
환경 및 섬유 특성이 멀티레이어 직물시스템의 투습성에 미치는 영향
©2023 Fashion and Textile Research Journal (FTRJ). This is an open access journal. Articles are distributed under the terms of the Creative 52 Commons Attribution Non-Commercial License (http://creativecommons.org/licenses/by-nc/4.0), which permits unrestricted use, distribution, and reproduction in any medium, provided the original work is properly cited.
Abstract
This study aimed to determine the effects of relative humidity and fiber properties on the moisture permeability of multilayer systems by measuring water vapor transmission in the overlapping condition of various fabrics. The results confirmed that the property of the fabric in contact with the humid environment affects the moisture permeability. If the layer facing the humid environment is hydrophobic and the layer facing the dry environment is superhydrophobic, water vapor transmission increases by up to 17.8% compared to the opposite conditions. Comparing the correction values of the water vapor transmission reflecting the thickness of the specimen under the multilayer condition showed that permeability was higher when the hydrophilic or hydrophobic layer was facing the humid environment. The opposite was true from the “push-pull” effect of absorption mechanism. In the case of moisture permeability, the more hydrophilic the surface facing the humid environment, the more permeable that water vapor diffuses and passes through. It was concluded that the “pull-push” effect, in which water vapor diffuses widely through the hydrophilic facing a humid environment and then passes through the hydrophobic layer, contributes to the improvement of permeability. Permeability differed according to the multilayer overlapping condition. When the relative humidity was high, the “pull-push” effect was insignificant. This is caused by water droplets absorption after the partial migration of water due to condensation. These results suggest that the overlapping conditions and properties of fabrics should vary depending on heavy sweating or not.
Keywords:
moisture permeability, wearing comfort, hydrophobic textiles, hydrophobic fiber, push-pull effect키워드:
투습성, 쾌적성, 소수성 소재, 소수성섬유1. 서 론
최근 발수 소재, 방수 소재, 흡한속건 소재 등이 활용된 일상복이 다양하게 상품화되었다. 이러한 경향은 현대 소비자들이 일상복에서도 쾌적성을 중요하게 생각하며 기능성 소재가 활용된 의복을 선호하기 때문이다. 이들 기능성 소재는 가공으로 인해서 소재 본연의 특성이 변화하고 촉감과 태가 나빠지기도 한다(Xing et al., 2022). 특히 가공제가 소재의 기공을 막아서 통기성과 투습성이 저하되거나, 흡습성이 나빠지는 문제가 나타나 이를 해결하기 위해서 쾌적 가공기술에 대한 연구가 집중적으로 이루어지기도 하였다. 소비자는 쾌적성을 목적으로 기능성 의복을 선호하지만 기능성 의복만 아니라 내의와 외투 등을 함께 착용하므로 소재의 투습성이 향상되었다고 하더라도 이것이 착용자의 쾌적성 향상으로 이어지기는 힘들다.
가공 기술의 발전에 따라 소재의 쾌적성이 향상되었음에도 불구하고 흡습 및 투습 성질이 다른 소재가 여러 층으로 겹쳐진 착용 상황으로 인하여 발수 소재의 향상된 쾌적성이 그 기능을 발휘하기 어렵게 된다. 땀의 흡수와 투습은 쾌적성과 직결되는 중요한 영향요인이다. 내의로 땀이 원활하게 흡수되고 증발하는 과정에서 체표면으로부터 열의 방산이 이루어져 체온조절을 돕는데, 땀이 투습되지 않으면 내의가 젖고 의복 내 온도와 습도가 증가하면서 발한이 촉진되거나 땀이 급격하게 식어 추위를 느끼는 등 쾌적성이 저하된다(Chang et al., 2019).
