
폐기되는 표고버섯 핀 추출물을 이용한 혼합염색 효과: 염색성과 기능성을 중심으로
©2024 The Korean Fashion and Textile Research Journal(KFTRJ). This is an open access journal. Articles are distributed under the terms of the Creative 52 Commons Attribution Non-Commercial License (http://creativecommons.org/licenses/by-nc/4.0), which permits unrestricted use, distribution, and reproduction in any medium, provided the original work is properly cited.
Abstract
This study examined the dyeability and functionality of silk fabrics dyed using shiitake mushroom pins discarded in large quantities on mushroom farms. FT-IR and UV-Vis spectral analyses showed that polyphenols and flavonoids were present in the hot-water extract of shiitake mushroom pins. Optimal dyeing conditions for silk fabrics were a dye concentration of 50% (v/v), dyeing temperature of 80°C, dyeing time of 60 minutes, and dyebath pH of 5.3. The post-mordant method showed a greater effect on the increase in dye uptake and color change than the pre-mordant method. Unmordanted fabrics appeared as a YR Munsell color. Except for the Cu-mordant, all post-mordanted fabrics produced a Y Munsell color. The FE-SEM/EDX analysis confirmed that the natural iron solution and mud contained various metal ions. The Fe component was found to have the greatest effect on the dye uptake and color properties. The colorfastness of the unmordanted fabrics to washing, dry cleaning, rubbing, and perspiration was excellent (above grade 4), whereas light was grade 3–4. In the case of post-mordanted fabrics with a natural iron solution, the colorfastness to washing, wet rubbing, and light improved by 0.5 grades. For post-mordanted fabrics with mud, the colorfastness to light and sweat improved by 0.5 grades. The bacterial reduction rate for staphylococcus aureus in fabrics dyed with shiitake mushroom pin extract was excellent at over 99.9%, the bacterial reduction rate for klebsiella pneumoniae was 98.1%, and the deodorization rate was excellent at 90%. These results indicate that shiitake mushroom pins can be used as a sustainable, functional natural dye.
Keywords:
shiitake mushroom pins, mixed dyeing, natural iron solution, mud, antimicrobial and deodorizing properties키워드:
표고버섯 핀, 혼합염색, 철장액, 머드, 항균소취성1. 서 론
섬유패션산업이 환경에 미치는 영향은 매우 크며 특히 패션소재는 인체에 직간접적으로 접촉되므로 인체친화적 소재에 대한 소비자의 욕구는 계속 증가하고 있다(Eom, 2022; Kim & Lee, 2019). 최근 체감되는 기후변화와 환경오염에 대한 경각심으로 인류의 지속가능성이 함께 대두되면서 항균, 항산화, 항바이러스 등의 기능성을 지닌 친환경 소재개발 연구의 필요성 또한 점증하고 있다(Cheon & Kim, 2020; Choe, 2022). 자연에서 얻은 염료를 사용하는 천연염색은 스트레스가 많은 현대인에게 심리적 안정감을 주는 색채를 부여하면서 염재에 따라 다양한 약리 활성을 지니므로(Yang & Park, 2023; Yi et al., 2022; Zhou et al., 2022) 친환경 신소재의 지속적인 연구개발에 매우 중요한 역할을 차지한다. 특히 농업 부산물이나 식품 폐기물 등의 폐기되는 바이오매스를 염재로 사용하는 경우에는 생분해성 부여, 환경오염 감소, 리싸이클 등의 측면에서 친환경 신소재로의 부가가치를 높일 수 있으므로 이에 관한 연구들이 더욱 필요한 시기이다.
버섯 중 표고버섯(shiitake, Lentinus edodes)은 각종 아미노산, 비타민 성분이 풍부하면서 지방함량이 낮아 세계적으로 많이 소비되는 식품이다(Han et al., 2015). 레티난(lentinan), 에리타데닌(eritadenine), 폴리페놀(polyphenol), 플라보노이드(flavonoid) 등과 같은 다양한 생리활성 물질을 포함하고 있어 항암, 혈압 강하, 항산화, 항균, 항바이러스 등의 효과가 크므로 아시아지역에서는 약용으로도 많이 이용된다(Jang et al., 2015; Kitzberger et al., 2007; Morales et al., 2020). 또한 맛과 향이 우수하여 건강식품 소재로도 널리 이용되고 있다(Hyun et al., 2014; Kim, 2017). 최근에는 표고버섯 분말 대신 표고버섯 물 추출물을 첨가한 식품의 이화학적 특성과 관능적 특성을 검토하여 표고버섯 물 추출물을 이용한 생리활성을 지닌 식품개발 연구들이 보고되고 있다(Jung et al., 2019; Kong et al., 2019; Lee et al., 2021). 천연염색 또한 표고버섯 물 추출물을 염액으로 사용하므로 염색한 직물에 항균성 등의 기능성을 충분히 부여할 수 있을 것이다. 표고버섯 관련 연구로는 현재까지 약재나 식품첨가물에 관한 연구들만 보고 되어 왔으며 염재로 사용한 예는 아직 없으므로, 앞으로 표고버섯을 사용한 새로운 염재 발굴과 이의 활용 가능성을 검증하기 위한 연구가 필요하다.
표고버섯은 참나무 원목재배에서 봉지 톱밥재배로 전환되었으며(Koo et al., 2012), 톱밥재배 시 다량 발생하는 표고버섯핀(갓과 줄기 형태를 갖추기 전의 매우 작은 버섯으로, 버섯 눈이라고도 함)은 우량한 표고버섯 생산을 위해 솎아내는데(Park et. al., 2008), 표고버섯 핀 하부에 붙어 있는 톱밥배지의 제거에 고노동력이 요구되어 식용으로 사용하지 못하고 대부분 폐기되고 있다. 표고버섯 톱밥배지의 주된 원료인 참나무 껍질과 심재에는 탄닌성분이 함유되어 있으며(Lee, 2004; Ryu, 2007) 전통적으로 탄닌성분은 갈색계열의 염색에 사용되어 왔다(Cho, 2010). 즉, 솎아내는 표고버섯 핀에는 대부분 톱밥배지가 붙어 있으므로 배지를 분리하지 않고 열수 추출하여 두 염료를 혼합염색(mixed dyeing)하는 것은 표고버섯이 지닌 기능성을 의류소재에 적용할 수 있을 뿐만 아니라 참나무 톱밥배지의 염색성도 함께 이용할 수 있으므로 생장한 표고버섯 대신 폐기되는 표고버섯 핀의 사용은 바이오매스의 재활용 측면에서 매우 바람직한 연구라 할 수 있다.
최근 포스트 코로나 시대의 텍스타일 동향은 기존의 보건·의료용으로 활용되었던 소재의 항균성이 어패럴이나 홈인테리어 텍스타일 제품에 적극 활용되고 있는 추세로 생활 속 바이러스예방을 위한 항균 및 항바이러스 기능의 신소재가 크게 부각되고 있다(Choe, 2022). 미생물 증식에 따른 악취를 제거하는 소취성 또한 쾌적한 일상 생활을 유지하는데 텍스타일 소재가 갖추어야 할 중요한 성능이다. 이에 표고버섯이 지닌 다양한 기능성을 바탕으로 실제 표고버섯 핀 추출물로 염색한 직물의 항균성과 소취성을 평가하여 표고버섯 핀의 지속가능한 자연 유래 기능성 섬유가공제로의 활용 가능성을 살펴보는 것도 큰 의미가 있을 것이다.
이에 본 연구에서는 표고버섯 재배 농가에서 대량으로 폐기되는 표고버섯 핀을 천염염재로 사용하여 혼합염색 효과를 검토함으로써 지속가능한 기능성 천연염재의 발굴 및 이의 활용 가능성에 대한 기초자료를 제공하고자 한다. 이를 위해 추출물 색소 및 천연매염제의 성분을 분석하였으며, 염액농도, 염색온도와 시간, 염액 pH, 그리고 반복염색에 따른 처리 직물의 염착량과 표면색을 검토하여 최적 염색조건을 설정하였다. 최적 염색조건에서 천연 및 합성매염제 종류와 매염 방법에 따른 염착량과 색 특성을 검토한 후 염색견뢰도를 측정하여 실용성을 평가하였다. 또한 염색한 시료의 항균성과 소취성의 기능성을 살펴보았다.
