과하면 수축 속도가 가속화될 수 있음을 보여준다.
세탁 30회까지의 면적 변화를 분석한 결과, ACB는 세탁 10회 이후에도 수축률이 -2.32%로 유지되며, 전체 세탁 기간 동안 구조적 안정성을 유지하였다. 반면, ACF(W)와 ACF(N)은 세탁 30회까지 지속적으로 수축이 누적되어 각각 최대 -4.94%의 면적 감소가 나타났으나, 여전히 수축률 6% 미만의 기준을 만족하였다. 이러한 차이는 활성탄소의 형태와 내피층의 직물 구조 특성에서 기인한 것으로 보인다. ACB는 구슬형 활성탄소를 접착한 방식으로 구성되어 구조적으로 견고하며, 반복 세탁 후에도 형태 변화가 적었다. 반면, ACF(W)와 ACF(N)은 니트 구조의 섬유형 활성탄소를 사용한 다층 구조로 이루어져 있으며, 이러한 니트 구조는 신축성이 크고 세탁에 의한 형태 변화에 취약해 수축이 더 쉽게 발생한 것으로 분석된다(Kim, 2009).
세탁 30회까지의 데이터를 종합적으로 분석한 결과, 모든 시료가 여전히 기준(수축 6% 및 뒤틀림 3% 미만)을 충족하여 세탁 30회까지 보호의 사용이 가능한 것으로 판단된다. 다만, 부직포 구조와 니트 구조의 섬유형 활성탄소는 치수안정성 측면에서 상대적으로 취약함이 확인되었으며, 이는 세탁 과정에서 발생하는 반복적인 변형과 장력에 의해 공극 구조가 쉽게 변형되기 때문으로 보인다. 따라서 내피설계 시 치수안정성을 확보하기 위해 이러한 구조적 특성을 고려한 직물 조합의 개선이 필요하다.
군용 제품의 위장 패턴 특성상 색상 변화는 중요한 요소이므로, 본 연구에서는 시료 외피를 대상으로 세탁 횟수에 따른 염색견뢰도를 분석하였다(Fig. 4). 변퇴색 등급은 ACF(W)와 ACF(N)의 외피가 동일한 시료를 구성되어 있어, 두 시료의 외피에 대한 염색견뢰도 결과를 평균내어 평가에 활용하였다. 이염 등급은 외피와 내피가 결합된 상태에서 측정하였다.
Colorfastness of CBRN protective clothing materials after repeated washing: (a)Fading grade of ACB, (b)Fading grade of ACF, (c)Staining grade on acrylic, (d)Staining grade on cotton, (e)Staining grade on wool.
세탁 6회까지는 ACB가 우수한 염색견뢰도를 보이며 대부분 4.5등급 이상을 유지한 반면, ACF는 초기 세탁부터 변퇴색 기준(△E < 2.95, 3.5등급)을 초과하였다. 이는 염색 고착이 불안정했거나 세탁 조건에 의해 염료 이탈이 발생했기 때문으로 분석된다(Jeong & Cheon, 2013; Kim, 2019). 이염 등급에서는 모든 시료가 4.5~5등급을 유지하여, 판정기준이 되는 등급(△E < 6.40, 3.5등급)을 모두 상회하였다.
세탁 10회 이후 ACB 또한 변퇴색 기준을 초과하며 색 변화가 급격히 증가했으며, 특히 그레이 색상에서 변화 폭이 두드러졌다. ACF는 블랙, 브라운, 그린 색상에서 더 큰 색 변화가 나타났으며, 이는 특정 색상에서 염료의 내구성이 낮거나 염색 공정이 불안정하여, 염색층의 물리화학적 안정성이 떨어졌기 때문으로 생각된다. 이염 등급을 살펴본 결과, 울 시료는 염료 흡착 특성으로 인해 이염 등급에 약간의 차이를 보였으나, 모든 시료의 △E값은 기준 미만으로 심각한 이염은 나타나지 않았다(Kim, 2019).
