
온라인 의류 쇼핑 사이트의 제품 사이즈 정보 실태 분석 : 여성용 바지를 중심으로
© 2022 Fashion and Textile Research Journal (FTRJ). This is an open access journal. Articles are distributed under the terms of the Creative Commons Attribution Non-Commercial License (http://creativecommons.org/licenses/by-nc/4.0), which permits unrestricted use, distribution, and reproduction in any medium, provided the original work is properly cited.
Abstract
This study aims to analyze the sizing information of women's ready-to-wear pants as indicated on online retail websites and to suggest better sizing communication that can assist customers in making successful apparel size selections. We gathered size specifications and size reference information for basic straight pants from 34 online apparel retail websites. Although the Korean standard recommends labeling the body dimension-based sizing code and specification, most websites preferred to use various types of sizing codes. Body measurements were only used by a few websites, and garment dimension descriptions were the most common method to indicate product size. Many websites provided size reference information through customer review boards and fit model images, however, there was insufficient body size information to allow customers to infer the fit of their body type. When using the size guidance tools, the major data input points were stature and weight measurements. However, the waist measurements of pants sizes guided only by stature and weight values revealed inconsistent ease allowance for corresponding body size populations, especially in the overweight group. Based on our findings, we propose a more effective method of communicating the size information of pants online. We expect that this will contribute to the efficiency of online apparel product display and build a better shopping environment that satisfies both sellers and consumers.
Keywords:
online apparel retail website, size specification, garment dimension, sizing code, size guidance tool키워드:
온라인 의류 쇼핑 사이트, 사이즈 정보, 제품실측치수, 호칭, 사이즈 안내도구1. 서 론
COVID-19의 유행이후 온라인 패션 유통채널의 성장 속도는 가속화되고 있다. 소매판매액 대비 온라인 쇼핑 거래액의 비중은 꾸준히 증가하는 추세로 특히 의류제품 거래액은 2021년 3월 기준 작년 동월 대비 24.5% 증가한 것으로 나타났다(Statistics Korea, 2021). 온라인 쇼핑은 비대면 거래가 가능하다는 점과 시간과 장소의 제약 없이 다양한 아이템을 거래할 수 있다는 장점이 있어 품목이 많고 제품 출시 주기가 짧은 의류 패션 시장에서 중요한 판매 수단으로 활용되고 있다.
그러나 온라인 쇼핑에서 소비자는 제품을 직접 확인하고 착용함으로써 얻는 경험적 정보 없이 판매자가 제공하는 제한된 정보에 의존하여 제품을 선택해야 하므로 제품 성능에 대한 불안을 더 많이 인지하게 된다. 소비자가 느끼는 불안은 구매 행동을 저지시키고 구매가 이루어졌다 하더라도 반품행동에 영향을 미치므로(Ji, 2008) 성공적인 온라인 판매를 위해서는 구매 불안을 감소시켜줄 수 있는 효과적인 제품 정보 제공이 필요하다.
온라인 쇼핑 사이트에서 제공되는 정보는 제품 공급자에 의해 작성되며 이 때 공급자는 제품의 장점을 소비자에게 호소하여 거래가 발생할 수 있도록 한다(Lee et al., 2016). 온라인 거래 시 제공되는 최소한의 정보범위를 관련 행정규칙( 「Publicnotice of providing information on the sale of goods, etc. in electronic commerce, etc.」, 2017)에서 제공하고 있지만 의류 사이즈 정보를 표기함에 있어서는 어떻게 표기해야 하는지 구체적인 방법을 제시하고 있지는 않다. KS 규격에서 의류제품 사이즈 표기 규격을 제안하고 있으나 실제 사용빈도가 매우 떨어지는 실정이고(Kim, 2018; Lee & Kim, 2020), 이로 인한 사이즈 선택 실패에 대한 피해는 오롯이 소비자에게 전가되고 있기 때문에 의류표준 규격 강제를 호소하는 청원까지 발생하고 있다(Yoon, 2020). 화면을 통해서만 제품을 접하는 온라인 쇼핑의 특수성을 고려하였을 때 제품 사이즈 관련 정보를 소비자가 객관적으로 인지할 수 있도록 하는 사이즈 정보 고시에 대한 기준이 필요한 시점이다.
온라인 의류 쇼핑에서 소비자의 구매행동에 영향을 미치는 요인에 관한 연구들에 따르면(Cho et al., 2001; Ha, 2010; Ji, 2008; Kim & Na, 2020; Yu et al., 2012) 소비자의 구매불안을 낮추고 구매행동을 유도하기 위한 구체적이고 정확한 의류 제품 정보제공의 중요성이 공통적으로 강조된다. 온라인 의류쇼핑에서 제시되는 정보에 대한 소비자 만족도 또는 불만족 요인에 관한 조사 연구(Kim et al., 2013; Lee & Cho, 2001)가 진행된 바 있지만 실제 온라인에서 제공되는 정보의 실태를 조사하고 당면한 문제를 인지하여 개선방향을 제시한 연구는 부족한 실정이다. 특히 사이즈 정보는 제품의 맞음새를 결정하는 중요한 정보이며 오프라인 쇼핑에서의 피팅(fitting)을 대신하는 정보이므로 현재 온라인에서 제공되는 제품 사이즈 관련 정보 현황과 그 전달성이 우선 논의될 필요가 있다.