2. 실 험
2.1. 시료 및 시약
염색에 사용한 시료는 발호 정련된 100% 견직물로 그 특성은 Table 1과 같다. 염재는 국내산 배지로 표고버섯을 재배하는 농가(대숲맑은표고, Damyang, Korea)에서 폐기되는 표고버섯 핀을 제공받아 건조기(FO-450M, JEIO TECH. CO., LTD, Korea)로 완전히 건조(50oC)하여 사용하였다. 표고버섯 핀 하부에 붙어 있는 톱밥배지 부분은 제거하지 않고 그대로 건조하였으며, 이에 본 연구에서의 ‘표고버섯 핀’은 소량의 참나무 톱밥배지가 함께 혼합된 상태를 의미한다.
매염제는 크게 합성매염제와 천연매염제를 사용하였다. 합성매염제는 황산알루미늄칼륨, 황산구리, 초산아연, 황산제1철, 그리고 산화티탄 옥살산칼륨 등 5종을 사용하였으며, 각 매염제의 약호와 구체적인 정보는 Table 2에 제시하였다. 천연매염제는 자연 숙성 방법으로 제조(Lee, 2004)한 철장액(natural iron solution)과 한국천연염색박물관(Naju. Korea)에서 구입한 머드(mud)를 사용하였다. 철장액은 증류수 1 L에 녹슨 못 300 g을 넣고 양조식초 100 mL를 잘 섞어 준 후 3주 후에 필터링하여 냉장 보관하며 사용하였다. pH 조절은 수산화나트륨(NaOH, Daejung chemicals & Metals Co., Ltd, Korea)과 아세트산(CH3COOH, Daejung chemicals & Metals Co., Ltd, Korea)으로 하였으며, 모두 1급 시약 그대로 사용하였다.
2.2. 염색 및 매염
완전히 건조된 표고버섯 핀 200 g에 액비 1:10으로 2 L의 증류수를 가하여 100oC에서 60분 동안 가열하여 색소를 추출하고 필터링하여 1차 추출액을 얻었다. 그리고 1차 추출 후 남은 잔사에 1 L의 증류수를 가하여 동일한 방법으로 추출 및 필터링하여 2차 추출액을 얻었다. 1차 추출액과 2차 추출액을 혼합하여 필터링한 후, 120±5rpm, 55oC 조건에서 1/4로 감압 농축하였고, 이를 염색 원액으로 사용하였다. 색소 추출액의 pH는 5.3이었고 감압 농축한 염액은 냉장 보관하며 사용하였다.
염색은 적외선 자동염색기(Infrared Rays Dyeing Machine, Model KSL-24, Korea Science Co. Ltd, Korea)를 사용하여 액비 1:40으로 실시하였으며 염액농도, 염색온도, 염색시간, 그리고 염욕의 pH를 달리하여 염색하였다. 염액농도는 5, 10, 20, 30, 40, 50, 60%(v/v), 염색온도는 40, 60, 80, 100oC, 염색시간은 20, 40, 60, 80분, 그리고 염욕의 pH는 3.5, 5.3 7.0 9.0, 11.0으로 변화를 주어 염색하였다. 모두 염색 후에는 흐르는 물에 충분히 수세하고 자연 건조하였다. 반복염색은 최적 염색조건에서 염색 및 수세 후 완전히 건조시키는 ‘염색-수세-건조’ 과정을 5회까지 반복하였다.
매염은 위의 자동염색기를 사용하여 액비 1:40으로 60oC에 서 30분 동안 처리하였으며, 매염 후 흐르는 물에 충분히 수세하고 자연 건조(매염-수세-건조)하였다. 매염제 처리방법은 선매염법(매염-수세-건조-염색-수세-건조)과 후매염법(염색-수세-건조-매염-수세-건조)으로 하였다. 매염제의 농도는 합성매염제인 Al, Cu, Zn, Fe, Ti 매염제는 3%(o.w.f)로 처리하였고 천연매염제인 철장액은 3%(w/v), 머드는 300%(o.w.f.) 농도로 매염하였다.
2.3. 표고버섯 핀 추출물 색소의 특성 분석
표고버섯 핀 추출물에서 얻는 색소의 구조적 특성 및 성분을 확인하고자 적외선 분광광도계(Fourier Transform Infrared Spectrometer, FT-IR, Spectrum Two, PERKIN ELMER, USA)를 이용하여 KBr법에 의해 500~4000 cm-1 범위에서 흡수 스펙트럼을 측정하였다. FT-IR 분석에는 농축한 추출액을 동결건조(Freezer dryer, FD 5508, Ilshin Lab Co., Ltd, Korea)하여 얻은 분말을 사용하였다.
또한 동결건조한 색소분말을 증류수에 녹인 수용액(7.5 mg/mL)의 흡광도를 자외-가시광선 분광광도계(UV-Vis spectrophotometer, OPTIZEN Alpha, K LAB, Korea)를 이용하여 200~700 nm 파장범위에서 측정하였다. 두 분석 모두 생장한 건조 표고버섯을 대상으로 표고버섯 핀과 같은 방법으로 추출 및 농축, 분말화하여 분석에 사용하였다.
2.4. 천연매염제의 성분 분석
천연매염제에 함유 되어있는 성분들을 알아보기 위해 천연 매염제로 사용한 철장액과 머드를 진공상태에서 백금으로 코팅한 후 전계방사형-주사전자현미경(Field Emission-Scanning Electron Microscope/Energy Dispersive X-Ray Spectroscopy, FE-SEM/EDX, JSM-7100F, JEOL, Japan)을 사용하여 분석하였다. 액체 상태인 철장액은 동결건조(Freezer dryer, FD 5508, Ilshin Lab Co., Ltd, Korea)로 분말화하여 분석에 사용하였다.
2.5. 염착량과 색 특성 측정
염색 및 매염한 직물의 염착량과 색 특성은 색차계(Coloreye 3100, Macbeth, USA)를 사용하여 광원 D65, 시야 10°조건에서 측정하였다. 가시광선 영역에서 최대흡수파장이 나타나지 않아 400 nm에서의 K/S값을 염착량으로 평가하였다. 색 특성은 CIELAB 표색계에 의한 명도지수 L*, 색좌표지수 a*(redness-greenness)와 b*(yellowness-blueness), 그리고 먼셀(Munsell)의 색상(hue) 명도(value), 채도(chroma) 값인 H V/C를 측정하였다.
2.6. 염색견뢰도 평가
염색 및 매염한 직물의 염색견뢰도는 세탁견뢰도, 드라이클리닝견뢰도, 마찰견뢰도, 일광견뢰도, 그리고 땀견뢰도를 평가하였으며 등급 판정에는 변퇴색 판정용 그레이스케일(gray scale)과 오염 판정용 스케일(chromatic transference scale)을 사용하였다.
세탁견뢰도는 Launder-O-Meter (HT700, Hanwan Soway Co., Ltd, Korea)로 KS K ISO105-C06(2023)에 준하여 시험하였다. 세제는 표준세제 대신 시판 중성세제(울샴푸, Aekyung Industrial Co., Korea)를 0.37%(w/v) 농도로 사용하였으며 40±2oC에서 30분간 세탁하여 평가하였다. 드라이클리닝견뢰도는 위의 Launder-O-Meter를 사용하여 KS K ISO105-D01(2010)에 준해 퍼클로로에틸렌(C2Cl4, Daejung chemicals & Metals Co., Ltd, Korea) 200 mL를 사용하여 40±2oC에서 30분간 시험하였다. 마찰견뢰도는 KS K 0650-1(2022)에 준하여 건조 및 습윤상태의 시험포를 준비하여 Crockmeter(DL-2007, Daelim starlet Co., Ltd, Korea)로 경사방향에서 10초간 10회 왕복 마찰한 후 면백포에 대한 오염 등급을 평가하였다. 일광 견뢰도는 KS K ISO105-B02(2015)에 준해 Xenon Test Chamber(Q-SUN Xe-1-B, Q-Lab Corporation, USA)를 사용하여 20시간 동안 광조사하고 변퇴색 등급을 평가하였다. 땀견뢰도는 KS K ISO105-E04(2017)에 준해 산성 및 알칼리성 땀액에 30분간 침지 한 후 땀견뢰도 시험기(HS-255, Hanwan Soway Co., Ltd, Korea)에 장착하여 37±2oC에서 4시간 방치한 후 등급을 평가하였다.