따라서 색과 관련된 특성에 있어, ACB는 최대 10회까지 사용할 수 있으며, ACF는 세탁 1회부터 기준을 초과하여 장기간 사용이 어렵다고 판단된다. ACB는 상용 제품을 이용하여 실험을 진행하여 안정성을 보인 반면, ACF 시료는 시제품으로 염색 고착 및 공정 안정화가 부족하여 개선이 필요한 것으로 생각된다.
쾌적성과 관련된 중요 요소인 공기투과도에 대해 세탁 30회 반복에 따른 성능 변화를 분석하였다(Fig. 5). 세탁 전에는 두께가 얇은 ACF(N)이 가장 높은 공기투과도를 보였으며, 이는 시료의 두께 차이에 따른 결과로 분석된다. 세탁 6회까지의 공기투과도는 ACB(2.05 cm3/cm2/s), ACF(N)(2.06 cm3/cm2/s), ACF(W)(2.07 cm3/cm2/s)로 거의 유사한 수준을 보였으나, 세탁 전 공기투과도 결과 대비 전체적으로 감소하는 경향을 나타냈다. 이는 세탁 및 건조 과정에서 발생하는 기계적 자극이 섬유 간의 장력을 유발하여 수축을 초래하고, 이로 인해 부직포 및 직물 구조가 변형되면서 공기 흐름에 영향을 미친 것으로 판단된다(Baji et al., 2020). 세탁 6회 이후부터 시료 간 공기투과도 차이가 확대되었다. ACB는 부직포 구조 특성상 세탁 중 섬유 배열이 흐트러지거나 기공이 막혀 공기 흐름이 제한되어, 가장 큰 공기투과도 감소를 나타내었다(Kim, 2009). 이러한 변화는 Table 6의 현미경 이미지에서도 확인되며, 반복 세탁에 따라 섬유들이 뭉치거나 압착되어 내부 기공이 차단되는 구조적 변형이 발생한 것으로 관찰되었다(Bajaj & Kothari, 1992). 반면 ACF(N)은 동일한 부직포 구조임에도 ACB보다 높은 투과도를 유지하였는데, 이는 내피층에 적용된 활성탄소 형태 차이에 기인한 것으로 생각된다. 섬유형 활성탄소는 균일한 기공 분포와 넓은 표면적을 갖고 있어, 공기 흐름을 보다 원활하게 유지할 수 있는 구조를 제공함으로써 공기투과도 유지에 긍정적인 영향을 미친 것으로 보인다(Sukumar et al., 2022). 직물 구조를 가진 ACF(W)는 세탁 후에도 가장 높은 공기투과도를 나타냈다. 이는 섬유가 일정한 패턴으로 직조되어 있어 조직의 안정성이 높고, 반복 세탁에도 내부 기공이 유지되어 있기 때문이다(Kim, 2009). ACF(W)는 세탁 20회까지 안정적인 공기투과도를 유지했으나, 세탁 30회 시점에는 구조적 수축으로 인해 다소 감소하는 양상을 보였다. 이는 직물 구조가 초기 반복 세탁에는 강했으나 누적된 세탁 횟수에 따라 내부 구조가 점차 압착 및 수축된 결과로 해석된다. ACF(N)은 세탁 10회 이후부터 점진적인 감소를 보였지만, 세탁 30회 기준으로는 세 시료 중 가장 높은 공기투과도(1.93 cm3/cm2/s)를 유지하였다.
세 시료 모두 세탁 30회 후에도 미군 규격 기준(1.14 cm3/cm2/s)을 충족했으며, 세탁 1회 직후 동일한 초기 감소를 경험한 이후, 반복 세탁에 따라 시료 간 성능 격차가 증가하였다. ACF(W)는 세탁 20회까지 가장 안정적인 공기투과도를 유지한 점을 고려하면, 세탁 후에도 높은 공기투과도를 유지하기 위해 조직 안정성이 높은 직물 구조와 균일한 기공 분포를 갖는 섬유형 활성탄소를 적용한 소재를 선택하는 것이 유리하다. 반면, 구슬형 활성탄소는 입자가 접착된 형태라 세탁 과정에서 배열이 쉽게 흐트러지고 기공이 막히면서 공기투과도 저하가 상대적으로 크게 발생하는 한계가 있다. 특히 변형이 큰 부직포 구조와 결합될 경우 반복 세탁에 취약하여, 장기적 내구성 확보를 위한 보완이 필요할 것으로 판단된다.