의류제품 중 바지는 허리에서 엉덩이, 밑위를 지나 두 다리까지의 비교적 복잡한 신체 구조를 감싸는 형태로 맞음새가 좋은 바지 제품을 선택하기 위해서는 허리둘레에서 흘러내림이나 조임이 없는지, 길이가 적당한지, 엉덩이둘레나 밑위가 잘 맞는지 등을 복합적으로 고려해야 한다. 특히 제품에 관한 경험적 정보를 취득하기 힘든 온라인 쇼핑에서 바지는 다른 품목에 비해 맞음새에 대한 불확신이 크기 때문에 더 나은 온라인 쇼핑 환경 조성을 위해 우선 조사될 필요가 있다.
소비자가 제공하는 사이즈 관련 정보를 바탕으로 잘 맞을 것으로 예측되는 제품의 사이즈를 추천하는 사이즈 안내도구 서비스는 온라인 의류 쇼핑에서 소비자의 사이즈 선택에 도움을 주는 역할을 하므로 실제 여러 온라인 쇼핑 사이트에서 운용 중이다. 기술이 발달하고 온라인 쇼핑의 규모가 성장함에 따라 사이즈 안내도구의 종류는 매우 다양해지고 있으며 이들에 대한 기술 동향적 연구는 진행된 바 있으나(Kim, 2021) 소비자에게 적합한 제품 추천이 이루어지고 있는지에 관한 검토는 부족한 실정이다. 바지는 다른 제품군에 비해 스타일에 따른 허리둘레 여유량의 변동범위가 적기 때문에 사이즈 안내도구에서 추천하는 제품과 소비자 체형에 대한 검토가 가능하다.
따라서 본 연구는 온라인 의류 쇼핑 사이트에서 여성복 바지 제품 사이즈 정보 표기 실태를 분석하여 더 나은 표기 방안을 마련하는 것을 목적으로 한다. 온라인 의류 쇼핑 사이트에서 여성복 바지 제품 사이즈를 표기할 때 사용하는 정보의 종류를 분석하고, 정보들이 실제 의류제품 사이즈 정보 전달 도구로서 지니는 효과를 논의하고자 한다. 또한 사이즈 안내도구로 적합한 제품 사이즈 추천이 이루어지고 있는지 검토하여 온라인 쇼핑에서 소비자의 사이즈 선택 실패를 줄일 수 있는 더 나은 바지 제품 사이즈 정보 제공 방안을 제시하고자 한다.
2. 연구방법
2.1. 사이즈 수치 및 참고 정보
온라인 의류 쇼핑 사이트 34개에서 여성복 바지 제품 사이즈 정보를 표기할 때 사용하는 정보를 수집하였다. 대상 쇼핑 사이트는 기업의 성장력(“Brands leading sustainable growth”, 2020)과 소비자 브랜드 선호도 조사 결과(Cho, 2019)를 바탕으로 선정되었다. 의류 기업 또는 브랜드가 운영하는 공식 쇼핑 사이트 위주로 사이트를 선정하였으며, 여러 브랜드의 제품을 판매하는 온라인 전문 쇼핑 사이트의 경우 자체브랜드(Private Brand)를 보유한 사이트만 선정하였다. 34개의 쇼핑 사이트는 국내 기업 브랜드 통합 공식 사이트 16개, 글로벌 기업 공식 사이트 9개, 온라인 전문 사이트 5개, 국내 기업 브랜드 단독 사이트 4개로 구성되었다.
표기되는 사이즈 정보 종류를 비교할 때 기준이 되는 제품은 기본 스트레이트 바지로 정하였으며 허리밴드가 고무줄로 처리되어 있거나 지나친 장식이 있는 제품은 분석대상에서 제외하였다. 각 쇼핑 사이트에서 ‘판매순’ 또는 ‘인기순’으로 정렬하였을 때 상위권에 등장하거나 제품명에 ‘기본’, ‘베이직’과 같은 단어가 포함되는 제품을 우선하여 각 사이트별 1종을 비교대상 의복으로 선정하였다.
온라인 쇼핑 사이트에서 제시되는 의류제품 정보는 사이즈 수치 정보와 사이즈 참고 정보로 구분하여 수집하였다. 사이즈 수치 정보를 위해 사이즈 호칭, 제품실측치수, 기본신체치수를 조사하였으며, 사이즈 참고 정보를 위해 구매후기 게시판, 모델 착장 사진 사용 현황을 조사하였다.