2.7. 기능성 평가
염색한 직물의 기능성으로 항균성과 소취성을 평가하였다. 항균성 평가는 KS K 0693-2022에 준해 황색포도상구균(Staphylococcus aureus, ATCC 6538)과 폐렴균(Klebsiella pneumoniae, ATCC 4352)을 공시균으로 사용하였으며, 각 균의 접종농도는 각각 1.3 × 105CFU/mL와 1.2 × 105CFU/mL이었고 비이온계면활성제(Tween 80)를 접종균액의 0.05% 농도로 첨가하여 측정하였다. 정균감소율(%)은 다음 식 (1)에 따라 계산하였다.
| (1) |
A : The number of bacteria recovered from the inoculated control specimen incubated for 18hours
B : The number of bacteria recovered from the inoculated treated test specimen incubated for 18hours
염색한 견직물의 소취성은 오염원으로 암모니아(NH3)를 사용한 가스검지관법으로 평가하였다. 30분 간격으로 30분부터 120분까지의 시간 경과에 따른 가스 농도를 측정하였으며, 시험가스만 주입한 경우의 시간 경과에 따른 가스 농도(blank test)도 함께 측정하여 다음 식 (2)에 의해 소취율(%)을 계산하였다.
| (2) |
A: Gas conc. of blank
B: Gas conc. under sample existence
3. 결과 및 고찰
3.1. 표고버섯 핀 추출물 색소의 성분 특성
표고버섯 핀 추출물 색소의 성분을 확인하기 위해 FT-IR 분석한 결과를 Fig. 1에 나타내었다. 생장한 건조 표고버섯을 같은 방법으로 추출 및 분석하여 함께 비교하였으며 그래프에는 각각 (a) ‘표고버섯 핀’과 (b) ‘표고버섯’으로 표기하였다. 스펙트럼 (a)는 3211.33, 2909.59, 1587.18, 1393.31, 1301.90, 1036.82 cm-1에서 각각 피크가 나타났으며, 이는 생장한 표고버섯 스펙트럼 (b)에 나타난 피크 위치들 (3263.30, 2927.53, 1588.91, 1402.87, 1302.23, 1028.05 cm-1)과 매우 유사함을 알 수 있다. Yang et al.(2020)의 동결건조 표고버섯의 FT-IR 스펙트럼 분석에 따르면, 3211.33(3263.30) cm-1 부근에 나타난 넓은 흡수피크는 O-H 그룹의 신축진동, 2909.59(2927.53) cm-1 부근의 피크는 –CH2 또는 H-C=O 그룹에 의한 C-H 신축진동, 1587.18(1588.91) cm-1 피크는 C=O 그룹의 신축진동, 1393.31(1402.87) cm-1 부근의 피크는 방향족 C=C 결합구조의 신축진동, 1301.90(1302.23) cm-1 부근의 피크는 C-H 굽힘진동, 그리고 1036.82(1028.05) cm-1 부근의 피크는 C-O-H 또는 C-O-C의 C-O 신축진동에 기인한 것으로 볼 수 있다. 표고버섯 핀 추출물에 생장한 표고버섯 성분이 그대로 존재함을 알 수 있었으며, 특히 3211.33(3263.30) cm-1부근의 피크는 폴리페놀류와 같은 유기물에서 보여지는 –OH 피크로 생장한 표고버섯에서 더 확연히 나타남을 확인하였다. 또한 1587.18과 1036.82 cm-1 부근의 피크는 각각 플라보노이드의 주요 작용기인 carbonyl 그룹(C=O)과 ether(-O-)로 인한 피크로 표고버섯 핀 추출물에 폴리페놀과 플라보노이드 성분이 함유되어 있음(Choi & Kim 2021)을 알 수 있다. 탄닌은 플라보노이드를 주성분으로 하는 페놀화합물이므로 위 피크들은 표고버섯 핀 하부에 소량 붙어있는 참나무 톱밥배지 성분인 탄닌이 함께 기인한 것(Kim et al., 2010)으로도 여겨진다.
Fig. 2는 표고버섯 핀과 생장한 표고버섯 추출물의 UV-Vis 스펙트럼이다. 모두 240~280 nm 부근의 자외선영역에서 흡수피크가 나타났으며 생장한 표고버섯 피크의 흡광도가 더 높음을 알 수 있다. 이는 플라보노이드의 A환의 벤조일계에서 유래하는 band II 피크로 A환에만 –OH기를 갖는 경우에 강하게 나타난다(Cho, 2010). 또한 염료식물의 추출액 중에 포함된 탄닌의 최대흡수파장은 272~285 nm 범위에서 나타나는데(Sul et al., 1995) 본 연구에서는 뚜렷한 피크가 보여지지 않아 톱밥배지의 탄닌성분이 염색성에 미치는 영향은 매우 미미할 것으로 여겨진다. 그리고 가시광선영역에서는 피크형태가 나타나지 않아 400 nm에서의 K/S값을 염착량으로 평가하였다. 이상에서 표고버섯 핀 추출물의 색소 성분이 생장한 표고버섯의 성분과 유사함을 확인하였으며, 이에 폐기되는 표고버섯 핀 추출물을 사용한 염색으로 생장한 표고버섯 추출물을 사용한 염색 특성을 충분히 얻을 수 있을 것으로 판단된다.
3.2. 염색 조건에 따른 염색성
표고버섯 핀 추출물을 이용한 견직물의 염색성을 알아보기 위해 염액농도, 염색온도, 염색시간, 그리고 염액 pH에 따른 염착량(K/S값)과 색 특성의 변화를 살펴보았다. 먼저 염액농도에 따른 염착량의 변화를 알아보기 위해 염색온도 80oC, 염색시간 60분, 액비 1:40에서 염액농도를 5~60%(v/v) 범위에서 염색한 결과는 Fig. 3과 같다. 염액농도가 증가함에 따라 K/S값이 점차 증가하였으며 50% 농도 이상에서는 증가 폭이 다소 완만하여 단백질섬유의 염색에서 보여지는 랭뮤어(Langmuir) 등온흡착곡선과 유사한 형태를 보였다. 이는 표고버섯 핀 추출물 색소와 견섬유 사이에서 수소결합 이외에 이온결합이 함께 관여하기 때문으로 사료된다. 플라보노이드의 수산기(-OH)나 벤젠환은 견섬유의 –CONH-, -NH2, -COOH 등과의 사이에서 수소결합을 형성하여 염착이 이루어진다. 또한 플라보노이드를 포함하는 염재를 물 추출하여 얻은 추출액이 산성영역일 경우 플라보노이드 모체 중의 수산기는 크게 분극(–Oδ-Hδ+)되어 견섬유의 –NH3+기에 흡입된다(Cho, 2010). 즉, 표고버섯 핀 추출액의 pH는 5.3으로 분극된 수산기와 견섬유의 –NH3+기간의 이온-쌍극자결합(ion-dipole bonding)이 이루어지는 것으로 볼 수 있다. 어성초 추출색소룰 사용한 모직물의 염색에서도 염욕의 pH가 5.3으로, 색소의 분극된 수산기와 양모섬유 –NH3+간의 이온-쌍극자 결합 메카니즘을 설명하였다(Son, 2020). 향나무 심재 열수 추출물을 사용한 견직물 염색에서는 랭뮤어 등온 흡착곡선과 유사한 형태를 보여 수소결합과 이온결합이 함께 관여하는 것(Nam & Lee, 2013)으로 검토하였다. 반면, 차가버섯 추출액으로 염색한 면직물의 경우에는 주로 수소결합에 의한 흡착으로 프론들리히(Freundlich)형 등온곡선을 나타냄을 알 수 있었다(Kim, 2009). 이후 염색은 염액농도 50%로 진행하였다.
Effect of dye concentration on the dye uptake of silk fabrics dyed with shiitake mushroom pin extract (80°C, 60min).
