
린넨 직물의 번수에 따른 최적 반응성 염료의 염색성 및 염색견뢰도 연구
©2022 Fashion and Textile Research Journal (FTRJ). This is an open access journal. Articles are distributed under the terms of the Creative 52 Commons Attribution Non-Commercial License (http://creativecommons.org/licenses/by-nc/4.0), which permits unrestricted use, distribution, and reproduction in any medium, provided the original work is properly cited.
Abstract
In this study, we constructed a database of dyeing concentrations of all reactive dyes used for dyeing linen according to the thickness of the linen fabric and attempted to improve the reproducibility of the dyeing process for the commercialization of linen fabric materials. Linen fabric is a natural cellulose material that is comfortable and suitable for eco-friendly trends. It is a typical summer material with excellent breathability and thermal conductivity, quick moisture absorption and dissipation, and a cool touch. Dyeability and fastness were evaluated depending on the thickness of the linen fabric using a monochlorotriazine (MCT) reactive dye and bifunctional yellow, red, and blue dyes. All three colors of the MCT reactive dye and bifunctional dyes exhibited a darker shade as the fiber thickness of the marker increased. Fastness to washing was excellent at grades 4–5 or higher, regardless of the color of the dye and the number of linen fabrics. Although some color-fastness differences were noted, with the color change occurring most frequently with blue color, the fastness variations with dye type were mostly similar. The results of this study are expected to facilitate the selection of reactive dyes according to the thickness of the linen fabric based on the basic data from the laboratory, which will aid in the mass production of linen fabric and benefit the fashion industry.
Keywords:
linen woven, fabric count, reactive dye, dyeing, colorfastness키워드:
마 직물, 번수, 반응성 염료, 염색, 견뢰도1. 서 론
최근 급변하는 기후와 지구온난화로 환경 문제가 심각해지면서 패션산업에서도 지속가능성에 대한 중요도가 높아지고 있다. 또한, 웰빙 및 로하스를 지향하는 소비트렌드의 변화로 다양한 산업분야에서 친환경 상품에 대한 관심이 높아지고(Hang et al., 2010; Park et al., 2022; Jeong et al., 2022) 의복에서는 쾌적함과 평온함이 중요한 가치로 추구되고 있다. 이에 따라 친환경 트렌드가 의류, 침구, 인테리어, 장난감 등 다양한 분야에 적용되고 있으며 자연스러운 색감의 천연소재가 각광받고 있다(Park & Jeong, 2012; Setiawardhani & Park, 2022; Son et al., 2011;). 또한, 전 세계적으로 트렌드가 자연분해가 가능한 원료, 재생가능, 재활용이 가능한 천연섬유가 각광을 받고 있으며 책임감, 친환경, 지속가능성이 대두되면서 미래의 터전을 훼손하지 않고 동시에 현재의 필요성을 충족하고자 하는 것이다.
천연소재 중에서도 마 섬유는 천연 셀룰로오스 소재로 편안하고 자연스러운 트렌드에 적합한 소재이다. 통풍성과 열전도성이 우수하고, 수분의 흡수와 발산 속도가 빨라 시원한 촉감을 갖는 대표적인 여름용 소재이며 높은 인장 강도와 항균 특성으로 인해 패션 산업에서 더 각광받고 있다(Kan et al., 2009; Liang et al., 2021; Liu et al., 2008a; Liu, et al., 2008b).
내추럴하고 자연스러운 패션트렌드에 따라 최근 패션 브랜드들에서 프리미엄 린넨이라는 명칭으로 셔츠, 자켓, 슈트, 원피스 등 다양한 형태를 갖춘 화려한 색상과 패턴의 제품을 선보이고 있으며 인테리어 및 생활소품에도 적용되고 있다(Cho & Kim, 2018). 이러한 마섬유는 의류용과 인테리어를 위한 산업용 섬유 소재로 다양하게 활용하기 위해서 다양한 색상을 요구하는 염색 공정이 필수적이다.