2.2. 사이즈 안내도구
조사대상이 된 사이트 중 소비자가 직접 입력한 신체 치수 또는 잘 맞는 제품 치수 정보를 바탕으로 맞춤형 제품 사이즈 정보를 제공하는 경우 사이즈 안내도구를 운용하는 사이트로 분류하고 조사하였다. 사이트에서 사용하는 안내도구 중 조사대상이 된 사이트 외 다른 의류 쇼핑 사이트에 서비스를 제공하는지 여부에 따라 외부 전문 서비스 안내도구, 사이트 자체 제공 안내도구 구분하였으며, 각 사이즈 안내도구의 입력값, 출력값의 종류와 빈도를 수집하여 비교 분석하였다. 안내도구로 추천되는 제품의 사이즈가 실제 소비자에게 적합한지 여부를 살펴보기 위해 신체치수를 입력값으로 하는 안내도구에 대한 심층분석을 실시하였다.
안내도구 심층분석을 위해 7차 사이즈 코리아(Size Korea, 2015)에서 수집된 18~59세 성인 여성 2,503명의 신체치수를 활용하였으며, 연령 범위는 KS 성인 여성복 규격(Korean Standards Association[KSA], 2019)을 참조하였다. 사이즈 안내도구에 신체치수를 입력하였을 때 추천되는 제품의 적합성을 검토하기 위해 몸무게와 키에 따른 9개 그룹의 입력값을 정의하였다(Fig. 1a). 입력값은 연구대상 사이트에서 취급하는 제품이 기성복임을 고려하여 몸무게와 키의 평균과 표준편차의 정수 조합 9개로 구성하였고 인구의 범위는 입력값±0.5표준편차 범위로 정의하였다. 몸무게를 x축, 키를 y축으로 둔 전체 인구의 분포를 점으로 표시한 산점도에 본 연구에서 정의한 그룹의 범위를 그래프로 나타내면 Fig. 1b와 같다. 9개의 타겟 그룹전체 범위는 몸무게 43.5 kg 이상 70.5 kg 미만, 키 150 cm 이상 168 cm 미만이며 소속된 인구는 2,503명 중 2,035명(81.3%)이다.
Input values to verify the size guidance tools: (a) input values and range of weight and stature, (b) input values and target population illustrated on weight and stature scatter plot (W1: 43.5 kg ≤ Weight < 52.5 kg, W2: 52.5 kg ≤ Weight < 61.5 kg, W3: 61.5 kg ≤ Weight < 70.5 kg, S1: 150 cm ≤ Stature < 156 cm, S2: 156 cm ≤ Stature < 162 cm, S3: 162 cm ≤ Stature < 168 cm).
타겟 그룹의 인구 2,035명을 대상으로 변수 사이의 상관관계, 그룹별 사분범위 비교 분석을 실시하였으며 9개 그룹의 입력값으로 추천된 제품의 허리둘레 실측치와 타겟 그룹별 허리둘레 신체치수를 비교하였다. 통계분석 및 그래프 작성은 통계 프로그래밍 언어인 R(R Core Team, 2020)를 사용하여 수행하였다.
3. 결과 및 고찰
3.1. 사이즈 수치 정보
연구대상이 된 온라인 의류 쇼핑 사이트 34개 중 바지 사이즈를 표기할 때 숫자 호칭을 사용하는 사이트는 29개, 문자 호칭(예: S, M)을 사용하는 곳은 5개로 숫자 호칭을 사용하는 곳이 대부분인 것으로 나타났다. 숫자 호칭을 사용하는 사이트들은 센티미터(cm), 구 한국식 호칭(예: 55, 66)을 주로 사용하였으며 브랜드 고유 호칭(예: 0, 00), 국외 호칭(예: 4, 42), 그리고 인치(in.)를 사용하는 곳도 있었다(Table 1).
사이즈 호칭을 표기할 때 소비자의 이해를 돕기 위한 참고 호칭을 제공하는 사이트는 전체 중 18개로 52.9%에 불과하였다. 성인여성복 사이즈 표기와 관련한 규격인 KS K 0051(KSA, 2019)에서는 바지 사이즈 표기 시 허리둘레 및 엉덩이둘레를 센티미터으로 표기한 숫자 호칭, 또는 문자 호칭으로 사이즈를 표기할 것을 권장하고 있으나 해당하는 호칭을 사용하는 사이트는 숫자호칭 9개, 문자호칭 5개로 총 14개 사이트 만이 규격에 준하는 호칭을 사용하고 있었다. 구 한국식 호칭은 현재 관련한 규격이 폐기되어 정확한 기준이 없음에도 불구하고 별다른 참고 호칭 없이 사용되고 있음이 확인되었으며, 직관적이고 객관적인 호칭이 아닌 경우에도 참고 호칭이 사용되고 있지 않아 사이트에서 제시되는 사이즈 호칭 만으로 제품의 크기를 인지함에 한계가 있음이 확인되었다.