소재의 발수성을 구현하기 위해서 직물 표면의 표면에너지를 낮춰야 하는데, 이를 위하여 불소 혹은 실리콘 계열의 가공제로 표면을 코팅하는 것이 대표적인 발수소재 가공법이다. 즉 발수성을 구현하기 위해서 나일론이나 폴리에스터와 같은 소수성 섬유에 소수성 가공제를 코팅하는데, 이러한 가공 과정에서 섬유가 가지는 약간의 친수성 마저 사리지고 기공이 막히면서 흡습성과 투습성이 낮아지게 된다(Park et al., 2015). 이러한 문제점을 해결하기 위해서, 면이나 레이온 섬유와 같은 친수성 소재에 발수 가공을 하거나 소재 전체가 아닌 편면만 코팅하는 방법 등이 다양하게 제안되었다(Jahid et al., 2018; Lim et al., 2010; Liu et al., 2012). 최근에는 흡한속건 및 소수성 소재와 관련하여 우수한 수분전달 특성을 부여한 소재가 다수 개발되었다. 그 중 단일 소재가 아닌 소수성과 친수성 섬유가 공존하는 이중 구조의 경우, 수분 전달 특성이 변화한다는 연구도 보고되었다(Babar et al., 2018; Dong et al., 2015; Ju et al., 2017; Supuren et al., 2011). Supuren et al.(2011)의 연구에서 폴리프로필렌과 면섬유로 표면과 이면을 다르게 편직하여 이중직편성물을 만들고 흡수량과 흡수 속도를 비교하였는데, 표면이 친수성이고 피부와 닿는 이면은 소수성일 때, 수분 이동이 빠르게 많이 일어났다. Dong et al.(2015)의 연구에서도 셀룰로오스 매트에 폴리비닐리덴플로우라이드(polyvinylidene fluoride, PVDF) 성분을 전기방사한 이중 구조 소재를 개발하고 흡수성을 평가한 결과, 표면과 이면의 흡수율이 다름을 확인하였다. Baber et al.(2018)은 소수성의 나노웹에 초소수성의 아세테이트를 전기방사하여 얻은 이중 구조 소재가 단일 소재보다 젖음 속도가 더 빠르게 관찰된다고 보고하였다. 이러한 연구들은 친수성과 소수성 혹은 소수성의 정도가 다른 물질이 서로 접해있으면 소수성에서 친수성으로, 초소수성에서 소수성으로 수분 흡수 및 이동 속도가 향상된다는 ‘push-pull effect’ 현상을 공통적으로 확인하였다. 한편, Miao et al.(2018)은 열적 쾌적성 향상을 위해서 가수분해된 폴리아크릴로니트릴(PAN) 섬유층, PU-PAN의 중간층, 소수성 폴리우레탄층의 멀티레이어 구조의 나노 멤브레인을 제조하였다. 그 결과 수분이 가수분해된 폴리아크릴로니트릴 섬유층에서는 넓고 빠르게 흡수가 촉진되고 PU-PAN층을 통해서 점진적으로 흡수되다가 소수성 폴리우렌탄 층을 통해서 빠져나가는 것을 확인하였다. 즉 소재의 소수성에 구배를 두어서 방향성이 있는 수분전달 특성을 구현한 것이다.
투습성은 의류소재의 내·외부 환경의 수증기 농도 차이에 의한 수증기 확산 현상으로 기본적으로 의류소재의 두께와 흡습성에 큰 영향을 받는다. 또한 Gibson(1993)에 따르면, 수증기가 의류소재를 통과하는 내부 공기의 저항, 의류소재의 투습저항, 의류소재의 최근접 공기층의 저항에 따라서 투습 속도가 결정된다고 하였다. 즉 발수 소재 자체의 투습성 개선만큼 겹쳐 입는 의복의 소재에 따라서 총 의복의 투습성이 크게 달라질 수 있음을 의미한다. 이러한 투습 매커니즘과 ‘push-pull effect’ 현상을 종합해보면, 투습성을 증대시킬 수 있도록 겹쳐 입는 의복의 소재에 대한 착의 조건의 탐색 및 제안이 가능하다. 현재까지 여려 겹을 겹쳐서 착용하는 착의 상황을 시뮬레이션하여 쾌적성과 관련된 다양한 연구가 보고되었지만, 소재의 소수성구배가 다른 겹침 조건에서 투습성 증대에 기여하는 겹침조건이나, 투습 메커니즘에 영향을 미치는 의류소재의 소수성 정도에 대해서 연구한 사례는 거의 없다.
본 연구에서는 멀티레이어 의복 착용 상황을 모사하기 위해서 발수 가공한 소재와 다양한 옷감의 겹침 구조에서의 투습량을 측정하여 환경 조건과 직물의 소수성 차이가 투습성에 미치는 영향을 확인하고자 한다. 이를 위해서, 소수성 섬유로 편직된 이중직 편성물을 그대로 이용하거나, 한쪽 면만 발수 코팅한 경우, 혹은 면 100%, 폴리에스터 100% 소재를 다양한 순서로 겹쳐서 의복의 착의 상황을 모사하고, 의복 내 습도가 표준의 65%RH 조건과 고습도의 95%RH인 조건에서 각 조건별 투습량을 측정하였다. 이를 통해서 소수성 정도가 다른 의복들의 착의 상황에서 투습성에 대한 실험적 데이터를 얻고 이를 바탕으로 투습성이 향상될 수 있는 멀티레이어 의복 착의의 가능성을 확인하고자 한다.
2. 실 험
2.1. 시료
실험을 위한 시료는 Table 1과 같이 준비하였다. 시료D은 이중직 편성물로 다양한 소재를 겹쳐서 착용하는 착의 상태를 모사하기에 유리한 구조를 가졌으므로 선택하였다. 시료 D는 폴리에스터와 나일론 섬유로 편직되었고, 표면 초소수성의 영향을 확인하기 위해서 미처리된 시료와 발수 가공제로 표면만 롤코팅한 시료 두가지를 준비하였다. 시료 D의 발수 처리하지 않은 면은 U, 발수 처리한 면은 WR로 표기하였다. 내의 등을 착용하는 상황, 즉 멀티레이어 상황에서는 내의 소재의 소수성 정도가 투습성에 영향을 미칠 수 있다는 가능성을 확인하고자 시료 C, P를 활용하였다. 일반적인 내의로는 흡습성이 우수한 면소재가 주로 활용되므로 시료 C는 면 100% 평편 소재를, 흡한속건과 같은 기능성 내의는 폴리에스터 혹은 나일론 소재가 주로 활용되므로 시료 P는 폴리에스터 100% 평편 소재를 선택하였다.