마 섬유의 주요 화학 성분은 셀룰로스, 헤미셀룰로그, 펙틴, 리그닌이며 이는 모두 수산기를 포함한다. 따라서 반응성 염료는 마 섬유 염색에 적합하다(Zhang et al., 2022). 반응성 염료는 공유 결합에 의해 섬유 소재에 고정되어 우수한 세탁 견뢰도를 나타낸다. 이는 물리적 흡착 또는 기계적 포획을 통해 고정되는 직접 염료에 비해 장점으로 활용된다(Pervez et al., 2017).
린넨 의류제품은 다양한 가공공정을 거쳐 부드럽고 고급스러운 촉감과 린넨 특유의 감성을 그대로 느낄 수 있도록 자연스러운 멋을 극대화한 패션제품으로 최근 패션 브랜드들에서 프리미엄 린넨이라는 명칭으로 다양한 형태의 제품들을 출시하여 매출이 증가하는 등(Lee & Park, 2007; Cho & Kim, 2018) 또한 기존 마섬유가 갖고 있는 거친 촉감이나 구김 등의 단점들을 보완하기 위하여 천연소재들과 교편직한 린넨 직물의 의류제품은 편안하고 입기 좋은 다양한 디자인의 고품질 제품으로서 소비자의 가치와 개성을 표현하고 욕구를 충족시켜 줄 것이며, 사용에 있어 세탁 및 다림질 등 다루기 편할 것이라는 점에 린넨 직물은 지속가능한 고품격 친환경 소재로서 트렌디하면서도 개성이 강한 세련된 퍼스널 이미지, 섬유가공으로 쿨기능과 사용의 편리성 그리고 내츄럴한 시감과 청량하고 쾌적한 촉감의 감성적 요소들이 의류 신제품 수용의도에 큰 영향을 미치고 있다.
따라서 본 연구에서는 마 섬유 소재의 다양한 상용화를 위하여 마 섬유 중에서 린넨 직물의 번수에 따른 염색에 기본이 되는 3가지 색상을 반응성 염료별로 염색 농도의 데이터베이스를 구축하고 염색 공정의 재현성을 높이고자 하였다. 혼합직물과의 혼용 비율에 따라 차별화되어 사용용도가 달라지는 린넨직물의 염색성을 살펴보고자 린넨 100% 직물을 반응성 염료별로 다양한 농도 조건하에서 염색하고 염착 농도 및 견뢰도를 측정하여 프리미엄급 린넨 의류제품화를 위해 염색 실험실과 현장에서 번수가 다른 린넨 직물 염색 시 기초 자료로 사용하고자 한다.
2. 실험방법
2.1. 시료 및 시약
본 연구에 사용된 시료는 사용용도에 따라 셔츠용 60lea × 60lea, 자켓용 40lea × 25lea, 인테리어용 14lea × 14lea으로 3종의 린넨 직물을 선정하였다. 각 시료의 특성은 Table 1과 같다.
2.2. 염색
린넨 직물에 가장 적합한 염료타입을 알아보기 위하여 monochloro-triazine(MCT) type과 bifunctional type 2가지 종류의 반응성 염료를 0.25, 0.5, 1.0, 2.0% o.w.f. 농도로 실험실용 IR염색기(Daelim Starlet Co., Siheung, Korea)를 사용하여 monochloro-triazine(MCT) type은 80oC, bifunctional type은 60oC에서 40~60분 간 염색하였다. 염색 후, 소핑액 2g/L로 수세 후 건조하였다.
Fig. 1은 린넨 직물을 두 가지 타입의 반응성 염료로 염색하는 공정을 나타낸 것이다.
2.3. 염색거동
염색거동의 흡진율을 측정하기 위하여 Dye-o-meter (염색기: Ahiba Turbocolor, 소프트웨어: Dyemax-L)를 사용하여 측정하였다. 액비 20:1의 조건에서 시료 20g에 대해 1.0% o.w.f.의 염료를 투입하고 2oC/min의 승온 속도로 염색 온도까지 승온하여 60분간 염색하면서 3분 간격으로 염욕을 측정하여 승온 염착 곡선을 작성하였다. 흡진율은 다음 식에 의해 구하였다.
| (1) |
wo : absorbance of before-dye solution
w1 : absorbance of after-dye solution
2.4. 염색성
염색 및 고착 처리한 시료는 겉보기 농도와 염색성을 평가하기 위하여 분광측색장비(Coloreye-3100, Macbeth)를 사용하여 각 파장대의 분광반사율을 측정하였다. 최대 흡수파장에서의 표면 반사율(R)로부터 겉보기 색 농도인 K/S 값을 다음의 Kubelka-Munk 식에 의해 구하였다.
| (2) |
K : absorption coefficient
S : light-scattering coefficient
R : reflectance
2.5. 염색견뢰도
염색물의 견뢰도는 ISO의 규격에 따라 세탁견뢰도 (ISO 105-C10), 마찰견뢰도 (ISO 105 X12)를 평가하였다.