사이즈 호칭의 궁극적인 목적은 소비자로 하여금 본인의 신체치수에 잘 맞는 제품을 선택할 수 있도록 돕는 것이며, 특히 제품을 직접 보지 않고 구매를 하는 온라인 쇼핑에서 그 역할이 더욱 강조된다. 사이즈 호칭을 제품 크기 안내라는 본연의 기능 보다 브랜드의 정체성을 표현하는 수단 또는 배니티 사이징(vanity sizing)과 같이 마케팅 전략 기능으로 활용하고자 한다면 소비자가 객관적으로 제품의 정보를 참고할 수 있는 참고 정보 등이 반드시 함께 제공되어야 할 것이다.
제품 크기 정보 전달을 위한 상세 치수정보는 제품실측치수와 기본신체치수 정보로 나누어 볼 수 있으며 이 두 종류의 표기 현황은 Table 2와 같다. 제품실측치수 표기 사이트는 28개에 달하는 반면 기본신체치수 표기 사이트는 11개에 불과하였다. 두 종류의 치수 모두 표기하지 않는 사이트도 2개 있었다.
제품실측치수를 표기하는 28개의 사이트에서는 평균 5.5개 부위의 제품실측치수를 표기하였으며, 주로 허리둘레, 엉덩이둘레, 바지길이, 허벅지둘레, 앞밑위길이, 밑단둘레 등의 실측치를 제공하였다(Fig. 2a). 허리둘레, 엉덩이둘레, 바지길이는 Lee(2012)의 연구에서 여성이 바지 맞음새에 있어 가장 중요하다고 응답한 부위와 일치하는 부위이므로 온라인에서 제공되는 바지 제품 실측치수를 통해 소비자는 원하는 사이즈 정보를 얻을 수 있을 것으로 보인다. 제품실측치수를 표기하는 사이트 28개 중 22개는 치수를 측정하는 방법을 픽토그램과 같은 방법을 사용하여 설명하고 있었으나 6개는 아무런 설명을 제공하지 않았다.
The number of websites that describe garment and body dimensions (N = 34, multiple count): (a) garment dimensions, (b) body dimensions.
기본신체치수를 표기하는 11개의 사이트에서는 평균 2.5개 부위의 신체치수를 표기하였으며, 주로 신체의 허리둘레, 엉덩이둘레 등의 실측치를 제공하였다(Fig. 2b). 기본신체치수를 표기하는 사이트 중 신체치수 측정방법을 설명하는 사이트는 6개이었고 설명을 제공하지 않는 사이트는 5개로 확인되었다.
3.2. 사이즈 참고 정보
온라인 의류 쇼핑 사이트 중 구매후기 게시판을 운영하는 사이트는 27개이었으며 이들 중 구매후기에 사이즈 관련 정보를 병기하는 사이트는 20개이었다. 구매후기 게시판에서 주로 제시되는 사이즈 관련 정보의 종류는 제품 사이즈, 구매후기 작성자의 키, 몸무게, 평소 착용하는 의류 사이즈, 맞음새 평가, 체형 순으로 나타났다(Fig. 3a). 구매예정자가 구매후기 중 본인이 원하는 사이즈 정보만 필터링 하여 볼 수 있도록 하는 기능을 제공하는 사이트는 10개였으며, 이 때 주로 사용되는 변수는 키, 몸무게, 평소착용사이즈, 제품호칭 순서였다.
The number of websites that use customer review boards and fit model images: (a) customer reviews board, (b) fit model image.
구매후기 정보 중 사이즈 속성에 관한 정보는 소비자가 매우 중요하게 여기는 정보 중 하나이므로(Hong & Jin, 2011), 작성자가 제품의 크기 관련 정보를 보다 객관적이고 참고할 만한 정보의 형태로 입력할 수 있도록 유도하고 이것을 소비자가 참고할 수 있는 형태의 정보로 제공하여 추가적인 사이즈 정보로 적극 활용하는 것으로 보인다.
온라인 상에서 제품의 이미지 사진을 제시할 때 착장 모델이 착용한 사진을 제시하는 곳은 30개였으나 이 중 모델의 치수 관련 정보도 함께 제공하는 사이트는 20개로 확인되었다. 모델과 관련된 치수 정보를 표기할 때 주로 제시되는 항목은 모델의 키, 사진에 나타난 제품 호칭, 모델이 주로 착용하는 의류 사이즈, 가슴둘레, 허리둘레, 엉덩이둘레 순으로 나타났다(Fig. 3b).