모든 시료는 구입하여 사용하였으며, 투습성에 영향을 미칠 수 있는 요인인 밀도, 무게, 두께는 동일하거나 유사한 조건으로 선택하였다.
2.2. 멀티레이어 조건
소수성과 초소수성, 소수성과 친수성과 같이 소수성의 정도가 서로 다른 시료가 겹쳐졌을 때, 투습성의 차이를 확인하기 위해서 Fig. 1과 같이 겹침 조건을 설계하였다.
우선 표면의 소수성 차이가 투습성에 미치는 영향을 확인하고자 이중직 시료 D와 편면 발수코팅 이중직 시료를 대상으로 실험을 진행하였다. Fig. 1(a)조건은 이중직 편성물의 발수 가공한 표면이 위로 향하는 조건으로 습윤환경쪽으로 소수성 표면이 향한다. Fig. 1(d) 조건은 발수 가공한 표면이 아래로 향한 조건으로 습윤환경쪽에 초소수성 표면이 향한다. 이를 미가공 이중직 시료와 비교해서 표면 소수성의 차이에 따른 투습성을 먼저 확인하였다.
다음으로 내의 등의 멀티레이어 의복 착용 상황에서 수분에 대한 친화도 차이가 투습성에 미치는 영향을 살펴보고자 편면 발수코팅 이중직 시료와 시료 C, 그리고 P를 위 아래로 겹쳐서 투습성을 측정하였다. Fig. 1의 (b)와 (e)는 시료 P를 겹쳐서 소수성 레이어가 확대된 경우를 모사하고 Fig. 1의 (c)와 (f)는 시료 C를 겹쳐서 친수성 레이어가 확대된 상황을 모사한다. Fig. 1(b)조건은 발수 가공한 표면이 위로 향한 이중직 시료 위에 시료 P가 겹쳐진 조건으로 습윤환경 쪽으로 소수성 표면이 향한다. Fig. 1(c) 조건은 시료 C위에 발수 가공한 표면이 위로 향한 이중직 시료가 겹쳐진 조건으로 습윤환경 쪽으로 친수성 표면이 향한다. Fig. 1(e)조건은 시료 P위에 발수 가공한 표면이 아래로 향한 이중직 시료가 겹쳐진 조건으로 습한 환경에 소수성 표면이 향한다. Fig. 1(f)조건은 발수 가공한 표면이 아래로 향한 이중직 시료위에 시료 C가 겹쳐진 조건으로 습윤환경에 초소수성 표면이 향한다.
2.3. 투습성 측정
각 조건에서의 투습성은 ASTM E96-80(Standard test method for water vapor transmission of materials) 염화칼슘법으로부터 측정 환경의 습도를 수정하여 측정하였다. 측정 환경 조건은 환경 온도 35 ± 2oC이며, 상대습도 65 ± 5% RH 조건과 95 ± 5% RH 조건으로 다르게 하여 일반적인 상황과 인체의 발한이 있는 상황을 모사하여 설정하였다.
투습성은 염화칼슘(CaCl2) 33g 담긴 투습컵에 지름 8cm의 크기의 시료를 덮어 준비하여 각 측정환경 별로 설정한 항온항 습기 안에서 측정하였다. 실험 시작 1시간 동안 방치하여 투습컵의 초기 무게(a1)를 측정한 후 다시 1시간 후의 무게(a2)를 측정하고 단위면적당 24시간 동안의 투습량을 <Eq.1>의 식에 따라서 환산하여 투습도(Water vapor permeability, WVP(g/m2·24hrs))를 계산하였다. 각 겹침 조건별로 시료는 서로 다른 부위를 채취하여 3회를 측정하여 평균하였다.
| Eq. 1. |
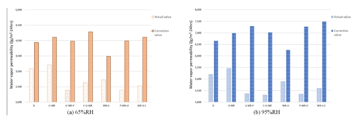
의류소재의 두께는 투습성에 크게 영향을 미칠 수 있는 요인으로 의류소재의 두께와 투습량은 역의 관계에 있다. 시료 C와 P가 더해진 멀티레이어 겹침 조건에서는 두께가 투습량에 지배적인 영향을 미쳐서 습윤환경에 접하는 의류소재의 소수성 정도에 따른 투습량의 차이를 확인하기 힘들다. 이러한 이유로 두께 요인을 배제하기 위하여 시료 C와 P를 겹친 멀티레어어 조건에서는 투습량에 두께를 곱하여 계산한 보정값으로 비교분석하였다.