투습도에 대한 명확한 미군 규격 기준이 없으므로, 의복의 최소 요구 투습도 기준(≥ 208.33 g/m2h)을 참고하여 평가를 진행하였으며, 관련 결과는 Fig. 6에 제시하였다. 또한 직물이 흡수하는 수분량이 투습도 측정에 영향을 미칠 수 있음을 고려하여, 실험 전과 24시간 후의 직물 무게를 비교해 식 (8)과 같이 수분함량 변화율을 계산하여 함께 분석하였다.
Changes in moisture vapor transmission characteristics of CBRN protective clothing materials after repeated washing: (a)Moisture vapor transmission rate after 1 hour, (b)Moisture vapor transmission rate after 24 hours, (c)Moisture content change rate.
세탁 전 ACF(N)은 가장 높은 투습도와 수분 흡수율을 보였으며, ACF(W)와 ACB가 그 뒤를 이었다. 또한 수분함량 변화율이 클수록 1시간과 24시간 후 투습량 차이가 크게 나타났으며, 특히 ACF는 외피와 내피가 밀착되어 있지 않아 두 층 사이에 공간이 형성되면서 수분이 잔류하여 투습량 변동이 큰 것으로 생각된다.
세탁 1회 후 모든 시료의 투습도는 급격히 감소하였으며, 의복 기준(≥208.33 g/m2h)을 모두 충족하지 못하였다. 하지만 세탁 6회 이후에는 수분함량 변화율이 점차 감소하고 직물의 수분 보유력이 저하되면서 투습도가 다시 증가하는 경향을 보였다. 이는 반복된 세탁으로 인해 직물의 섬유 배열이 변화되고 기공이 약화되면서, 수분의 체류 시간과 분포가 달라져 투습 흐름이 원활해진 결과로 해석된다. 직물 내 수분의 전이는 흡수, 확산, 증발 등 다양한 과정의 상호작용에 의해 결정되며, 이때 수축 및 뒤틀림과 같은 섬유 구조의 변화가 수분 이동 특성에 중요한 영향을 미친다(Das et al., 2007). 또한 직물의 물리적 특성 역시 투습도에 영향을 미친 것으로 생각된다. 직물이 두꺼울수록 수분을 머금는 양이 많아 체류 시간이 길어지며, 혼용률에 따라 수분율이 달라진다. 더불어 조직 구조에 따른 섬유 배열의 차이 역시 수분 이동 경로에 변화를 일으켜 투습도 변화의 원인이 된 것으로 판단된다(Bivainytė & Mikučionienė, 2011).
세탁 6회까지의 투습도는 ACB < ACF(W) < ACF(N) 순으로 나타났으며, ACF 시료는 ACB보다 높은 투습 성능과 세탁내구성을 보였다. 세탁 10회 후에는 모든 시료에서 투습도가 증가하는 경향을 보였고, 특히 ACF(N)은 세탁 횟수에 따른 투습도 변화 폭이 가장 작아 구조적 안정성이 높은 것으로 판단된다. 이는 섬유형 활성탄소가 적용된 ACF(N)의 균일한 기공 구조가 수분의 분산과 배출을 보다 안정적으로 유도한 결과로 판단된다.