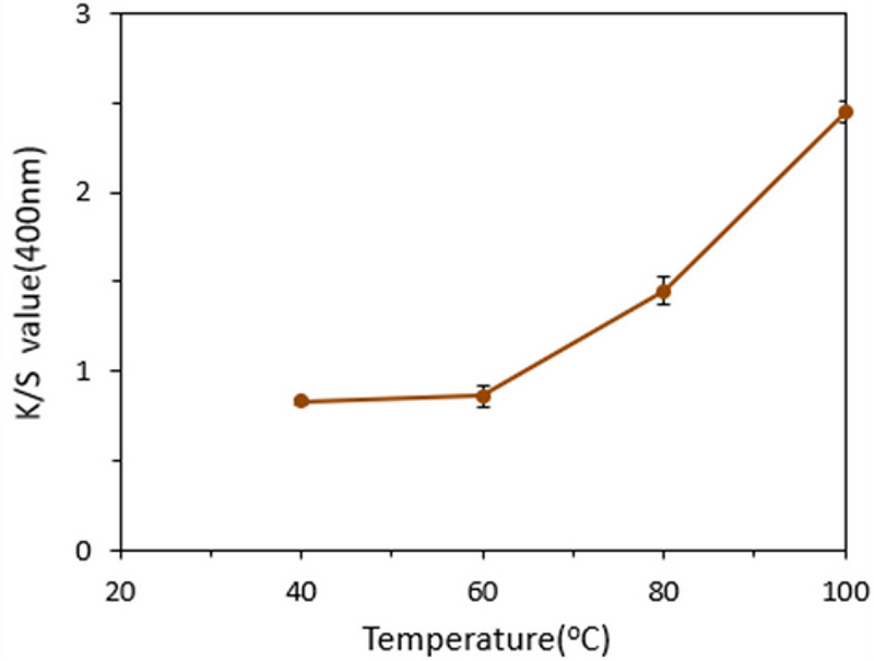
Fig. 4는 염색온도에 따른 K/S값의 변화이다. 염액농도 50%(v/v), 염색시간 60분, 액비 1:40에서 염색온도를 40, 60, 80, 그리고 100oC로 변화시켜 염색하였다. 60oC 이상에서는 염색온도가 높아질수록 염착량이 급격히 증가하였다. 이는 염욕의 온도가 높아짐에 따라 섬유가 팽윤되며 느슨해진 섬유의 비결정영역으로 활발해진 색소의 접근이 향상되기 때문이다. 단, 견직물은 80oC 이상의 온도에서는 광택 손실이나 변색 등이 우려되므로(Sarmandakh & Yi, 2017) 염색제품의 품질향상 측면을 고려하여 이후의 염색온도는 80oC로 하였다. 한편, 양송이 버섯 추출물로 염색한 견직물은 염색온도에 따른 K/S값 증가가 매우 미미한 반면에 모직물 염색에서는 표고버섯 핀 추출물로 염색한 견직물와 유사한 경향으로 60oC 이상에서 염색온도가 높아질수록 염착량이 급격히 증가하였다(Suh & Jung, 1997). 일반적으로 섬유의 비결정영역 및 수분율 등을 고려할 때 견섬유에 비해 양모섬유가 더 높은 염색성을 나타낸다. 이에 표고버섯 핀 추출물을 이용한 염색 효과가 양송이버섯을 이용한 경우보다 더 효율적인 것으로 여겨지며 이는 추후 양모직물 염색에 의한 추가적인 검토가 필요하다.
Effect of dyeing temperature on the dye uptake of silk fabrics dyed with shiitake mushroom pin extract (50%(v/v), 60min).
Fig. 5는 염색시간에 따른 K/S값의 변화이다. 염액농도 50%(v/v), 염색온도 80oC, 액비 1:40에서 염색시간을 20, 40, 60, 80분으로 변화시켜 염색하였다. 염색시간이 길어짐에 따라 K/S값이 조금씩 증가하는 경향을 보였으나 변화 정도는 크지 않아 이후의 염색시간은 60분으로 행하였다.
Effect of dyeing time on the dye uptake of silk fabrics dyed with shiitake mushroom pin extract (50%(v/v), 80°C).
염액 pH에 따른 염착량과 색상 변화를 알아보고자 염액농도 50%(v/v), 염색온도 80oC, 염색시간 60분, 그리고 액비 1:40에 서 염액의 pH를 3.5, 5.3 7.0 9.0, 11.0으로 변화시켜 염색하였다. Fig. 6은 염액 pH에 따른 염착량의 변화이다. 표고버섯 핀 추출물 수용액의 pH는 5.3으로 산성을 띠었고, 이보다 더 강한 산성염액인 pH 3.5에서 가장 높은 K/S값을 보였다. 반면, pH 7.0에서는 염착량이 크게 감소하였다. 견 피브로인의 등전점(pH 5.2~5.4)(Sul et al., 1995)보다 더 낮은 pH 3.5의 산성욕에서는 견섬유의 아미노기가 해리하여 생성된 암모늄염(–NH3+)과 표고버섯 핀 추출물 색소의 음이온기 사이에 이온결합이 활발히 이루어져 가장 높은 염착량을 보인 반면, 등전점 이상의 pH에서는 카르복시기의 해리(-COO-)가 촉진되어 색소 음이온과의 전기적 반발력이 증가하므로 염착량이 낮아진 것으로 여겨진다.
Effect of pH on the dye uptake of silk fabrics dyed with shiitake mushroom pin extract (50%(v/v), 80°C, 60min).
Table 3은 염액의 pH에 따른 색상 변화이다. L*값은 pH 3.5에서 가장 낮은 값을 나타내어 가장 어두운 색상을 띄었으며 pH 7.0까지는 점진적으로 증가하여 점차 밝아졌고 이후에는 큰 변화를 보이지 않아 pH 변화에 따른 K/S값의 변화와 연관됨을 알 수 있었다. a*과 b*값도 pH 3.5에서 가장 큰 값을 보여 붉은 기미과 노랑 기미가 가장 강했으며 pH 5.3까지는 급속히 감소하여 붉은 기미와 노랑 기미가 모두 많이 약해졌고, pH 7.0까지는 약간 감소하다가 이후에는 다시 증가하는 경향이었다. 먼셀 색상은 pH 3.5와 5.3의 산성염욕에서는 YR(Yellow Red) 계열로 염색되었고, pH 7.0 이상에서는 모두 Y(Yellow) 계열로 나타났다. 염착성 향상을 위해 염욕의 pH를 적절하게 낮출 수 있을 것으로 여겨지나 대량 염색 시의 환경문제를 고려하여(Ko et al., 2019) 이후 염색에서는 pH 조절없이 염료 원액의 pH 5.3 그대로 염색하였다.

Effect of pH on the L*, a*, b*, and H V/C value of the silk fabrics dyed with shiitake mushroom pin extract (50%(v/v), 80oC, 60 min)
Fig. 7은 반복염색한 시료들의 염착량이다. 염색은 최적 조건으로 설정한 염액농도 50%(v/v), 염색온도 80oC, 염색시간 60분, 그리고 액비 1:40에서 염액의 pH를 조절하지 않고 5회까지 반복하였다. 염색횟수가 반복될수록 염착량이 점차 증가했으나 5회째는 증가 폭이 크지 않았다. 일반적으로 천연염색은 색의 강도가 높지 않으므로 진한 색상의 시료를 얻기 위해 반복염색을 하는 것은 좋은 대안으로 여겨지며, 표고버섯 핀 추출물에서는 4회까지의 반복염색이 효율임을 알 수 있었다.
3.3. 매염에 의한 염색성
매염제는 크게 Al, Cu, Zn, Ti, 그리고 Fe 금속이온을 각각 함유한 합성매염제와 철장액과 머드를 천연매염제로 사용하였으며, 염색은 최적 조건인 염액농도 50%(v/v), 염색온도 80oC, 염색시간 60분, 그리고 액비 1:40에서 염액의 pH 조절 없이 행하였다. Fig. 8은 각 매염제를 사용하여 선매염과 후매염한 시료들의 K/S값이다. 금속이온들은 색소와 착체를 형성함과 동시에 견 피브로인과 배위결합을 형성하여 매염 작용을 하게 되는데(Choi et al., 1999), 모두 매염에 의한 최대흡수파장의 변화는 나타나지 않았다. Al과 Zn은 선매염 효과가 미비하여 무매염 시료보다 더 낮은 염착량을 보였으며 이외의 선매염 또는 후매염한 시료들은 모두 무매염 시료보다 더 높은 염착량을 나타내었다. 또한 천연 및 합성매염제 모두에서 후매염 방법이 선매염에 비해 염착량 증진에 더 효율적이었다. 특히 Fe 후매염에 의한 염착량 증가가 가장 컸으며, 다음으로는 철장액 후매염 효과가 우수하였다. Al과 Zn 후매염은 선매염에서처럼 염착량 증진 효과가 가장 적게 나타났다. 터키 산 적송버섯(Lactarius deliciosus)과 혈적색버섯(Lactarius sanguifluus)을 활용한 양모 사의 염색(Özdemir & Bozok, 2020)에서는 에탄올 추출액으로 Al과 Fe 선매염을 행하여 적송버섯의 경우에는 Al과 Fe 매염 모두 색의 강도가 증가한 반면, 혈적색버섯은 Al 매염은 더 낮은 색의 강도를, Fe 매염은 더 높은 색의 강도를 보여주어 표고버섯 핀을 사용한 염색성과 비슷한 선매염 효과를 나타내었다. 이는 Lactarius속과 Lentinus속 균류의 화학구조와 관련 있는 것으로(Özdemir & Bozok, 2020) 앞으로 검토가 더 필요한 부분이다.