2.4. 표면 특성 평가
시료 표면의 형상을 확인하기 위해서 주사전자 현미경(Scanning Electron Microscope, Emcrafts, Cube-II, South Korea)을 이용하였다. 시료의 전도성 향상을 위한 전처리로 모든 시료에 대해서 진공상태에서 금(Au)으로 160초 동안 스퍼터링 코팅하였다. 시료는 가속 전압 10 kV 조건에서 관찰되었다.
시료의 소수성을 확인하기 위해서 접촉각 측정 장치(Theta Lite Optical tensiometer, KSV Instrument, Finland)를 활용해서 정적 접촉각을 측정하였다. 시료와 물방울간 거리는 약 1 cm이며, 3.5 ± 0.5 μl의 증류수를 떨어뜨리고 1초 내의 접촉각을 측정하였다. 접촉각은 측정 부위를 서로 다르게 하여 10회 측정하여 평균하였다.
3. 결과 및 논의
3.1. 표면 특성
의류소재의 다양한 표면 특성 중에서 표면 형상과 표면 젖음성은 투습성에 영향을 미치는 주요 인자 중 하나이다(Cubric et al., 2013). 표면 형상은 시료를 이루는 섬유 및 실의 굵기, 편직 구조에 따라서 달라지고 그에 따라 표면의 기공 분포와 면적이 달라질 수 있다. 또한 표면 젖음성을 확인할 수 있는 표면 접촉각은 섬유 표면의 표면에너지와 표면 거칠기의 영향을 받으므로 각 시료의 소수성 정도를 비교할 수 있다.
먼저, 투습성에 영향을 미칠 수 있는 표면 형상을 확인하고자 각 시료 표면을 관찰한 결과는 Fig. 2와 같다(Fig. 2). 각 시료는 동일한 구조이며, 유사한 굵기의 원사로 편직 되었음을 확인할 수 있다. Fig. 2(a)와 (c)는 시료 D의 발수가공 전후 표면을 나타낸 것으로, 전체적인 표면 형상은 발수가공 의해 변화하지 않았다. 하지만 배율을 1000배 확대하여 관찰한 Fig. 2(b)와 (d)를 비교해보면 Fig. 2(d)에서 발수 가공제 물질이 섬유표면과 섬유 사이에 균일하게 분포되어 있음을 확인할 수 있다. 즉 발수 가공으로 인해서 표면 형상의 변화는 일어나지 않았지만 가공제로 인하여 일부의 미세 기공은 막히거나 면적이 감소했을 것으로 예상된다. 한편, 발수가공제가 시료의 이면에서는 발견되지 않았기 때문에 편면 코팅이 이중직 시료의 이면의 소수성에는 영향을 미치지 않은 것으로 판단된다. Fig. 2(e)와 (g)는 각각 시료 C과 시료 P의 표면으로 동일한 평편 구조를 보인다. 다만 조직감이 뚜렷하고 매끈한 시료 P와는 달리 시료 C는 표면에 잔털이 많고 표면 요철이 더 크게 보이는데, 이는 방적사와 필라멘트사라는 구성 실의 특성 때문이다.
Scanning electron microscopy images of (a)uncoated surface of D, (c)coated surface of D, (e)C, (g)P, (b, d, f and h is a 1000-fold magnification of a, c, e and g).
시료의 소수성 정도는 시료 표면에너지와 시료 표면의 거칠기 정도에 따라 결정되며, 정적 접촉각으로 확인할 수 있다. Table 2는 각 시료의 접촉각을 나타낸 것이다. 시료 D의 발수 가공하지 않은 표면 접촉각은 140.8o으로 소수성을 띄었으나, 물방울을 떨어뜨리고 평균 320초 후 완전히 스며들었다. 반면 시료 D의 발수가공한 표면 접촉각은 154.0o이며 물방울은 완전히 증발할 때까지 스며들지 않고 구형을 유지하였다. 또한 시료를 90° 정도 기울이면 굴러 떨어지는 현상을 보여 초소수성 표면임을 확인하였다. 시료 C 접촉각은 125.4o로 물방울을 적하한 직후에는 비교적 높았으나 평균 30초 전후로 완전히 스며드는 경향을 보였다(Fig. 3). 이는 면섬유 소재의 표면에 잔털이 많아 소재 표면과 물방울 사이에 일시적으로 공기층(air-pocket)이 형성되어 나타나는 현상이라고 추측된다. 하지만 시간이 흐르면서 공기층을 잃고 점차 흡수가 시작되어 친수성 소재의 특성을 보였다. 시료 P의 접촉각은 136.7°로 시료 D의 발수가공하지 않은 표면과 유사한 소수성을 보였다. 하지만 물방울을 적하한 후 평균 17초 전후로 빠르게 흡수되어 흡한속건 소재의 특성이 일부 관찰되었다.