세탁 30회 후에도 ACF(N)은 가장 높은 투습도를 유지하였으며, 변화 폭 또한 가장 작아 안정적인 성능을 보였다. 이는 부직포 구조의 일반적인 한계뿐만 아니라 적용된 활성탄소의 형태 차이에 기인한 것으로 판단된다. 부직포 구조는 세탁 과정에서 구조적 변형이 쉽게 발생하여 기공이 막히는 경향이 있으나, 섬유형 활성탄소를 적용한 ACF(N)은 연속적인 섬유 구조와 균일한 기공 분포 덕분에 이러한 손상이 상대적으로 적어 가장 높은 투습도를 유지할 수 있었다. 반면, 구슬형 활성탄소를 적용한 ACB는 입자가 접착한 형태로 구성되어 반복 세탁 시 배열 붕괴와 입자 탈락이 발생하기 쉬워, 투습 성능 저하가 더욱 크게 나타난 것으로 해석된다. 결과적으로 같은 부직포 구조라도 구슬 형태의 ACB는 반복 세탁으로 인해 구조 손상이 누적되며 투습 성능이 더 크게 저하된 것으로 분석된다. 이러한 결과는 앞선 치수안정성 및 공기투과도와 밀접한 관련이 있다. 일반적으로 공기 흐름에 대한 저항이 적을수록 수분 증발 및 이동도 더 원활하게 이루어지기 때문에, 공기투과도가 높은 직물은 투습도 역시 높은 경향을 보인다(Hoblová, 2020). 따라서 ACF 시료가 공기투과도와 투습도 모두에서 ACB에 비해 높은 성능을 나타냈다. 전체적으로 모든 시료가 의복의 최소 요구 투습도 기준에는 미치지 못했지만, ACF 시료가 상대적으로 기준에 근접한 수치를 보여 보호의 착용 시 쾌적성 측면에서 더 적합한 것으로 판단된다.
| (8) |
W0: Initial weight (g) Wt: Weight after 24 hours (g)
화생방 보호의에서 핵심적인 요소인 방호에 대해 세탁 30회에 따른 성능 변화를 정량적으로 평가하여 Fig. 7에 나타내었다. 세탁 전 기준으로 평량당 흡착량과 파과시간 모두 ACB < ACF(N) < ACF(W) 순으로 우수한 성능을 보였다. 화생방 보호의의 방호 성능은 반복 세탁에 따라 시료 간 차이가 뚜렷하게 나타났다. 평량당 흡착량에 있어 세탁 1회 후에는 모든 시료에서 성능 변화가 급격히 발생하였지만, 세탁 6회까지 모든 시료가 평량당 흡착량 기준(≥10 mg/g)을 충족하였다. 이 중 ACF(W)가 가장 높은 흡착량과 긴 파과시간을 유지해 가장 우수한 성능을 보였다. 이는 내피층에 적용된 섬유형 활성탄소와 직물 구조의 결합으로 유해 물질을 효과적으로 흡착하고 구조적 안정성을 유지할 수 있었기 때문이다. 섬유형 활성탄소는 구슬형에 비해 기공이 표면에 집중되어 흡착 능력이 높고, 직물 구조는 반복 세탁 후에도 안정적인 배열을 유지해 성능 저하가 적다(Cui et al., 2011; Kwon & Jeong, 2024). 이로 인해 섬유형 활성탄소 기반의 ACF(W)와 ACF(N)은 ACB보다 우수한 방호 성능을 나타냈으며, 특히 ACF(W)는 가장 높은 흡착량과 긴 파과시간을 유지하였다.
Protective performance of CBRN protective clothing materials after repeated washing: (a)Adsorption capacity per unit mass, (b)Breakthrough time.
세탁 10회 이후부터는 시료 간 성능 차이가 더욱 분명해졌다. ACB는 세탁 10회에서 흡착량이 28.42 mg/g, 파과시간이 30분 미만으로 급격히 감소했으며, 세탁 20회 이후에는 흡착량이 기준 미만으로 떨어지고 파과시간도 10분 이하로 감소해 방호 성능이 크게 저하되었다. 반면, ACF(W)와 ACF(N)은 세탁 이후에도 비교적 일정한 성능을 유지하였다. 특히 ACF(W)는 섬유형 활성탄소와 직물 구조가 조밀하게 결합된 내피층을 구성하고 있어 흡착 표면적이 넓고, 반복 세탁 후에도 성능을 회복하거나 유지하는 데 유리한 구조적 특성을 지닌 것으로 나타났다(Kwon & Jeong, 2024). 한편, ACF(N)은 ACB와 동일한 부직포 구조지만, 활성탄소의 형태 차이로 인해 ACB보다 방호 성능이 우수하였다. ACF의 경우 10회에서 성능이 다시 좋게 나타나는데, 이는 ACF가 개발 과정의 시제품으로 반복 세탁 중 섬유 간 발생한 물리화학적 변화에 대해 소재 구조가 아직 완전히 안정화되지 않아 나타난 특성 반응으로 해석된다.