Effect of mordanting on the dye uptake of silk fabrics dyed with shiitake mushroom pin extract (dyeing; 50%(v/v), 80°C, 60min, pH 5.3).
Table 4는 매염제 종류와 매염 방법에 따른 색상 변화이다. 선매염의 경우, Fe과 철장액 매염만 a*와 b*값이 모두 감소하여 붉은 기미와 노랑 기미가 모두 약해졌으며 이외에는 무매염 시료보다 a*와 b*값이 모두 커서 붉은 기미와 노랑 기미가 모두 강해졌다. 특히 Ti 선매염한 시료의 a*와 b*값이 가장 크게 나타났다. 선매염에 의한 먼셀 색상은 모두 9.7~10.0YR 계열로 발현되어 무매염 시료의 색상인 9.8YR과 비교하여 색상의 변화는 크지 않았다. 후매염한 시료의 경우, Al과 Ti 후매염을 제외하고는 a*값과 b*값이 모두 감소하는 경향을 보였으며 특히 철장액 후매염한 시료가 가장 낮은 값을 보여 붉은 기미와 노랑 기미가 가장 적게 발현되었다. Al 후매염은 붉은 기미인 a*값은 감소하였으나 노랑 기미의 b*값은 증가하였고, Ti 후매염은 유일하게 a*와 b*값이 모두 증가하여 선매염과 동일하게 붉은 기미와 노랑 기미가 모두 강하게 나타났다. 먼셀 색상은 Cu 후매염 시료만 2.1YR로 R계열에 더 가까운 색상으로 발현되었고 이외에는 모두 Y계열로 염색되어 선매염에 비해 더 많은 색상 변화를 보였다. 후매염 처리로 대부분 명도 V값과 채도 C값이 모두 낮아져 더 어둡고 탁해졌으나, Ti 후매염 시료만 채도 C값이 증가하여 진하면서도 더 선명한 색상으로 발현됨을 알 수 있었다.

Effect of mordanting on color properties of silk fabrics dyed with shiitake mushroom pin extract (dyeing; 50%(v/v), 80°C, 60min, pH 5.3)
Table 5는 FE-SEM/EDX 분석으로 얻어진 천연매염제로 사용한 철장액과 머드의 성분분석 결과이다. 모두 다양한 금속이온이 존재하는 것으로 나타났다. 매염 시 염색성에 영향을 줄 수 있는 중금속 이온을 중심으로 살펴보면 철장액은 주요 성분인 Fe(66.20%) 이외에 Zn(10.22%) 성분을 함유하고 있었고, 머드는 Al(13.29%)과 Fe(4.43%), 그리고 Ti(0.40%)을 소량 함유하였다. 천연매염제에 함유된 미량의 금속이온들은 염착량, 색상, 염색견뢰도 등에 복합적인 영향을 주는 인자로 작용하며, 이들 중 Al과 Fe은 안정한 6배위 착체를 형성하지만 Al은 외궤도형 착체로 내궤도형 착체를 형성하는 Fe에 비해 결합력이 약해 매염으로 인한 염착량과 색상 변화가 적다(Choi et al., 1999). 그리고 철장액과 머드는 이들 안에 포함된 철 성분으로 인해 전통적으로 흑색계 염색을 위한 천연매염제로 사용되었다(Lee, 2004). Fig. 8의 염착량 결과에서 합성매염제로 사용한 Zn과 Al은 염착량 증진 효과가 가장 적은 반면, Fe 매염제는 염착량 증진에 가장 효과적임을 알 수 있었다. 즉, 철장액에 함유된 Zn과 머드에 가장 많이 포함된 Al은 염착량과 색상에 주는 영향이 미미하여 철장액과 머드 후매염에 의한 염착량 증진과 색상 변화는 주로 함유된 Fe 성분에 크게 영향을 받은 것으로 볼 수 있다. 색상 또한 육안으로 보았을 때 Fe 후매염과 비슷한 흑색 및 회색계열로 발현되었음을 확인할 수 있었다. 녹차 추출액을 이용한 염색(Choi et al., 1999)에서도 유도결합 플라즈마 원자방출분광기(induced coupled plasma atomic emission spectrometer) 분석을 바탕으로 철장액에 용존하는 철성분에 의해 철장액으로 매염한 견직물에 심한 색상변화가 초래된다고 하였으며, 감물이나 서랑 염색 후 순차적으로 머드염색한 경우(Son, 2024)에도 유도결합 플라즈마 질량분석(induced coupled plasma-mass spectrometery analysis)을 통하여 머드에 포함된 철 성분이 탄닌염색한 직물에 매염제로 작용하여 회색 및 흑색계열의 색상발현에 영향을 주었음을 보고하였다. 이에 표고버섯 핀을 사용한 흑색 및 회색계열의 색상 발현에는 합성매염제 사용 대신 좀더 환경친화적 방법인 철장액이나 머드의 사용이 충분히 고려될 수 있을 것으로 생각된다.
실제 다양한 야생버섯을 활용한 염색(Choi, 2016)에서는 본 연구에서 사용한 매염제 이외의 Cr, Sn 등의 매염제를 사용하여 좀 더 광범위한 색상발현을 얻고 있었다. 추후 표고버섯 핀의 염색에도 적용하여 발현되는 색상 스펙트럼을 확장해 볼 수 있을 것이다. 또한 본 연구에서 천연매염제로 사용한 철장액과 머드 이외에 각 합성매염제를 대체할 수 있는 희토류나 무기염 등의 사용(Yang et al., 2023)은 좀 더 안전한 환경에서 표고버섯 핀의 활용도를 높일 것으로 기대된다.
3.4. 염색견뢰도
최적조건에서 염색한 무매염 시료와 매염방법 중 염착량 증진과 색상 변화가 더 뚜렷한 후매염 시료의 염색견뢰도를 평가하여 Table 6과 7에 제시하였다. Table 6은 세탁, 드라이클리닝, 마찰, 그리고 일광에 대한 염색견뢰도이다. 무매염 시료의 세탁견뢰도는 4-5등급, 드라이클리닝견뢰도와 건조시 마찰견뢰도는 5등급, 그리고 습윤시 마찰견뢰도는 4등급으로 매우 우수하였다. 일광견뢰도는 3-4등급으로 양호하였다. 후매염한 시료의 세탁견뢰도는 Al과 Cu 매염은 무매염 시료와 같은 4-5등급을 보였으며 이외의 매염한 시료들은 모두 5등급으로 향상되었다. 세탁에 대한 오염은 모두 5등급으로 우수하였으며, 드라이클리닝에 대한 색상 변화와 오염도 모두 5등급으로 우수하였다. 건조시 마찰견뢰도는 머드 매염에서만 4등급으로 나타났고 이외에는 매염제 종류에 상관없이 모두 5등급으로 우수한 결과를 보였다. 습윤시 마찰견뢰도도 머드 매염은 3-4등급으로 낮아진 반면 이외의 매염에서는 모두 4-5등급으로 향상되었다. 머드 매염한 시료의 마찰견뢰도가 더 낮은 것은 머드 속의 금속이온에 의한 배위결합 이외에 섬유 표면에 물리적으로 결합된 머드 입자들이 강한 마찰에 의해 탈락되면서 변퇴색 요인이 된 것(Son, 2024)으로 여겨진다. 일광견뢰도는 Al과 Ti 매염은 무매염 시료와 같은 3-4등급을 보였으며 Zn 매염은 3등급으로 낮아진 반면, Cu, Fe, 철장액, 머드 매염에서는 4등급으로 향상되었다.

Fastness to washing, dry cleaning, rubbing, and light of silk fabrics dyed with shiitake mushroom pin extract (dyeing; 50%(v/v), 80°C, 60min, pH 5.3)

Fastness to perspiration of silk fabrics dyed with shiitake mushroom pin extract (dyeing; 50%(v/v), 80°C, 60min, pH 5.3)
Table 7은 산성 및 알칼리성 땀액에 대한 염색견뢰도이다. 무매염 시료의 산성 및 알칼리성 땀에 대한 견뢰도는 모두 4등급으로 우수하였다. 면직물과 견직물에 대한 오염도 견직물의 오염이 4-5등급으로 약간의 이염이 있었을 뿐 모두 5등급으로 우수하였다. 산성땀에 대한 견뢰도는 Zn과 머드 매염에서 그리고 알칼리성 땀에 대한 견뢰도는 Cu와 머드 매염에서 모두 4-5등급으로 향상되었고 이외의 매염에서는 무매염 시료와 동일하거나 더 낮은 등급을 보였다. 땀 성분 및 매염제 종류에 상관없이 면에 대한 오염은 5등급, 견에 대한 오염은 4-5등급으로 우수하였다.