접촉각 측정 결과와 시료의 젖음 속도를 통해서 표면 WR은 초소수성, 표면 U와 시료 P는소수성, 시료 C는 친수성으로 구분하였다.
3.2. 이중직 표면 소수성에 따른 투습성
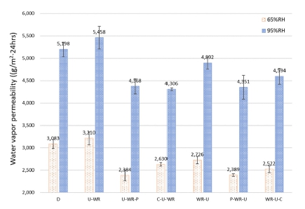
이중직은 Fig. 5와 같이 발수가공하지 않는 면과 발수가공한 면을 잇는 기둥실이 존재하여 더블레이어 구조를 이룬다(Fig. 5). 이중직 표면의 소수성 정도가 투습성에 미치는 영향을 확인하기 위해서 상대습도에 따른 시료 D, C, P의 투습성을 평가하였다(Fig. 6).
직물의 투습성은 수분의 농도 구배에 따라 방향성이 결정되며, 일반적으로 습도가 높은 곳에서 낮은 곳으로 수분이 이동하여 투습이 일어난다(Yoon & Lee, 2011). 본 연구에서는 염화칼슘을 이용하여 투습컵 내부의 습도를 낮췄으므로 주변 환경으로부터 직물을 통해 투습컵 쪽으로 수분이 이동하게 된다. 이러한 투습 매커니즘에 따라 상대 습도가 65%RH보다 95%RH로 높을 때 모든 시료에서 더 높은 투습량을 나타냈다. 또한 섬유조성에 따라서는 소수성보다 친수성 섬유에서 높은 투습성을 보였다.
시료 D, 겹침 조건 U-WR와 WR-U의 투습량을 살펴보면, 발수가공하지 않은 시료 D에 비해서 조건 U-WR는 상대습도 65%RH일 때 4.1%, 상대습도 95%RH일 때 약 5%로 투습량이 증가하였다. 반면, 발수가공하지 않은 시료 D에 비해서 조건 WR-U는 상대습도 65%RH일 때 11.6%, 습도 95%RH일 때 5.9% 정도 투습량이 감소하였다. 겹침 조건 U-WR와 WR-U를 비교하면 조건 WR-U보다 조건 U-WR가 상대습도 65%RH일 때 17.8%, 상대습도 95%RH일 때는 11.6% 투습량이 크다. 결과적으로 동일한 소재임에도 불구하고 습윤환경에 노출되는 표면 특성에 따라 투습성이 다르게 나타남을 확인하였다. 특히 발수가공으로 인한 미세 기공의 감소에도 불구하고 습윤환경에 소수성 표면이 향하면 오히려 투습성이 증대하였다.
Dong et al.,(2015)과 Ju et al.,(2017) 연구에서는 소수층은 수분과의 친화성이 낮기 때문에 흡습을 하기보다 밀어내는 역할을 하고 친수층은 수분을 넓고 많이 흡수하여 수분을 이동시키는 역할을 한다는 ‘push-pull’ 효과를 확인하였다. 하지만 본 연구에서 조건 U-WR에서 수증기압 차이에 의해서 소수층에서 수증기가 넓고 균일하게 퍼져서 이동하고 수분과의 친화성이 없는 초소수층에서는 빠르게 통과하여 투습성이 향상된 것으로 판단된다. 반면 조건 U-WR의 투습성 감소는 습윤환경에 초소수층이 향하고 있으므로 초소수층이 수증기의 이동을 방해하여 수증기가 넓고 균일하고 펴지지 못한 결과라고 추측된다. 이와 같이 소재의 흡수속도와 방향성을 설명하는 ‘push-pull effect’와 반대로 투습 현상에서는 ‘pull-push’의 순서로 수분의 이동이 나타났는데, 이는 Miao et al.(2018)의 연구에서 그 근거를 찾을 수 있다. Miao et al.(2018)에 따르면 소재 내부로 물방울이 넓게 펴지지 않고 물방울의 압력 및 모세관 현상에 의해 소재의 표면을 우선 통과하는 것이 수분 전달에 유리하다고 해석했다. 하지만 투습 시에는 물방울의 압력이나 모세관 현상이 일어날 수 없으므로 물의 흡수와 이동과는 다른 매커니즘으로 투습이 일어난다. 즉 투습은 수증기압의 차이에 의한 확산이 중요하기 때문에 습윤환경에 접하는 소재는 수분과의 친화력으로 수증기가 고르고 넓게 이동하는 ‘pull’이 우선이고, 다음으로 초소수층에서 수증기가 빠르게 통과하는 ‘push’가 일어난다고 해석할 수 있다.
한편, 시료 D, C, P의 두께 차이에 비해서 투습량 차이는 미미한데, 이것은 이중직 구조가 표면과 이면을 연결하는 중간에 기둥실만 존재하여 비어 있으므로 두께에 반비례하는 투습량 차이가 나타나지는 않았다.