3. 결과 및 고찰
3.1. 염색성 평가
Fig. 2는 monochloro-triazine(MCT) type, Fig. 3는 bifunctional type 반응성 염료로 0.25, 0.5, 1.0, 2.0 % o.w.f.의 농도에서 염색한 셔츠용 60lea × 60lea, 자켓용 40lea × 25lea, 인테리어용 14lea × 14lea 린넨 직물의 측색 결과이다. 세 가지 번수의 린넨 직물은 모두 각각 Yellow, Red, Blue 색상 염료의 농도에 비례하여 육안 상으로는 색상 농도가 증가하였다. 세 가지 색상 염료에서 모두 육안으로 보이는 색상은 셔츠용 60lea × 60lea가 가장 농도가 연하고, 자켓용 40lea × 25lea, 인테리어용 14lea × 14lea 순으로 나타나 린넨 직물의 번수가 낮을수록 농도가 더 진한 색상으로 나타나고 있었다.
K/S values of monochloro-triazine(MCT) type reactive dyestuff prepared at various dyeing concentration.
하지만 Table 3, 4의 측색 결과 값과 Table 5, 6의 린넨 직물의 염색 이미지를 비교해보면 색상과 농도에 따른 측색결과는 두 종류의 염료 모두 비슷한 값을 나타내었으나 MCT type의 반응성염료 중 특히 Red 색상으로 염색 시 같은 농도로 염색하여도 육안으로 볼 때 더 높은 겉보기 색상을 나타내었다.
Bifunctional type의 경우에는 monochloro-triazine(MCT) type과 반대로 Red 색상의 겉보기 색상이 yellow와 blue보다 낮게 나타났다. 굵기에 따른 겉보기 색상 농도 차이도 red가 가장 적었다. 그리고, bifunctional type으로 염색 시 린넨 직물의 번수에 따른 겉보기 색상은 MCT type과 마찬가지로 굵기가 굵을수록 더 진한 겉보기 색상 값을 나타냈다.
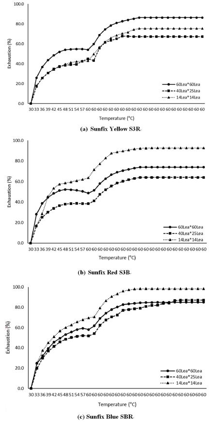
3.2. 염료 흡진 거동 특성
Fig. 4는 monochloro-triazine(MCT) type, Fig. 5는 bifunctional type 반응성 염료 yellow, red, blue로 염색한 셔츠용 60lea × 60lea, 자켓용 40lea × 25lea, 인테리어용 14lea × 14lea 린넨 직물에 대한 흡진 거동을 Dye-o-meter를 사용하여 실시간으로 측정한 결과이다. 염료 흡진 거동 특성이 반응성 염료로 셀룰로스 섬유를 염색할 때의 형태와 유사하게 나타났다. 먼저 1차적으로 피염물에 반응성 염료가 반응할 때에는 1차 흡진으로 물리적 흡착이 일어나고 MCT 타입의 경우 80분, bifunctional 타입의 경우 60분에 탄산나트륨을 첨가하였을 때 2차 흡진이 일어나는 것을 확인할 수 있었다. (Park, 2008).