전체적으로 살펴보았을 때. 무매염 시료가 일광견뢰도를 제외하고는 모두 4등급 이상의 우수한 염색견뢰도를 보여 매염처리 없이도 표고버섯 핀 추출액만으로 염색한 견직물의 실용성을 확인할 수 있었다. 특히 천연매염제인 철장액 후매염은 합성매염제인 Fe 후매염과 동일한 염색견뢰도를 나타내었고 무매염 시료에 비해 세탁견뢰도, 습윤시 마찰견뢰도, 일광견뢰도가 향상되었다. 지속가능성과 함께 염색견뢰도 측면에서 철장액은 Fe 합성매염제를 대체할 수 있을 것으로 여겨진다. 머드 후매염은 마찰견뢰도는 낮아진 반면, 일광견뢰도와 땀견뢰도는 향상되었다. Son(2024)의 연구에서도 감물과 서랑 염색 후 머드 매염으로 일광견뢰도와 알칼리성 땀에 대한 견뢰도는 향상된 반면 마찰견뢰도는 감소하여, 머드 매염에 따른 견뢰도 변화에 유사한 양상을 나타내었다. 추후 머드 매염 시 마찰견뢰도 증진을 위한 개선 방안의 모색이 필요하다고 여겨지며, 실제 염색제품의 최종용도를 고려하여 적정한 매염제가 사용되어야 할 것이다.
3.5. 항균성과 소취성
표고버섯 핀 추출물로 염색한 시료의 항균성과 소취성은 염색하지 않은 시료와 최적 염색조건(염액농도 50%(v/v), 염색온도 80oC, 염색시간 60분, pH 5.3)에서 염색한 시료로 평가하였다. Table 8은 항균성 결과이다. 염색하지 않은 시료에 비해 염색한 시료의 그람 양성균인 황색포도상구균에 대한 정균감소율은 99.9% 이상, 그람 음성균인 폐렴균에 대한 정균감소율은 98.1%로 매우 우수한 결과를 나타내었다. 표고버섯은 강력한 항균작용을 하는 화합물이 풍부한 공급원으로 잘 알려져 왔다(Chien et al., 2016; Kitzberger et al., 2007). 아직 갓과 줄기의 형태가 갖춰지지 않은 표고버섯 핀의 열수 추출물로도 우수한 항균가공 효과가 부여됨을 알 수 있었다. 표고버섯의 항균 활성에 대한 선행연구(Kim et al., 2003)에서 열수 추출물 보다 에탄올 추출물이 그람 양성 및 음성균에 대해 모두 높은 항균 활성을 나타내는 것으로 보고되었다. 한편 표고버섯 핀의 추출물 성분과 같은 플라보노이드 화합물로 이루어진 추출액으로 염색한 견직물의 경우에는 그람 양성균인 포도상구균 감소율에는 큰 차이가 없지만 그람 음성균인 폐렴균에 대해서는 열수 추출물 염색에 비해 에탄올 추출물 염색 시 더 높은 항균성을 나타내었다(Lee et al, 2010; Sarmandakh et al., 2017). 또한, 항균성이 있다고 알려진 차가버섯으로 열수 추출하여 염색한 면직물의 경우(total K/S 값; 약 15)에는 포도상구균에 대한 항균성은 99.7% 폐렴균에 대해서는 45.3%의 항균성을 나타내어(Kim, 2009) 표고버섯 핀 추출물로 염색한 견직물에 비해 낮은 항균 활성을 보였다. 많은 야생 식용버섯은 염색성이 있는 것으로 알려져 있으며 지역에 따라서는 합성염료 개발 이전에 염색용으로 널리 이용되었다(Franco-Maass et al., 2019). 또한 대부분의 버섯은 광범위한 생물학적 활성을 지니므로 이들의 항균 활성을 선별하고 이를 친환경 유기염료로 사용하기 위한 연구들도 진행되었다(Bessette & Bessette, 2001; Rai & Tidke, 2005). 즉 버섯이 지닌 항균 활성이 염색된 직물에 활용될 수 있는지의 가능성 타진은 매우 중요하게 여겨진다. 이에 표고버섯 핀의 에탄올 추출물을 사용한 다양한 직물의 염색성 및 항균성에 대한 후속 연구를 통하여 확장된 분야에서의 섬유소재로의 활용성을 확대해 볼 수 있을 것이다.
Fig. 9는 암모니아 가스에 대한 소취성을 시간 경과에 따라 측정한 결과이다. 30분 경과시 염색하지 않은 시료는 45%의 소취율을 나타내었으며, 염색한 시료는 78%의 소취율을 나타내어 미염색 시료보다 더 높은 소취성을 보였다. 모두 측정시간이 증가함에 따라 소취율이 조금씩 증가하여 120분 경과 후에는 각각 55%와 90%의 소취율을 나타내었다. 악취물질로 사용한 암모니아(-NH3)와 표고버섯 핀 추출물에 함유된 폴라보노이드계 물질의 수산기(-OH)와의 중화반응(-RONH4)으로 소취성이 부여된 것으로 볼 수 있다. 한편, 표고버섯 핀 추출물에 서처럼 플라보노이드계 물질을 함유한 석창포 잎 추출물로 염색한 견직물에서도 98~99%의 높은 소취성이 보여졌으나 미염색 견직물의 소취성(94~98%) 또한 높은 값을 보여 석창포 잎염료 자체의 절대적 평가에는 무리가 있다고 하였다(Yang & Yi, 2020). 또한 차가버섯 추출물로 염색한 면직물 및 한지 혼방직물의 소취성은 120분 경과 후에도 50% 이하의 낮은 소취율을 보여(Kim, 2010) 표고버섯 핀 추출물로 염색한 견직물의 소취성이 상대적으로 뛰어남을 알 수 있다. 표고버섯은 가열하거나 건조시 렌티오닌(lenthionine)이 생성되며, 이는 표고버섯 특유의 향 성분이면서 자극적인 냄새를 중화하는 역할을 한다(“Nutrients and”, 2019; Wang et al., 2021). 즉, 표고버섯 핀의 건조 및 열수 추출 시 생성된 렌티오닌 성분이 방향성 물질로서 악취를 상쇄하는 차폐효과(masking effect)를 부여함으로써 염색한 직물의 소취성 향상에 도움을 준 것으로 판단된다. 자초 추출물로 염색한 직물의 소취성도 시코닌(shikonin)에 의한 차폐효과를 부여하는 것(Han, 2000)으로 보고되었다.
Effect of elapsed time on the deodorization performance of silk fabrics dyed with shiitake mushroom pin extract.
이로부터 폐기되는 표고버섯 핀 열수 추출물을 이용한 견직물 염색은 별도의 가공제 처리 없이 항균성과 소취성을 부여할 수 있음을 확인하였다. 기능성을 지닌 천염염료는 환경과 인체에 유해한 합성가공제 대신 친환경 섬유가공제의 일환으로 사용할 수 있으므로(Hong, 2024), 앞으로 항균소취성을 지닌 텍스타일 제품개발에 천연물 기반의 섬유가공제로서 표고버섯 핀의 활용을 도모할 수 있을 것으로 판단된다.
4. 결 론
본 연구에서는 표고버섯 재배 농가에서 대량으로 폐기되고 있는 표고버섯 핀을 천염염재로 사용하여 견직물에 대한 염색성과 기능성을 검토함으로써 지속가능한 천연염재의 발굴 및 이의 활용 가능성에 대한 기초자료를 제공하고자 하였다. 이를 위해 표고버섯 핀 열수 추출물의 성분 분석 및 추출물을 사용한 최적 염색조건을 검토하였고 반복염색 효과를 살펴보았다. 천염매염제의 성분을 분석하고 매염에 따른 염색성과 염색견뢰도를 합성매염제 효과와 비교하였다. 또한 표고버섯 핀 추출물 로 염색한 견직물의 항균성과 소취성을 측정하여 다음과 같은 결론을 얻었다.