3.3. 멀티레이어 직물 시스템에서의 투습성
실제 의복 착용 시 내의 착용 등으로 다양한 소재가 멀티레이어 형태로 겹쳐지는 조건을 모사하기 위해서 소수성과 친수성 시료를 U-WR-P, C-U-WR, P-WR-U, WR-U-C의 조건으로 겹치고 친수층 혹은 소수층의 확대에 따른 투습성의 차이를 확인하였다. 각 겹침 조건 별 투습성 결과는 Fig. 7과 같다. 멀티레이어 겹침 조건은 U-WR와 WR-U에 비해서 전반적으로 투습성이 감소하였다. 시료가 멀티레이어로 겹쳐지면서 두께 증가와 시료사이 공기층의 투습저항으로 인해서 투습량이 감소하였다. Fig. 7에서 나타나 듯 겹침 조건의 차이에 따른 투습성차이에 경향성을 확인하기 어려웠다.
멀티레이어 겹침 조건에서 투습성을 평가하는 것은 소수성에 차이가 있는 다양한 소재가 겹쳐질 때, 소수성의 구배가 투습성에 미치는 영향을 확인하기 위함이다. 하지만 멀티레이어 겹침 조건에서 두께 증가는 필연적이고 소재의 두께는 투습성을 저하시키는 중요한 인자이다. 이러한 이유로 투습성에 영향을 미치는 두께 요인을 배제하기 위해서 투습량을 보정하여 투습도를 비교하였다. Fig. 8(a)는 습도가 65%RH일 때, 각 겹침조건의 투습량과 소재 두께를 반영한 보정값을 비교한 결과이다(Fig. 8). 두께 인자를 반영한 결과, 전반적으로 이중직 편성물만 사용하는 조건 U-WR와 WR-U에 비해서 멀티레이어 조건 C-U-WR , P-WR-U, WR-U-C는 유의미한 투습량 증가를 보였다. 특히 C-U-WR 의 투습량이 가장 높았다. 습윤환경에 친수층이 접해 있고 다음 소수층, 최외층이 초소수층으로 구성되어 순차적으로 소수성이 증대된 멀티레이어 구조에서는 면섬유의 친수성이 수증기를 다량으로 흡착하면서 수증기의 확산이 촉진되었다고 예상된다.
Fig. 9는 친수성 및 소수성의 구배가 투습성에 미치는 영향을 설명하는 도식이다(Fig. 9). 습윤환경에 초소수층이 배치되어 있는 Fig. 9(a)와 비교하여 Fig. 9(b)는 습윤환경에 소수층이 향한 상황으로 수증기가 수평 방향으로 비교적 쉽고 넓게 확산된다. 또한 Fig. 9(c)의 경우, 습윤환경에 친수층이 있기 때문에 많은 수증기가 친수성 섬유 사이로 쉽게 확산될 수 있고, 그대로 소수층과 초소수층을 통과하여 투습량이 증대된다. 이러한 수증기의 확산 투습 현상은 현재 시판 중인 심파텍스(SympaTex®)와 같은 투습방수 소재가 무공성 멤브레인에서 투습성을 구현하는 원리와 유사하기도 하다. 이와 같은 ‘pull-push’ 효과의 영향으로 습윤환경에 소수성 표면이 향하는 조건 U-WR-P와 P-WR-U에서는 상대적으로 투습성이 낮은 경향을 보인다.
Fig. 8 (b)는 상대습도가 95%RH일 때, 각 겹침 조건의 투습량과 소재 두께를 반영한 보정값을 비교한 결과인데, 상대습도가 65%RH인 경우와 다른 경향을 보인다(Fig. 8). 두께 인자를 반영한 결과, 조건 WR-U-C의 투습량이 가장 컸고, 다음으로 조건 U-WR-P, P-WR-U의 순서로 투습량이 컸다. 상대습도 95%HR에서 습윤환경에 친수성 소재가 향한 조건 C-U-WR은 상대적으로 낮은 투습량을 보였다. 즉 습윤환경에 접한 면의 성질이 초소수성에 가까울수록 투습량이 높은 경향을 보였다. 이것은 상대습도가 높으면 투습이 일어나는 소재의 일부 공간이 포화수증기 상태가 되어 물방울이 맺히면서 나타난 결과로 보인다. 즉 투습 뿐만 아니라 액체 상태의 수분이 초소수층 혹은 소수층을 빠르게 통과하고 친수층에서는 넓게 확산되는 형태의 수분 이동이 동시에 일어났기 때문으로 판단된다.