온라인 쇼핑 환경에서 소비자는 모델의 착용 사진과 같은 시각적 정보에 의존하게 되고 이를 통해 제품의 맞음새, 태, 크기와 같은 정보를 간접적으로 획득한다. 이 때 모델의 신체치수 정보는 소비자가 착용을 통해 얻을 수 있는 제품에 관한 정성적 정보를 가늠할 수 있도록 도와준다는 측면에서 필요한 정보이므로 이에 대한 표기는 소비자의 제품선택에 대한 불안을 일부 해소시켜줄 것으로 보인다. 그러나 표기되는 사이즈 관련 정보의 종류는 주로 모델의 키에 한정되어 있어 보다 사이즈 참고 정보로서의 활용에 제한이 있는 것으로 확인되었다.
3.3. 사이즈 안내도구
연구대상이 된 사이트 중 소비자의 신체 및 제품 사이즈 관련 정보를 바탕으로 맞춤형 제품 사이즈 정보를 제공하는 사이즈 안내도구를 운용하는 사이트는 34개의 사이트 중 10개였다. 이들 사이트에서 사용하는 안내도구의 종류는 7종으로 조사대상이 된 사이트 외 다른 의류 쇼핑 사이트에 서비스를 제공하는지 여부에 따라 외부 전문 서비스 안내도구, 사이트 자체 제공 안내도구로 나누어 볼 수 있었다. 외부 전문 서비스를 통해 제공하는 안내도구 5종(T1, T2, T3, T4, T5), 사이트 자체에서 제공하는 안내도구 2종(T6, T7)으로 확인되었다. 사이즈 안내도구의 입력값과 출력값 종류에 따른 특징으로 구분하여 Table 3와 같이 정리할 수 있다.
개인별 맞춤형 정보를 제공받기 위해 입력하는 값의 종류는 제품실측치수와 신체치수로 나누어 볼 수 있다. 제품실측치수의 입력은 소비자가 부위별로 측정한 제품의 치수를 직접 입력하거나 제품실측치가 제공되는 동종의 다른 제품을 선택하는 방식으로 이루어진다. 전자의 방식은 소비자가 보유한 제품 정보를 직접 입력해야 하므로 측정과 입력에 대한 부담이 존재하나 제품 종류에 제한 없이 크기를 입력할 수 있다는 장점이 있다. 후자의 방식은 원하는 제품의 정보가 안내도구와 연동되지 않을 경우 사용이 힘들지만 제품 선택만으로 필요한 정보 입력이 자동으로 이루어지므로 사용이 간편하고 동일한 브랜드 내 재구매율이 높은 소비자에게 보다 적합한 정보를 제공할 수 있다는 장점이 있다.
신체치수를 입력값으로 하는 안내도구는 4종(T2, T3, T4, T5)으로 모두 몸무게와 키를 기본 입력값으로 두었으며 안내도구에 따라 체형 정보를 추가 수집하기도 하였다. 바지의 사이즈를 안내하는 도구임에도 불구하고 바지 제품 설계의 기본 신체 부위인 허리둘레를 입력값으로 하는 안내도구는 1종에 불과하였으며 엉덩이둘레, 다리길이를 입력값으로 하는 사이트는 없었다.
필요한 정보를 입력하였을 때 사이즈 안내도구가 출력하는 정보는 가장 잘 맞을 것이라 예상되는 사이즈 호칭, 각 사이즈가 잘 맞을 확률, 제품 부위별 크기 차이 3가지 종류로 나누어 볼 수 있으며, 이 중 한 가지 이상의 정보를 제공하여 소비자의 제품 선택을 돕는 것으로 나타났다. 후자로 갈수록 다양한 정보를 제공하지만 이것이 사이즈 선택을 위한 도구라는 관점에서 바라볼 때 간결하고 명료한 정보 제공 역시 추구되어야 할 것이다. 본 연구의 대상이 된 안내도구는 이 세 가지 종류 중 한 가지 이상의 정보를 제공하여 소비자의 제품 선택을 돕는 것으로 나타났는데, 간결한 정보를 전면에 제시하되 소비자가 원하는 경우 추가 정보를 제공하는 방식으로 구성을 한다면 효과적인 안내도구가 될 것으로 보인다.
사이즈 안내도구가 추천하는 제품 사이즈의 적합성을 검토하기 위하여 7차 사이즈 코리아 18~59세 여성 중 타겟 그룹에 속하는 2,035명 데이터를 사용하여 분석하였다. 신체치수를 입력값으로 하는 사이즈 안내도구 4종에서 주로 사용하는 치수(몸무게, 키)와 바지 제품 설계의 기본신체부위(허리둘레, 엉덩이둘레, 다리가쪽길이) 사이의 상관관계에서 몸무게와 허리둘레(r = 0.789, p < .001), 몸무게와 엉덩이둘레(r = 0.829, p < .001), 키와 다리가쪽길이(r = 0.878, p < .001)는 비교적 높은 상관관계를 가지는 것으로 나타나 몸무게와 키는 바지의 사이즈를 예측함에 있어 비교적 적합한 신체치수로 확인되었다.