세탁 30회 결과, ACF(W)는 81.22 mg/g, ACF(N)은 80.69 mg/g의 평량당 흡착량을 나타내어 기준을 충족하였고, 파과시간 또한 일정 수준을 유지하였다. 반면, ACB는 평량당 흡착량과 파과시간이 각각 4 mg/g 수준 및 4분 이하로 감소해 방호 기능을 상실한 것으로 판단되었다.
전반적으로 ACB < ACF(N) < ACF(W) 순으로 방호 성능이 우수하였으며, 섬유형 활성탄소는 구슬형에 비해 흡착 용량과 물질 전달 속도에서 유리하여 장기간 사용 시에도 안정적인 성능을 제공할 수 있는 것으로 분석된다. 따라서 ACB는 세탁 10~20회 이후 보호의로서의 사용이 제한될 수 있으며, ACF(W)와 ACF(N)은 세탁 30회 이후에도 충분한 방호 성능을 유지하여 장기적인 착용에 적합한 소재로 생각된다. 이 중 직물 구조를 적용한 ACF(W)는 가장 높은 흡착 성능과 구조적 안정성을 보여, 세탁 후에도 성능 유지 면에서 특히 우수한 것으로 확인되었다.
3.2. 활성탄소 형태 및 직물 구조에 따른 화생방보호의의 세탁 내구성
반복 세탁이 화생방보호의의 성능에 미치는 영향을 중심으로, 세탁내구성의 변화를 분석하여 Fig. 8에 나타내었다. 각 항목별로 요구되는 최소 성능 기준을 도표 상 ‘3’에 해당하도록 설정하였으며, 이를 기준으로 세탁 후 성능 변화가 기준을 충족하는지를 살펴보았다. 치수안정성 및 염색견뢰도의 경우 세탁 전의 값이 없기 때문에 모두 5점으로 시작하였다.
Performance changes by evaluation item after repeated washing: (a)Before washing, (b)After 1 cycle, (c)After 6 cycles, (d)After 10 cycles, (e)After 20 cycles, (f)After 30 cycles.
세탁 1회 후, 염색견뢰도와 투습도를 제외한 대부분의 항목에서 세 시료 모두 큰 성능 변화 없이 기준을 충족하였다. ACB는 염색견뢰도에서 상대적으로 우수한 성능을 보였지만, ACF(W)와 ACF(N)은 세탁 1회만으로 기준을 초과하며 성능 저하가 확인되었다. 투습도의 경우, 모든 시료가 기준을 충족하지 못했으며 특히 ACB의 성능 저하가 두드러졌다.
미군 규격에서 요구되는 세탁 횟수인 6회 후에는 ACF(W)가 치수안정성, 공기투과도, 방호성능에서 안정적인 성능을 보였으며, 특히 착용 쾌적성과 밀접한 공기투과도에서 우수한 특성을 나타냈다. ACB는 치수안정성과 염색견뢰도에서 강점을 보였으나, 투습도와 방호성능에서 상대적으로 낮은 수치를 보였다. ACF(W)와 ACF(N)은 전반적으로 안정적인 성능을 유지하였다.
세탁 10회와 20회 후에도 ACB는 치수안정성에서 가장 높은 값을 유지하며 구조적 변형이 적은 것으로 나타났다. 그러나 방호성능에서는 ACB의 성능 저하가 뚜렷하게 나타나 세탁 20회 시점에서 보호의에 요구되는 기준 이하로 감소하였다. ACF(W)는 공기투과도와 방호성능에서 가장 우수한 값을 보였으며, ACF(N)도 일정한 성능을 유지하였다. 투습도는 모든 시료에서 기준에 미치지 못했지만, ACF(W)와 ACF(N)은 비교적 일정한 값을 유지하였다.
세탁 30회 후, ACF(W)와 ACF(N)은 전 항목에서 균형 잡힌 성능을 유지하였으며, 특히 공기투과도와 방호성능에서 우수한 특성을 보였다. ACB는 치수안정성에서는 강점을 보였으나, 투습도와 방호성능에서는 성능 저하가 두드러졌다.