4. 결 론
본 연구에서는 멀티레이어 착의 상황에서 소재의 겹침 조건에 따라 친수성 혹은 소수성과 같은 소재의 성질이 투습성에 미치는 영향을 확인하고자 하였다. 이를 위해서 표면의 소수성이 서로 다른 소재를 활용해서 겹침 순서가 다양한 멀티레이어 시스템을 설계하여 의복 착용 상태를 모사하고 환경 조건과 소재 성질에 따른 투습성을 평가하였다. 시료는 이중직 편성물 소재를 기본으로 하되 시료 소수성 정도를 다르게 하기 위해서 편면만 발수 가공한 이중직 시료를 사용하였고, 겹침 조건을 다양하게 모사하기 위해 면과 폴리에스터 편성물 시료를 함께 활용하였다. 겹침 조건은 이중직 시료 D의 코팅 면을 습윤환경 혹은 건조 환경으로 두는 방향의 차이를 기본으로 하고, 시료 D의 위 혹은 아래에 면과 폴리에스터 시료 를 서로 다르게 겹쳐서 3개의 성질이 다른 층이 구현되도록 멀티레이어를 구성하였다.
모든 시료의 친수성 및 소수성의 정도는 표면 접촉각과 젖음 속도를 측정하여 확인하였다. 이중직 편성물인 시료 D과 P는 소수성 표면이였고, D의 발수 가공한 WR표면은 접촉각 150o 이상의 초소수성을 보였으며, 시료 C은 물방울 적하 후 30초 전후 모두 흡수되는 친수성 표면이였다. 이러한 표면의 소수성 차이 때문에 각 겸침 조건에 따라 동일한 소재지만 서로 다른 투습성을 보였다. 결과적으로, 습윤환경에 접하는 소재의 소수성 정도와 겹침 조건에 따라 투습성이 달라진다는 것을 확인하였다. 편면 코팅으로 표면과 이면의 수분특성이 다른 이중직 편성물에서는 습윤환경에 접한 표면이 소수성, 건조환경에 접한 표면이 초소수성이면, 투습성이 최대 17.8% 증대되었다. 또한 발수 가공을 하지 않아서 기공이 감소하지 않은 미처리 이중직 시료와 비교해도 최소 4%이상 높은 투습량을 보였다. 습윤환경에 접한 표면의 성질이 투습성에 미치는 영향은 멀티레이어 겹침 조건에서는 좀 더 명확하게 확인할 수 있다. 멀티레이어의 두께의 영향을 고려해서 투습량의 보정값을 비교해보면, 습윤환경에 접한 소재의 성질이 친수성 일수록 높은 투습성을 보였다. 이러한 결과는 흡수 매커니즘에서 ‘push-pull’ 효과를 증명한 선행연구와는 다른 결과로, 투습이 일어날 때, 습윤환경에 접한 표면이 친수성 일수록 수증기가 충분히 확산된 다음 통과하는 ‘pull-push’ 효과가 나타났다. 즉, 의류소재의 소수성 구배는 액체 상태의 수분이동과 수증기의 투습 현상에 서로 다르게 영향을 미치고 투습 시 습윤환경에 접한 친수층을 통해서 수증기가 넓고 확산된 후 소수층을 통과하는 것이 투습성 향상에 유리하다는 결론을 얻었다. 한편, 상대습도에 따라서도 멀티레이어 겹침 조건에 따른 투습성의 경향이 서로 다르게 나타났는데, 본 연구에서는 상대습도가 95%RH로 충분히 높으면 ‘pull-push’효과가 미미하게 나타났다. 이것은 습도가 높아서 물방울이 쉽게 응결되면서 의류소재로의 흡수에 의한 수분 이동 현상이 부분적으로 일어나는 것이 원인이라고 추측된다. 즉 기체상태의 수분과 액체상태의 수분 이동이 동시에 존재하기 때문에 수분이동 매커니즘이 다양하게 작용함에 따라 ‘pull-push’ 효과에 의한 경향성을 파악하기 힘들었다. 이러한 결과를 통해서, 일반적인 상황과 운동 등으로 땀이 매우 많이 나는 상황, 혹은 외부 환경의 높은 상대습도로 인하여 피부와 의복사이 상대 습도가 높은 상황 등 상황에 따라 의류소재의 겹침조건 및 소재의 종류가 서로 달라져야 함을 시사하고 있다.
본 연구는 의류소재의 소수성 정도가 다른 소재를 다양하게 겹쳐서 착용하는 실제 의생활 때문에 쾌적 가공기술의 발전에도 불구하고 소재의 우수한 투습성이 의복의 쾌적성으로 이어지지 못하는 문제점을 확인하고 다양한 소재가 겹쳐진 상황에서 의류소재의 친수성 혹은 소수성이 투습에 미치는 영향을 확인하였다. 또한 투습성 향상에 기여할 수 있는 ‘pull-push’ 효과를 실험적으로 확인하고 소수성의 구배가 존재하는 다층 구조의 기능성 의복 설계에 기초정보를 제공하고자 하였다. 의류소재의 투습에는 습윤환경에 접한 면이 친수성 일수록 건조환경에 접한 면은 소수성일수록 유리하다는 결론을 통해서 투습량을 증대시킬 수 있도록 단일 소재보다 소수성에 차이를 둔 친수성-소수성-초소수층의 멀티레이어 구조를 제안할 수 있다. 또한 실제 착의 환경에서 투습에 도움이 되는 내의와 중의 소재, 기능성 직물의 구조를 선택하는데, 기준이 되는 기초자료로서 의미가 있다. 그러나 실험 방법의 특성 상 공기층의 투습 저항을 완전히 배제하고 소재 성질에 따른 투습성의 차이를 확인할 수 없었으므로 시료의 두께와 밀도, 기공도 등을 정밀하게 제어하거나, 공기층의 투습 저항을 배제할 수 있는 실험 방법의 보완 등을 통한 후속연구를 수행함으로써 투습 매커니즘에서 ‘pull-push’ 효과를 정량적으로 명확하게 밝히는 것이 필요하다.