Exhaustion properties of monochloro-triazine(MCT) type reactive dyestuff with various linen fabrics.
monochloro-triazine(MCT) type의 경우 색상에 따른 흡진율 차이는 yellow와 red계열은 시간에 따른 흡진율이 유사하게 나타났으며, blue의 경우 60lea × 60lea의 최대 흡진율이 93.3%로 yellow(82.3%)과 red(77.6%)보다 더 우수한 흡진 거동을 나타내었다. 그리고, monochloro-triazine(MCT) type의 경우에는 린넨 직물의 번수에 따른 흡진율은 60lea × 60lea 린넨 직물의 흡진 거동이 yellow, red, blue 모두 가장 우수하게 나타났다. 이는 같은 농도로 염색해도 번수가 낮을수록 즉, 섬유의 굵기가 굵을수록 더 진한 색상을 나타낸 선행연구 결과와 유사하다(Khatri et al., 2014). 이러한 결과는 섬유의 굵기가 굵을수록 섬유의 전체표면적이 감소하여 같은 농도로 염색해도 더 진한 색상을 나타내는 것으로 판단된다(Kang et al., 2001).
bifunctional type의 경우에도 monochloro-triazine(MCT) type과 유사하게 blue의 경우 yellow과 red보다 더 우수한 흡진 거동을 나타내었다. 14lea × 14lea 린넨 직물의 경우 1시간 이내에 98.2%의 우수한 흡진율을 나타내었다. red도 14lea × 14lea 린넨 직물이 1시간 이내에 92.6%의 흡진율을 나타내었다. bifunctional type의 경우에도 번수가 낮은 린넨 직물의 염료 흡진율이 더 우수하게 나타났다.
monochloro-triazine(MCT) type은 같은 농도에서의 흡진 거동의 특성을 살펴보면 번수가 높은 린넨 직물은 흡진율은 높으나, 육안으로 보이는 색상은 더 약하게 보였다. 번수가 낮은 린넨 직물은 흡진율은 낮으나 육안으로는 더 진하게 보인다. Bifunctional type의 경우 색상에 따른 흡진 거동특성을 살펴보면 바이어가 요구하는 색상을 맞추기에 안정적이지 못한 점이 있다.
따라서, 린넨 직물의 번수와 중량에 따른 색상차이를 크게 하고 싶지 않으면 monochloro-triazine(MCT) type으로 염색하는 것이 적합하고, 짧은 시간 내에 우수한 흡진율로 진한색상을 나타내고자 하면 bifunctional type염료를 선택하여 최적 조건에서 염색을 수행하는 것이 적합할 것으로 판단된다.
3.3. 염색 견뢰도
Table 7, 8는 반응성 염료로 린넨 직물을 중색 (1% o.w.f.)으로 염색할 경우 반응성 염료 type과 린넨 직물 번수에 따른 염색물의 세탁견뢰도와 마찰견뢰도를 나타낸 것이다. Table 9, 10은 반응성 염료 type과 린넨 직물 번수에 따른 염색물의 세탁견뢰도와 마찰견뢰도 후 시료이다.

Washing fastness (KS K ISO 105-C10, ISO Standard Soap 0.5%, 40℃, 30min) of monochloro-triazine(MCT) and bifunctional type reactive dyestuff

Rubbing fastness (KS K ISO 105-X12:2017) of monochloro-triazine(MCT) and bifunctional type reactive dyestuff
세탁견뢰도는 반응성 염료 타입과 색상 및 린넨 직물의 번수와 상관없이 4-5급 이상으로 우수하게 나타났다.
마찰견뢰도의 경우 건마찰은 셔츠용 60lea × 60lea과 자켓용 40lea × 25lea은 3-4급, 4-5급으로 우수하며, 인테리어용 14lea × 14lea은 3-4급으로 양호 또는 우수하였다.
습마찰 견뢰도가 건마찰 견뢰도보다 낮은 수준으로 나타났는데 셔츠용 60lea × 60lea은 3급 및 3-4급으로 양호 또는 우수, 자켓용 40lea × 25lea과 인테리어용 14lea × 14lea는는 2-3급으로 낮은 편이었다. 습 마찰견뢰도의 경우 blue 색상에서 이염이 가장 많이 일어났다. 이는 MCT 타입의 더 많은 염료의 양이 흡진되고 겉보기 색상이 가장 높았던 피염물에서 염료들이 세탁 시 많이 탈락하여 이염이 더 잘 일어난 것으로 판단된다. (Lee et al., 2010)
bifunctional type의 마찰견뢰도의 경우 건마찰은 셔츠용 60lea × 60lea은 3-4급 및 4-5급으로 양호 또는 우수, 자켓용 40lea × 25lea는 4급 및4-5급으로 우수, 인테리어용 14lea × 14lea 3급 및 3-4급으로 양호 또는 우수하였다.