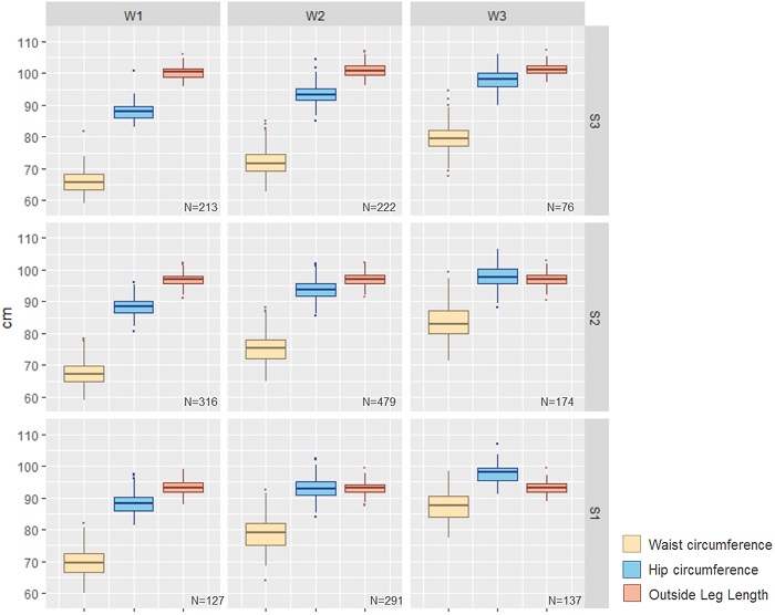
Fig. 4는 바지 제품 설계의 기본신체치수인 허리둘레, 엉덩이둘레, 다리가쪽길이의 사분위수 상자 그래프를 몸무게와 키에 따라 구분된 9개의 그룹별로 표현한 것으로 몸무게 x방향(W1~W3), 키를 y방향(S1~S3)으로 두었다. 사분위수 상자 그래프의 상자는 제 1사분위(25%)에서 제 3사분위(75%) 범위를 의미하여 중심선은 중앙값을 의미한다. 허리둘레, 엉덩이둘레, 다리가쪽길이 신체치수 사이의 비율이 그룹별로 일정하지 않다는 점이 확인되며 그룹 간 소속된 인구의 체형이 다르다는 것을 알 수 있다. 따라서 현재 사이즈 안내도구에서 사용 중인 몸무게와 키는 바지 사이즈를 예측하는 것에 어느 정도 기여를 하지만, 정확한 바지 사이즈를 예측에는 한계가 존재하며 특히 몸무게가 크고 키가 작은 집단에 대한 정확한 예측을 위해 수정된 알고리즘이 필요함을 알 수 있다.
Box plot of waist circumference, hip circumference and outside leg length by weight and stature groups(N = 2,035)(W1: 43.5 kg ≤ Weight < 52.5 kg, W2: 52.5 kg ≤ Weight < 61.5 kg, W3: 61.5 kg ≤ Weight < 70.5 kg, S1: 150 cm ≤ Stature < 156 cm, S2: 156 cm ≤ Stature < 162 cm, S3: 162 cm ≤ Stature < 168 cm).
각 사이즈 안내도구가 다양한 몸무게와 키 범위를 가지는 사람들에게 잘 맞는 바지 사이즈를 추천하는지 분석하기 위하여 9개 그룹의 입력값으로 추천된 제품의 허리둘레 실측치와 타겟 그룹별 허리둘레 신체치수를 비교하였다. 사이즈 안내도구 4종별 추천하는 제품의 종류에 차이가 있기 때문에 효과적인 비교를 위해 바지 제품의 실측치수 중 제품 종류에 상관없이 신체 치수에 대한 여유량 범위가 비교적 일정한 허리둘레를 비교부위로 선정하였다.
신체치수를 입력값으로 하는 사이즈 안내도구 4종에 9개 그룹의 몸무게와 키 입력값으로 추천되는 제품의 허리둘레 실측치와 각 그룹별 허리둘레 신체치수를 비교하면 Fig. 5와 같다. 상자그림과 각 안내도구를 의미하는 기호가 겹치는 경우 그룹 내 25%에서 75%범위에 해당하는 인구의 허리둘레 신체치수와 유사한 제품허리둘레를 가지는 치수가 추천되었다고 할 수 있으며 상자보다 기호가 아래에 있다면 작은 치수를, 위에 있다면 큰 치수를 추천받았다고 할 수 있다.