FT-IR 스펙트럼과 UV-Vis 영역의 흡광도로부터 표고버섯 핀추출물에 폴리페놀과 플라보노이드 성분이 함유되어 있으며, 표고버섯 생장에 따른 성분 차이는 크지 않음을 알 수 있었다. 또한 표고버섯 핀 하부의 톱밥배지 성분이 염색성에 미치는 영향은 미미할 것으로 판단되었다. 최적 염색조건은 염액농도 50%(v/v), 염색온도 80oC, 염색시간 60분, 염욕의 pH는 5.3으로 나타났다. 먼셀 색상은 YR계열로 발현되었고, 최적 염색조건에서 반복염색하는 경우 4회 이상부터 염착량 증가가 완만해졌다.
천연매염제와 합성매염제 모두 선매염에 비해 후매염 방법이 염착량 증진 효과와 색상 변화가 더 컸다. 특히 Fe 후매염에 의한 염착량 증가가 가장 컸으며, 다음으로는 철장액 후매염 효과가 우수하였다. Ti 후매염이 붉은 기미와 노랑 기미가 강하면서 채도가 높은 가장 선명한 색으로 나타난 반면, 철장액 후매염은 붉은 기미와 노랑 기미가 가장 낮게 발현되었다. 먼셀 색상은 선매염과 Cu 후매염은 무매염 시료와 같은 YR계열로 나타났고 이외의 후매염 시료들은 Y계열로 발현되었다. FE-SEM/EDX 분석으로 철장액과 머드에 다양한 금속이온들이 함유되어 있음을 확인하였고, 각 합성매염제 효과를 통하여 함유된 금속이온 중에서 Fe 성분이 염착량과 색상에 가장 큰 영향을 미침을 알 수 있었다.
무매염 시료는 일광견뢰도 3-4등급을 제외하고는 세탁, 드라이클리닝, 마찰, 땀에 대해 모두 4등급 이상의 우수한 염색견뢰도를 보였다. 후매염 시료도 세탁견뢰도는 모두 4-5등급 이상, 드라이클리닝견뢰도는 5등급으로 우수하였다. Zn 후매염의 일광견뢰도와 Cu 후매염의 산성 땀견뢰도를 제외하고는 모두 3-4등급 이상의 양호한 염색견뢰도를 나타내었다. 특히 철장액 후매염은 합성매염제인 Fe 후매염과 동일한 염색견뢰도를 지니면서 무매염 시료에 비해 세탁견뢰도, 습윤시 마찰견뢰도, 일광견뢰도가 0.5등급씩 향상되었으며, 머드 후매염은 일광견뢰도와 땀견뢰도가 모두 0.5등급씩 향상되었다.
표고버섯 핀 열수 추출물로 염색한 시료의 황색포도상구균에 대한 정균감소율은 99.9% 이상, 폐렴균에 대한 정균감소율은 98.1%로 매우 높았다. 암모니아 가스에 대한 소취성은 120분 경과 후 90%의 높은 소취율을 나타내었다.
이상에서 폐기되는 표고버섯 핀 추출물을 활용한 견직물의 염색성과 기능성을 살펴본 결과 추출액 색소만으로 높은 염색 견뢰도 함께 소취성, 항균성이 우수한 기능성 천연염료로의 유용성을 확인하였다. 또한 매염에 의한 다양한 색상 발현 및 천연매염제 사용에 의한 염색견뢰도의 증진과 지속가능성의 확대를 기대할 수 있었다. 향후 다양한 친환경 섬유소재의 염색에 적용하여 고부가가치 소재개발에 대한 표고버섯 핀의 활용성을 높이고자 한다.
Acknowledgments
이 논문은 2023년 국립순천대학교 학술연구비(과제번호: 2023-0277) 공모과제로 연구되었음.
References
- Bessette, A. R., & Bessette, A. E. (2001). The rainbow beneath my feet: A mushroom dyer's field guide. Cordova; Syracuse University Press.
-
Cheon, E. H., & Kim, S. Y. (2020). Trend analysis on sustainable fiber materials: Focused on the use of alternative materials. Journal of basic design & art. 21(5), 589-600.
[https://doi.org/10.47294/KSBDA.21.5.42]
-
Chien, R., Yen, M., & Mau, J. (2016). Antimicrobial and antitumor activities of chitosan from shiitake stipes compared to commercial chitosan from crab shells. Carbohydrate Polymers, 138, 259-264.
[https://doi.org/10.1016/j.carbpol.2015.11.061]
- Cho, K. R. (2010). 천연염색연구 [Natural dyeing research]. Seoul: Hyungseol Publisher.
-
Choe, J. A. (2022). Post-covid-19, textile trends and prospects according to consumption trend changes, Journal of Basic Design & Art, 23(3), 425-436.
[https://doi.org/10.47294/KSBDA.23.3.31]
- Choi, J. S. (2016, January 30). Natural dyeing all unified with mushrooms. dangdangnews. Retrieved August 11, 2024, from http://m.dangdangnews.com/news/articleView.html?idxno=25991
-
Choi, J. Y., & Kim, M. S. (2021). Comparison of the physicochemical components of Lentinula edodes cultivars cultivated in sawdust medium. Journal of Mushrooms, 19(3), 184-190.
[https://doi.org/10.14480/JM.2021.19.3.184]
- Choi, S. C., Jung, J. S., & Chun, T. I. (1999), The effect of natural mordants on the silk fabrics dyed with green tea extract(I): Analysis of natural mordants and the effect on color changes. Journal of the Korean Society of Dyers and Finishers, 11(3). 15-22.
-
Eom, Y. S. (2022). Consumers’ acceptance and willingness to pay for products with eco-friendly materials in circular economy: A case of clothing made with microplastic emission-reducing materials. Environmental and Resource Economics Review, 31(1), 1-30.
[https://doi.org/10.15266/KEREA.2022.31.1.001]
-
Franco-Maass, S., Burrola-Aguilar, C., Arana-Gabriel, Y., Arredondo-Ayala, G., Cruz-Balderas, Y. (2019). Local knowledge and potential use as a pigment of edible mushrooms in the state of Mexico. Agro Productividad, 12(5), 37-43.
[https://doi.org/10.32854/agrop.v0i0.1394]
- Han, M. H. (2000) The dyeability and antibacterial deodorization activity of silk fabrics by gromwell extracts. Textile Coloration and Finishing, 12(5), 29-35.
-
Han, S. R., Kim, M. J., & Oh, T. J. (2015). Antioxidant activities and antimicrobial effects of solvent extracts from Lentinus edodes. Journal of the Korean Society of Food Science and Nutrition, 44(8), 1144-1149.
[https://doi.org/10.3746/jkfn.2015.44.8.1144]
-
Hong, K. H. (2024). Effect of ultrasound treatment on finishing of cotton fabrics using chestnut shell extract. Journal of the Korean Society of Clothing and Textiles, 48(2), 300-311.
[https://doi.org/10.5850/JKSCT.2024.48.2.300]
-
Hyun, Y. H., Pyun, J. W., & Nam, H. W. (2014). Quality characteristics of garaedduk with Lentinus edodes powder. Korean Journal of Food and Cookery Science, 30(1), 11-21.
[https://doi.org/10.9724/KFCS.2014.30.1.011]
-
Jang, H. L., Lee, J. H., Hwang, M. J., Choi, Y. M., Kim, H. R., Hwang, J. B., & Nam, J. S. (2015). Comparison of physicochemical properties and antioxidant activities between Lentinula edodes and new cultivar Lentinula edodes GNA01. The Korean Society of Food Science and Nutrition, 44(10), 1484-1491.
[https://doi.org/10.3746/jkfn.2015.44.10.1484]
-
Jung, K. I., Choi, Y. J., Oh, J. H., Lee, J. I., Park, S. Y., Kim, H. R., Jeon, B. J., Kim, D., & Kong, C. S. (2019). Quality characteristics of cookies added with Lentinus edodes water extract. Journal of Life Science, 29(9), 955-963.
[https://doi.org/10.5352/JLS.2019.29.9.955]
-
Kim, H. Y., & Lee, S. H. (2019). Natural dyeing of cationic-modified new rayon (cocell) fabric: Gallnut. Fashion & Textile Research Journal, 21(3), 356-362.
[https://doi.org/10.5805/SFTI.2019.21.3.356]
-
Kim, J. K., Kwon, D. J., Lim, S. S., & Bae, Y. S. (2010), Chemical constituents of domestic Quercus spp. barks, Mokchae Konghak, 38(4), 359-374.
[https://doi.org/10.5658/wood.2010.38.4.359]
-
Kim, S. H. (2009). Dyeing properties and antibacterial activity of cotton fabrics with Inonotus obliquus. Journal of the Korean Society of Clothing and Textiles, 33(11), 1774-1780.