습마찰 견뢰도는 건마찰 견뢰도 보다 낮은 수준으로 나타났는데 셔츠용 60lea × 60lea은 3-4급이상으로 양호, 자켓용 40lea × 25lea과 인테리어용 14lea × 14lea은 2-3급으로 낮은 편으로 색상별 일부 견뢰도의 차이를 보이고 있었다.
4. 결 론
반응성 염료 monochloro-triazine(MCT) type, bifunctional type의 yellow, red, blue 세 가지 색상의 염료를 통해 마섬유 굵기에 따른 린넨 직물 염색성 및 견뢰도에 미치는 연구를 통하여 다음과 같은 결론을 얻었다.
첫째, 색상은 반응성 염료 monochloro-triazine(MCT) type, bifunctional type 세 가지 색상 모두 린넨 직물의 번수가 낮을수록 즉, 섬유 굵기가 굵을수록 더 진한 색상을 나타내었다.
둘째, 염료 흡진 거동 특성은 반응성염료로 셀룰로스 섬유를 염색할 때의 형태와 유사하게 나타났다.
셋째, 세탁견뢰도는 염료 색상 및 린넨 직물의 번수와 무관하게 4-5급이상으로 우수하였다.
넷째, 마찰견뢰도의 경우 건마찰은 번수에 따른 차이가 크지 않았고 대부분 양호 또는 우수하였다. 습 마찰견뢰도의 경우 건마찰보다는 낮은 수준으로 나타났다.
다섯째, 색상 별 일부 견뢰도의 차이를 보여 blue 색상에서 이염이 가장 많이 일어났지만, 염료의 type에 따른 견뢰도 변화는 대부분 유사하였다,
린넨 직물의 번수에 따라 천연소재들과 교편직한 직물로 의류제품화 시 린넨 직물 염색만으로도 다양한 멜란지 효과를 낼 수 있으며, 천연소재와 린넨 직물의 혼합으로 다양하게 의류상품을 기획할 수 있을 것으로 예상할 뿐 아니라, 프리미엄급 린넨 직물의 의류상품화를 위해 염색 후 세탁견뢰도와 마찰견뢰도를 제안하여 본 연구의 결과를 토대로 린넨 직물의 번수에 따른 반응성 염료 선정 시, 실험실에서의 기초자료를 기반으로 마 섬유소재 활용의 대량생산화 및 패션산업에 기여할 수 있기를 바란다.
Acknowledgments
본 연구는 섬유패션활성화기반마련 사업 중 프리미엄 소재 개발 및 마케팅 지원을 받아 수행된 연구입니다 (과제번호 B0080325001924).
References
-
Cho, H., & Kim, C. (2018). The effects of clothing consumption value on usefulness, ease of use and new product acceptance intention of premium linen apparel. Journal of the Korea Fashion & Costume Design Association, 20(2), 17-25.
[https://doi.org/10.30751/kfcda.2018.20.2.17]
-
Hang, B., Lee, E. (2010). The effect of leadership by team leaders on team empowerment and the performance of team members in fashion companies. Journal of the Korean Society of Clothing and Textiles, 34(10), 1687-1700.
[https://doi.org/10.5850/JKSCT.2010.34.10.1687]
-
Jeong, J., & Chun, J. (2022). Sustainability practices and implications of fashion brands at the vegan fashion week. Fashion & Textile Research Journal, 24(4), 357-371.
[https://doi.org/10.5805/SFTI.2022.24.4.357]
-
Kan, C. W., Yuen, C. W. M., Lam, Y. L., & Chan, C. K. (2009). Effect of enzymatic treatment and reactive dyeing on the low stress mechanical properties of linen fabric. Fibers and Polymers, 10(3), 325-332.
[https://doi.org/10.1007/s12221-009-0325-0]
- Kang, Y. H., Paik, J. Y., Lee, J. Y., Kim, S. S., Woo, H. M., & Lee, N. H. (2001) Effect of denier and dyestuff structure on washing fastness of polyester fabric. Journal of the Korea Society of Dyers and Finishers, 13(3), 26-33.