Box plot of waist circumference and waist dimensions recommended by four size guidance tools(N = 2,035)(W1: 43.5 kg ≤ Weight < 52.5 kg, W2: 52.5 kg ≤ Weight < 61.5 kg, W3: 61.5 kg ≤ Weight < 70.5 kg, S1: 150 cm ≤ Stature < 156 cm, S2: 156 cm ≤ Stature < 162 cm, S3: 162 cm ≤ Stature < 168 cm).
안내도구의 종류에 상관없이 몸무게가 큰(W3) 집단일수록 그룹의 허리둘레 신체치수보다 훨씬 작은 허리둘레의 제품이 추천되는 경향이 있었다. 이것은 브랜드에서 제공하는 제품 사이즈 범위를 벗어나는 신체치수를 입력하였을 때 적합한 사이즈가 없음을 안내해야 함에도 불구하고 판매되는 제품 중 가장 크거나 작은 사이즈의 제품을 추천하였기 때문으로 보인다. 네 개의 안내도구 중 T4(▲)만 제품의 사이즈 범위를 벗어난 신체치수가 입력된 경우 제품 사이즈를 추천하지 않고 해당되는 사이즈가 없다는 안내문구를 제공하였다. 이는 단기적으로 보았을 때 판매에 부정적인 영향을 미치는 정보로 보이나, 추천하는 제품의 맞음새 기대 충족 측면에서 긍정적 요소로 작용해 장기적으로 사이즈 추천도구 및 사이트의 신뢰성을 향상시킬 것으로 보인다.
대부분의 그룹에서 안내도구들이 추천하는 제품의 치수는 각 그룹별 신체치수 허리둘레보다 작을 확률이 높은 것으로 관찰되었다. 그러나 각 그룹별 추천되는 제품 허리둘레치수와 신체치수 사이의 관계는 일정하지 않았다. 예를 들어 T2(■)를 통해 제품을 추천받을 경우 ‘W1 S3’ 그룹은 제품이 신체치수보다 클 확률이 높으며 ‘W3 S3’에 해당되는 인구는 제품이 신체치수보다 작을 확률이 높다. 제품과 신체치수 사이의 적합한 여유량은 의복 스타일, 개인 선호도 등에 따라 다르므로 하나의 수치로 제시하기는 어려우나, 각 그룹별 추천되는 제품의 여유량에 통일성이 있어야 안내도구의 신뢰성이 부여될 것이다.
특히 여성용 바지 제품의 경우 의복을 착용하였을 때 흘러내림이나 조임이 발생하지 않도록 설계되어야 하므로 허리둘레 여유량의 허용 범위가 다른 부위에 비해 좁다. 더불어 착용자는 허리둘레 여유량이 ±0.5 cm만 차이가 발생하여도 인지할 수 있으므로 (Ashdown & DeLong, 1995) 허리둘레를 정확히 예측하여 보다 적합한 치수의 제품을 추천할 수 있는 알고리즘 구축이 필요할 것이다.
4. 결론 및 제언
본 연구는 온라인 의류 쇼핑 사이트 34개에서 수집한 여성복 바지 제품 사이즈 관련 정보를 바탕으로 정보의 종류 및 정보 전달 효과를 분석하여 더 나은 온라인 사이즈 정보를 표기하는 방안을 제시하고자 하였다.
온라인 의류 쇼핑 사이트에서 바지 제품 사이즈 표기를 위해 제공되는 정보는 사이즈 수치 정보와 사이즈 참고 정보로 확인되었다. 정보를 제공하는 사이트들이 사용하는 사이즈 호칭은 통일성이 없었고 사이즈를 참고할 수 있는 정보를 제공하지 않아 소비자에게 혼란을 줄 수 있다는 우려가 있었다. 반면 비교적 많은 사이트들이 제품실측치수를 제공하여 제품의 크기에 관한 정보를 전달하고자 한 점이 눈에 띄었다. 제품실측치수 표기 빈도가 높은 부위는 소비자가 바지 맞음새를 가늠하기에 적합한 허리둘레, 엉덩이둘레, 바지길이로 나타났다.
KS 규격에서 기본신체치수를 활용한 제품의 사이즈 호칭 및 상세치수 표기를 권장하고 있음에도 불구하고 기본신체치수 정보를 표기한 사이트는 34개 중 11개에 불과하였다. 사이즈 안내도구에서 사용하는 주된 입력값 중 하나가 신체치수라는 점과 함께 살펴보았을 때 제품 사이즈 정보로서 신체치수는 효과적인 정보전달 도구임에도 불구하고 제대로 활용이 되고 있지 않아 이를 표기하는 것에 대한 장려가 필요한 것으로 보인다.