[https://doi.org/10.5850/JKSCT.2009.33.11.1774]
-
Kim, S. H. (2010). The change of comfort properties of cotton and hanjee fabrics with natural dyeing and functional mineral treatment. Journal of the Korean Society of Clothing and Textiles, 12(2), 219-223.
[https://doi.org/10.5805/KSCI.2010.12.2.219]
- Kim, Y. D., Kim, K. J., & Cho, D. B. (2003). Antimicrobial activity of Lentinus edodes extract. Korean Journal of Food Preservation, 10(1), 89-93.
-
Kim, Y. M. (2017). Proximate composition and quality characteristics of white bread with Lentinus edodes powder. The Korean Journal of Food And Nutrition, 30(6), 1319-1331.
[https://doi.org/10.9799/ksfan.2017.30.6.1319]
-
Kitzberger, C. S. G., Artur, S., & Pedrosa, R. (2007). Antioxidant and antimicrobial activities of shiitake extracts obtained by organic solvents and supercritical fluids. Journal of Food Engineering, 80(2), 631-638.
[https://doi.org/10.1016/j.jfoodeng.2006.06.013]
-
Ko, E., Lee, H., & Han, C. (2019). Dyeability and functionality of wool fabrics dyed with Chamaecyparis obtusa leaf extract. Journal of the Korean Society of Clothing and Textiles, 43(2). 288-296.
[https://doi.org/10.5850/JKSCT.2019.43.2.288]
-
Kong, C. S., Choi, Y. J., Oh, J. H., Lee, J. I., Park, S. Y., Kim, H. R., Jeon, B. J., Kim, D., & Jung, K. I. (2019). Antioxidant activity of shiitake mushroom (Lentinus edodes) water extract and its quality characteristics effect in muffins. Journal of the Korean Society of Food Science and Nutrition, 48(10), 1079-1089.
[https://doi.org/10.3746/jkfn.2019.48.10.1079]
- Koo, C. D., Lee, H. Y., & Lee, G. Y. (2012). Effects of sterilization and cultivation temperatures of oak sawdust medium on Lentinula edodes hyphal growth. Journal of Korean Forest Society, 101(1), 77-82.
-
Lee, A. R., Hong, J. U., Yang, Y. A., & Yi, E. (2010). Dyeing properties and antimicrobial activity of silk fabric with extract of unripe Citrus unshiu fruits. Fibers and Polymers, 11(7), 982−988.
[https://doi.org/10.1007/S12221-010-0982-Z]
- Lee, J. N. (2004). 우리가 정말 알아야 할 천연염색 [Natural dyeing that we really need to know]. Seoul: Hyeonamsa.
-
Lee, K. H., Park, H. S., & Lee, M. H. (2021). Quality characteristics and functional analysis of pound cake added shiitake mushroom concentrate. Culinary Science & Hospitality Research, 27(5), 40-51.
[https://doi.org/10.20878/cshr.2021.27.5.005]
-
Morales, D., Rutckeviski, R., Villalva, M., Abreu, H., Soler-Rivas, C., Santoyo, S., Iacomini, M., & Smiderle, F. R. (2020). Isolation and comparison of α- and β-D-glucans from shiitake mushrooms (Lentinula edodes) with different biological activities. Carbohydrate Polymers. 229, 115521.
[https://doi.org/10.1016/j.carbpol.2019.115521]
-
Nam, K. Y., & Lee, J. S. (2013). Dyeing properties and functionality of hot-water extract from Juniperus chinensis heartwood. Textile Coloration and Finishing, 25(3), 181-193.
[https://doi.org/10.5764/TCF.2013.25.3.181]
- ‘Nutrients and medicinal values of shiitake mushrooms’. (2019, October 18). Forestry cooperative forest land. Retrieved November 25, 2023, from https://m.blog.naver.com/ehangboke/221681786400
-
Özdemir, H., & Bozok, F. (2020). Dyeing of wool yarn with natural dyes of Lactarius deliciosus and L. anguifluus from Turkey. Ekstil ve Konfeksiyon, 30(4).
[https://doi.org/10.32710/tekstilvekonfeksiyon.638244]
-
Rai, M., & Tidke, G. (2005). Biotechnological potential of mushrooms: Drugs and dye production. International Journal of Medicinal Mushrooms, 7(3), 457-457.
[https://doi.org/10.1615/IntJMedMushr.v7.i3.900]
- Park, D. M., Kim, S. C., Noh, J. H., Lee, B. S., Go, H. G., Kim. G. J., Choi, S. g., Park, G. T., & Jeon, J. S. (2008). 표고버섯 재배 사례별 핵심기술 [Core technologies for each shiitake mushroom cultivation case]. Yeoju: National Forestry Cooperatives, Forest Mushroom Research Institute.
- Ryu, J. B. (2007). Wheat source plant: Quercus oak. Korea Beekeeping Bulletin, 316, 46-47.
-
Sarmandakh, B., & Yi, E. (2017). Dyeing properties and antimicrobial activity of silk fabrics with hot-water extract of unripe citrus unshiu. Textile Science and Engineering, 54(1), 8-16.
[https://doi.org/10.12772/TSE.2017.54.008]
-
Son, K. (2020). Eco-friendly dyeing using houttuynia cordata extract: Dyeability and functionality of wool fabrics. Textile Coloration and Finishing, 32(1), 1-8.
[https://doi.org/10.5764/TCF.2020.32.1.1]
-
Son, K. (2024). Color developing of hanji fabrics by heat treatment of persimmon juice and shuliang extract and mud dyeing. Journal of the Korean Society of Clothing and Textiles, 48(3), 543-562.
[https://doi.org/10.5850/JKSCT.2024.48.3.543]
- Suh, Y. S., & Jung, J. Y. (1997). A study on the characterization and dyeability of mushroom colorant (II): Dyeability and colorfastness of mushroom colorant. Journal of the Korean Society of Clothing and Textiles, 21(2), 406-413.
- Sul, J. H., Choi, S. C., & Cho, K. R. (1995). A study on the tannin treatment of silk fabrics(III); Comparison condensed tannin with hydrlyzable tannin. Journal of the Korean Society of Dyers and Finishers, 7(3), 60-67.
-
Wang, Y., Yang, Z., Chen, X., Han, D., Han, J., Wang, L., Ren, A., Yu, H., & Zhao, M. (2021). Lenthionine, a key flavor substance in Lentinula edodes, is regulated by cysteine under drought stress. Journal of Agricultural and Food Chemistry, 69(43), 12645-12653.
[https://doi.org/10.1021/acs.jafc.1c04829]
-
Yang, J., & Park, H. (2023). Color analysis and color image characteristics of Korean natural dyed fabric. Journal of the Korean Society of Costume, 73(2), 67-85.
[https://doi.org/10.7233/jksc.2023.73.2.067]
-
Yang, K., Li, Y., Zheng, H., Luan, X., Li, H., Wang, Y., Du, Q., Li, H. & Xia, Y. (2020). Adsorption of congo red with hydrothermal treated shiitake mushroom. Materials Research Express, 7, 015103.
[https://doi.org/10.1088/2053-1591/ab5ff3]
-
Yang, R., Li, J., Cheng, G., Inta, A., & Yang, L. (2023). Textiles dyeing with pomegranate (Punica granatum) peel extract using natural mordant. Journal of Natural Fibers, 20(2), 2282056.
[https://doi.org/10.1080/15440478.2023.2282056]
-
Yang, Y. A., & Yi, E. (2020). Dyeing properties, UV protection, and deodorization of silk fabric using a hot-water extract of an Acorus gramineus solander leaf. Textile Science and Engineering, 57(1), 31-41.
[https://doi.org/10.12772/TSE.2020.57.031]
-
Yi, E. J., Lee, S. H., & Choi, J. M. (2022). A comparative study of color emotion and preference of Koreans and Chinese for two-color combination by naturally dyed fabrics with persimmon and indigo. Journal of the Korean Society of Clothing and Textiles, 46(1), 33-48.
[https://doi.org/10.5850/JKSCT.2022.46.1.33]
-
Zhou, Q., Rather, L. J., Mir, S. S., Ali, A., Haque, Q. M. R., & Li, Q. (2022). Bio colourants from the waste leaves of Ginkgo biloba L. tree: Wool dyeing and antimicrobial functionalization against some antibiotic-resistant bacterial strains. Sustainable Chemistry and Pharmacy, 25, 100585
[https://doi.org/10.1016/j.scp.2021.100585]