-
Khatri, Z., Ahmed, F., Jhatial, A. K., Abro, M. I., Mayakrishnan, G., & Kim, I. S. (2014). Cold pad-batch dyeing of cellulose nanofibers with reactive dyes. Cellulose, 21(4), 3089-3095.
[https://doi.org/10.1007/s10570-014-0320-5]
-
Lee, H. J., Lee, H. Y., Park, E. J., Choi, Y. J., & Kim, S. D. (2010). Alkaline dissolution and dyeing properties of sea-island type ultrafine nylon fiber. Journal of the Korea Society of Dyers and Finishers, 22(4), 325-331.
[https://doi.org/10.5764/TCF.2010.22.4.325]
-
Lee, H. Y., & Park, K. H. (2007). Marketing strategies of fashion brands-Focused on the British, French, Italian luxury fashion brands. Fashion & Textile Research Journal, 9(2), 211-220.
[https://doi.org/10.5805/KSCI.2012.14.2.211]
-
Liang, Y., Liu, X., Fang, K., An, F., Li, C., Liu, H., ... & Zhang, S. (2021). Construction of new surface on linen fabric by hydroxyethyl cellulose for improving inkjet printing performance of reactive dyes. Progress in Organic Coatings, 154, 106179.
[https://doi.org/10.1016/j.porgcoat.2021.106179]
-
Liu, Z. T., Sun, Z., Liu, Z. W., Lu, J., & Xiong, H. (2008a). Benzylated modification and dyeing of ramie fiber in supercritical carbon dioxide. Journal of Applied Polymer Science, 107(3), 1872-1878.
[https://doi.org/10.1002/app.27220]
-
Liu, Z. T., Yang, Y., Zhang, L., Sun, P., Liu, Z. W., Lu, J., ... & Tang, S. (2008b). Study on the performance of ramie fiber modified with ethylenediamine. Carbohydrate Polymers, 71(1), 18-25.
[https://doi.org/10.1016/j.carbpol.2007.05.008]
-
Park, H. S., & Jeong, M. J. (2012). A study on the internal bedding brand using eco-friendly textile material - Focused on ‘Evezary’, ‘Parkhonggeun Homefashion’, ‘Sesaliving’, and ‘Womanroad’. Journal of the Korean Society of Design Culture, 18(4), 211-222.
[https://doi.org/10.18208/ksdc.2019.25.4.211]
- Park, J. H. (2008). A study on the characteristics of reactive dye soaping agents. Dyeing and Finishing, 3, 70-75.
-
Park, S., Ko, E., & Kim, S. (2022). Examining research trends on sustainable fashion through keywords related to sustainability macro trends - focusing on domestic and international research from 2017 to 2021. Fashion & Textile Research Journal, 24(1), 53-65.
[https://doi.org/10.5805/SFTI.2022.24.1.53]
-
Pervez, M. N., Inamdar, U. Y., Talukder, M. E., Mahmud, S., Habib, M. A., Kamruzzaman, M., & Cai, Y. (2017). Eco-friendly coloration of linen to ameliorate its practical approach. Proceedings of MATEC Web of Conferences (p. 03002) Malacca, Malaysia.
[https://doi.org/10.1051/matecconf/201710803002]
-
Setiawardhani, S. D., & Park, H. W. (2022). Design characteristics of sustainable fashion products of indonesian brands. International Journal of Costume and Fashion, 21(1), 36-51.
[https://doi.org/10.7233/ijcf.2022.22.1.036]
-
Son, K. H., Shin, Y. S., & Yoo, D. I. (2011). Optimization of cellulose dyeing with natural indigo - Ramie dyeing by one-step reduction/dyeing process. Fashion & Textile Research Journal, 13(2), 263-268.
[https://doi.org/10.5805/KSCI.2011.13.2.263]
-
Zhang, P., Zhang, C., Jiang, T., Hossain, M. Y., Zhu, W., Pervez, M. N., ... & Cai, Y. (2022). Dyeing of raw ramie yarn with Reactive Orange 5 dye. Industrial Crops and Products, 176, 114315.
[https://doi.org/10.1016/j.indcrop.2021.114315]