References
- American Society for Testing and Materials, (2010). E96-80 Standard Test Methods for Water Vapor Transmission of Materials, West Conshohocken: ASTM International
-
Babar, A. A., Miao, D., Ali, N., Zhao, J., Wang, X., Yu, J., & Ding, B. (2018). Breathable and colorful cellulose acetate-based nanofibrous membranes for directional moisture transport. ACS Applied Materials & Interfaces, 10(26), 22866-22875.
[https://doi.org/10.1021/acsami.8b07393]
- Chang, I., Bae, J., Lim, J., Bae, H., Kim, J., Cho, H. (2019). human surface temperature and thermal radiation signature depending on clothing evaporative resistance. Journal of the KIMST the Spring and Fall Conference 1746-1747.
-
Cubric, I. S., Skenderi, Z., & Havenith, G. (2013). Impact of raw material, yarn and fabric parameters, and finishing on water vapor resistance. Textile Research Journal, 83(12), 1215-1228.
[https://doi.org/10.1177/0040517512471745]
-
Dong, Y., Kong, J., Mu, C., Zhao, C., Thomas, N. L., & Lu, X. (2015). Materials design towards sport textiles with low-friction and moisture-wicking dual functions. Materials & Design, 88, 82-87.
[https://doi.org/10.1016/j.matdes.2015.08.107]
-
Gibson, P. W. (1993). Factors influencing steady-state heat and water vapor transfer measurements for clothing materials. Textile Research Journal, 63(12), 749-764.
[https://doi.org/10.1177/004051759306301208]
-
Jahid, M. A., Hu, J., Wong, K., Wu, Y., Zhu, Y., Sheng Luo, H. H., & Zhongmin, D. (2018). Fabric coated with shape memory polyurethane and its properties. Polymers, 10(6), 681.
[https://doi.org/10.3390/polym10060681]
-
Ju, J., Shi, Z., Deng, N., Liang, Y., Kang, W., & Cheng, B. (2017). Designing waterproof breathable material with moisture unidirectional transport characteristics based on a TPU/TBAC tree-like and TPU nanofiber double-layer membrane fabricated by electrospinning. RSC advances, 7(51), 32155-32163.
[https://doi.org/10.1039/C7RA04843B]
-
Lim, H. S., Park, S. H., Koo, S. H., Kwark, Y. J., Thomas, E. L., Jeong, Y., & Cho, J. H. (2010). Superamphiphilic janus fabric. Langmuir, 26(24), 19159-19162.
[https://doi.org/10.1021/la103829c]
-
Liu, Y., Xin, J. H., & Choi, C. H. (2012). Cotton fabrics with single-faced superhydrophobicity. Langmuir, 28(50), 17426-17434.
[https://doi.org/10.1021/la303714h]
-
Miao, D., Huang, Z., Wang, X., Yu, J., & Ding, B. (2018). Continuous, spontaneous, and directional water transport in the trilayered fibrous membranes for functional moisture wicking textiles. Small, 14(32), 1801527.
[https://doi.org/10.1002/smll.201801527]
-
Park, S., Kim, J., & Park, C. H. (2015). Superhydrophobic textiles - Review of theoretical definitions, fabrication and functional evaluation. Journal of Engineered Fibers and Fabrics, 10(4).
[https://doi.org/10.1177/155892501501000401]
-
Supuren, G., Oglakcioglu, N., Ozdil, N., & Marmarali, A. (2011). Moisture management and thermal absorptivity properties of double-face knitted fabrics. Textile Research Journal, 81(13), 1320-1330.
[https://doi.org/10.1177/0040517511402122]
-
Yoon, B., & Lee, S. (2011). Designing waterproof breathable materials based on electrospun nanofibers and assessing the performance characteristics. Fibers and Polymers, 12, 57-64.
[https://doi.org/10.1007/s12221-011-0057-9]
-
Xing, L., Zhou, Q., Chen, G., Sun, G., & Xing, T. (2022). Recent developments in preparation, properties, and applications of superhydrophobic textiles. Textile Research Journal, 92(19-20).
[https://doi.org/10.1177/00405175221097716]