종합적으로, 반복 세탁 후 방호 성능 유지에는 직물 구조, 활성탄 형태가 큰 영향을 미치는 것으로 분석되었다. ACB는 부직포 구조로 인해 내부 섬유가 압착되며 투습도와 공기투과도가 저하되었고, 구슬형 활성탄의 탈락으로 방호 성능이 빠르게 떨어졌다. 반면, 직물 구조의 ACF(W)는 세탁 후에도 조직이 안정적으로 유지되며 성능 저하가 적었고, 섬유형 활성탄은 구조 내부에 고정되어 있어 지속적인 방호 성능을 유지하는 것으로 나타났다. 분석 결과를 바탕으로, ACB는 방호 성능이 저하된 시점인 세탁 20회까지의 사용이 가능할 것으로 판단되며, ACF(W)와 ACF(N)은 세탁 30회 이후에도 안정적인 성능을 유지할 수 있어 보다 장기적인 사용이 가능할 것으로 예상된다. 따라서 직물 구조와 섬유형 활성탄소를 적용하는 것이 세탁 내구성과 방호 성능을 동시에 확보하는 데 유리한 선택으로 판단된다.
4. 결 론
화생방 보호의는 사용과정에서 반복 세탁에 따른 성능 저하가 착용자의 생명에 직결될 수 있어, 초기 성능뿐만 아니라 세탁 후 성능 유지 여부가 중요하다. 본 연구는 내피소재의 활성탄소 형태와 직물 구조에 따라 화생방 보호의의 치수안정성, 염색견뢰도, 공기투과도, 투습도, 방호성능에 대한 세탁내구성 변화를 분석함으로써, 보호의의 안정성과 기대수명을 파악하고자 하였다. 치수안정성 평가에서는 시료가 세탁 30회까지 기준을 충족하였으며, 치수안정성에서 기인한 구조적 안정성으로 인해 공기투과도 또한 세탁 30회까지 모든 시료가 기준을 충족하였다. 두 가지 특성에서는 직물구조로 된 ACF(W)가 부직포 구조를 가진 ACB와 ACF(N) 보다 안정적인 수치를 나타내어, 직물구조의 역할이 큰 평가항목임을 확인할 수 있었다. 염색견뢰도에 대한 세탁내구성에 있어, 이염관련 부분은 모두 30회 후 기준을 만족하였지만, 변퇴색에 있어서는 ACB는 세탁 6회까지 기준을 만족한 반면, ACF(W)와 ACF(N)은 시제품 특성상 세탁 1회부터 변퇴색 등급 기준을 초과하였다. 투습도 평가에서는 세 시료 모두 최소 의복 기준에 미치지 못했지만, ACF(W)와 ACF(N)은 ACB보다 기준에 근접한 값을 유지하였는데, 이는 활성탄소의 형태와 내피의 직물구조, 수분함량 변화율의 변화가 영향을 준 것으로 생각된다. 방호 성능에 있어 섬유형 활성탄소를 적용한 ACF(W)와 ACF(N)은 반복 세탁 30회 후에도 평량당 흡착량과 파과시간 기준을 안정적으로 충족하며 장기간 사용에 적합한 내구성을 보인 반면, 구슬형 활성탄소를 사용한 ACB는 세탁 10회 이후부터 성능이 급격히 저하되었고, 세탁 20회 이후에는 방호 기능이 기준 미만으로 떨어져 사용이 어려운 수준으로 확인되었다. ACF(W)는 직물 구조의 조밀한 섬유 배치와 두께로 인해 가장 우수한 방호성능 유지력을 나타낸 것으로 생각된다. 결론적으로, 세 가지 시료 모두 세탁 10회 이상부터 성능 저하가 나타났으며, 반복 세탁으로 인한 내구성은 구슬형 활성탄소보다 섬유형 활성탄소가 성능을 더 유지하였다. 따라서 화생방 보호의의 기대 수명과 실사용 안정성을 확보하기 위해서는 섬유형 활성탄소와 직물 구조 기반 내피 소재의 활용이 바람직하며, 이는 보호의의 세탁 내구성을 향상시켜 장기적인 실효성을 높이는 데 기여할 수 있을 것으로 생각된다. 미군 규격을 활용한 본 연구 결과는 향후 한국 군 및 민방위 체계에서 적용 가능한 기준 마련과 표준 개발의 기초 자료로 활용될 수 있을 것으로 기대된다.
Acknowledgments
본 연구는 2023년도 ㈜SG생활안전의 지원을 받아 수행된 연구임(No. 2-2023-1668-001-1).
References
- American Association of Textile Chemists and Colorists. (2018). Dimensional changes of fabrics after home laundering (AATCC 135). American Association of Textile Chemists and Colorists. Retrieved from https://members.aatcc.org/store/tm135/543/
- American Association of Textile Chemists and Colorists. (2019). Skewness change in fabric and garments after laundering (AATCC 179). American Association of Textile Chemists and Colorists. Retrieved from https://members.aatcc.org/store/tm179/577/
- American Testing and Materials Organization. (2018). Standard test method for air permeability of textile fabrics (ASTM D737-18). ASTM International. Retrieved from https://www.astm.org/d0737-18.html
- Bajaj, P., & Kothari, V. K. (1992). Thermal properties of fabrics. Textile Progress, 22(2), 1-46.
-
Baji, A., Agarwal, K., & Oopath, S. V. (2020). Emerging developments in the use of electrospun fibers and membranes for protective clothing applications. Polymers, 12(2), 492.
[https://doi.org/10.3390/polym12020492]
-
Bansal, R. C., & Goyal, M. (2005). Activated carbon adsorption. Boca Raton, FL: CRC Press.
[https://doi.org/10.1201/9781420028812]
-
Bivainytė, A., & Mikučionienė, D. (2011). Investigation on the air and water vapour permeability of double-layered weft knitted fabrics. Fibres and Textiles in Eastern Europe., 19(3), 69-73.
[https://doi.org/10.5755/j01.ms.18.3.2438]
-
Cui, X. Y., Jia, F., Chen, Y. X., & Gan, J. (2011). Influence of single-walled carbon nanotubes on microbial availability of phenanthrene in sediment. Ecotoxicology, 20, 1277-1285.
[https://doi.org/10.1007/s10646-011-0684-3]
-
Das, B., Das, A., Kothari, V. K., Fanguiero, R., & Araujo, M. D. (2007). Moisture transmission through textiles. AUTEX Research Journal, 7(2), 100-110.
[https://doi.org/10.1515/aut-2007-070204]
-
Dhyani, H., Bharati, S., Thakare, V. B., Singh, V. V., Meher, D., & Boopathi, M. (2022). Technology trends and future opportunities in development of NBC protective clothing. Defence Life Science Journal, 7(2), 118-130.
[https://doi.org/10.14429/dlsj.7.17199]
-
Gorji, M., Mazinani, S., & Gharehaghaji, A. A. (2022). A review on emerging developments in thermal and moisture management by membrane-based clothing systems towards personal comfort. Journal of Applied Polymer Science, 139(27), e52416.
[https://doi.org/10.1002/app.52416]
-
Hassan, M. F., Sabri, M. A., Fazal, H., Hafeez, A., Shezad, N., & Hussain, M. (2020). Recent trends in activated carbon fibers production from various precursors and applications—A comparative review. Journal of Analytical and Applied Pyrolysis, 145, 104715.
[https://doi.org/10.1016/j.jaap.2019.104715]
- Havlová, M. (2020). Air permeability, water vapour permeability and selected structural parameters of woven fabrics. Fibres and Textiles, 27(1), 12-18.
-
Hong, S., Kim, B., Jang, Y., & Lee, J. (2016). A study on color reliability of new combat uniform fabrics through quantitative analysis of the color and color fastness to washing. Journal of the Korean Society of Clothing and Textiles, 40(3), 456-464.
[https://doi.org/10.5850/JKSCT.2016.40.3.456]
- International Organization for Standardization. (1996). Textiles—Tests for colour fastness—Part A05: Instrumental assessment of change in colour for determination of grey scale rating (ISO 105-A05). International Organization for Standardization. Retrieved from https://www.iso.org/standard/3789.html
- International Organization for Standardization. (2011). Textiles—Preparation, marking and measuring of fabric specimens and garments in tests for determination of dimensional change (ISO 3759). International Organization for Standardization. Retrieved from https://www.iso.org/standard/57309.html
- International Organization for Standardization. (2019). Textiles—Tests for colour fastness—Part A03: Grey scale for assessing staining (ISO 105-A03). International Organization for Standardization. Retrieved from https://www.iso.org/standard/3789.html
-
Jeong, D., & Cheon, T. (2013). Color fastness of polylactic acid fibers to Vat dyes. Journal of the Korean Society of Dyers and Finishers, 25(1), 75-81.
[https://doi.org/10.5764/TCF.2013.25.1.75]
-
Kang, J. S., Seo, H. K., Park, H. B., Ryu, S. G., & Park, S. H. (2012). A study on the design concept for NBC clothing. Journal of the Korea Institute of Military Science and Technology, 15(2), 193-200.
[https://doi.org/10.9766/KIMST.2012.15.2.193]
-
Kim, J. (2019). A study on the change in physical properties of combat uniform fabrics after repeated washing. Journal of the Korea Academia-Industrial cooperation Society, 20(10), 366-373.
[https://doi.org/10.5762/KAIS.2019.20.10.366]
- Kim, S. (2009). Clothing materials (3rd rev. ed.). Seoul: Kyomunsa.
-
Kim, S. J., & Kim, H. A. (2018). Effect of fabric structural parameters and weaving conditions to warp tension of aramid fabrics for protective garments. Textile Research Journal, 88(9), 987-1001.
[https://doi.org/10.1177/0040517517693981]
- Ko, J., & Park, P. (2010). Experimental study on the fire hazard of chemical protective clothing and the estimation of breakthrough time through chemical penetration test. Journal of the Korean Institute of Fire Science and Engineering, 24(2), 21-30.
- Korean Industrial Standards. (2021). Standard adjacent fabrics for colour fastness test (KS K 0905). Korean Agency for Technology and Standards. Retrieved from https://e-ks.kr/streamdocs/view/sd;streamdocsId=72059219230615174
-
Kwon, W., & Jeong, E. (2024). Adsorptive removal of nerve gas via activated carbon fiber: Precursor and fabric structure effects. Materials Chemistry and Physics, 323, 129651.
[https://doi.org/10.1016/j.matchemphys.2024.129651]
-
Schreuder-Gibson, H. L., Truong, Q., Walker, J. E., Owens, J. R., Wander, J. D., & Jones Jr, W. E. (2003). Chemical and biological protection and detection in fabrics for protective clothing. Mrs Bulletin, 28(8), 574-578.
[https://doi.org/10.1557/mrs2003.168]
-
Sharma, P. K., Singh, V. V., Tripathi, N. K., Sathe, M., Verma, V., Sharma, S. P., Tomar, L. N. S., Chaturvedi, A., Yadav, S. S., Thakare, V. B., Acharya, J., Gupta, A. K., & Ganesan, K. (2019). Chemical protection studies of activated carbon spheres based permeable protective clothing against sulfur mustard, a chemical warfare agent. Defence Science Journal, 69(6), 577-584.
[https://doi.org/10.14429/dsj.69.13958]
-
Sukumar, N., Gananvel, P., Dharmalingam, R., & Aruna, S. (2022). Development of chemical protective clothing using multilayer fabric for hazardous chemicals handling. Journal of Natural Fibers, 19(4), 1265-1280.
[https://doi.org/10.1080/15440478.2020.1764450]
- U.S. Department of Defense. (2002). Joint service lightweight integrated suit technology (JSLIST) coat and trouser, chemical protective (MIL-DTL-32102). U.S. Department of Defense. Retrieved from https://quicksearch.dla.mil/qsDocDetails.aspx?ident_number=211488
- U.S. Department of Defense. (2011). Cloth, Camouflage Pattern: cotton and nylon (MIL DTL 44031). U.S. Department of Defense. Retrieved from https://quicksearch.dla.mil/qsDocDetails.aspx?ident_number=24109