구매후기와 모델 착장 사진과 같은 사이즈 참고 정보를 제시하는 사이트는 각각 27개, 30개로 다수였으나 대부분 신체치수정보를 매우 한정적으로 제공하고 있어 실제 사이즈 참고 정보로의 활용에는 한계가 있는 것으로 확인되었다. 사이즈 참고 정보는 판매자가 제공하는 정보 이외의 소비자 구매행동에 영향을 줄 수 있는 다양한 스펙트럼의 정보를 제공하므로 효과적인 정보전달 수단이 될 것으로 기대되었으나, 소비자가 본인의 체형과 비교해 참고할 수 있는 직관적인 맞음새 정보로 활용되기 위해서는 추가 신체치수 정보 표기가 필요해 보였다.
사이즈 안내도구는 소비자의 신체치수나 잘 맞는 제품실측치수를 입력하였을때 최적의 맞음새로 예상되는 제품 사이즈를 추천해주는 도구로 종류에 따라 입력값과 출력값의 차이가 있었다. 신체치수를 입력값으로 하는 도구들은 주로 몸무게, 키를 입력값으로 하였고 이들 치수는 바지 제도에 필요한 허리둘레, 엉덩이둘레, 다리가쪽길이와 높은 상관관계를 보이므로 적합한 치수로 보였다. 그러나 몸무게와 키를 평균과 표준편차 조합으로 구성한 9개의 값으로 입력하였을 때 추천받은 각 제품의 허리둘레 여유량은 일정하지 않은 것으로 나타나 다양한 체형의 소비자에게 일정한 맞음새의 제품을 추천할 수 있는 알고리즘의 정비가 필요한 것으로 확인되었다.
이상의 연구결과를 바탕으로 소비자의 구매불안을 줄일 수 있는 효과적인 온라인 쇼핑 사이트의 바지 제품 사이즈 정보 제공을 위한 방안을 다음과 같이 제안한다.
첫째, 사이즈 정보를 시각화하여 표현한다. 현재 온라인 쇼핑 사이트에서 제공되는 사이즈와 관련된 정보는 대부분 숫자로 표현되어 있어 관련 치수에 관해 익숙하지 않은 소비자에게 직관적이지 않을 것으로 보였다. 대부분의 사이트에서 제품의 크기나 맞음새를 시각적으로 확인할 수 있는 모델 착장 사진을 제공하지만 구체적인 모델의 신체치수를 제시하지 않는 경우가 많고 대부분 단일 체형에 대한 착장사진으로 제공하므로 실제 소비자의 제품 선택에 도움이 되는 사이즈 인지 수단으로 활용하기에 부족한 것이 사실이다. 따라서 모델의 신체치수를 표기하고 다양한 제품 사이즈와 체형 사이의 관계를 이미지로 표현한다면 보다 효과적인 사이즈 정보로 활용될 수 있을 것이다. Shim and Lee(2011)에 의하면 3D 이미지로 제품 착장사진을 제공할 경우 소비자의 구매불안이 줄어드는 것으로 나타났다. 따라서 최근 각광받는 3D 가상착의 시스템을 활용하여 제품 이미지를 제공한다면 소비자 구매결정에 긍정적 영향을 줌과 동시에 다양한 체형의 아바타를 통해 비교적 적은 비용으로 다양한 사이즈의 착장 사진을 제시하는 것이 가능하므로 효과적인 사이즈 제공 수단이 될 것이다.
둘째, 제품실측치수 표기 기준을 마련한다. 본 연구를 통해 많은 온라인 쇼핑 사이트들이 맞음새에 의미 있는 부위의 바지 제품실측치수를 유사한 방법으로 제시하고 있는 것이 확인되었다. 온라인 소비자는 판매자마다 다른 기준으로 사이즈 호칭을 사용하는 것에 대한 불편함을 호소하는 실정이나 이미 브랜드의 개성과 마케팅 전략적 특성이 반영된 사이즈 호칭을 강제로 표준화하는 것은 현실적으로 어려운 것이 사실이다. 따라서 이를 해결하기 위해 사이즈 호칭 규격을 강제하는 것 보다 제품측치수를 측정하고 표기하는 방법에 대한 통일된 기준을 제공한다면 브랜드의 정체성을 해치지 않으면서 소비자의 사이즈 선택에 도움이 되는 객관적 정보 제공이 가능할 것이다.
셋째, 정교한 사이즈 안내도구를 개발한다. 본 연구 결과 사이즈 안내도구로 추천받는 제품의 여유량이 체형별로 일정하지 않은 것으로 나타났다. 몸무게와 키는 비교적 체형 대표성이 좋고 소비자가 가장 인지하기 쉬운 정보로 사이즈 안내도구의 입력값으로 적합해 보이지만, 제품 추천을 위한 정확성에는 한계가 있었다. 몸무게와 키에 더해 나이, 브래지어 사이즈 등을 통해 체형 유추의 정확성을 높이고자 하는 안내도구도 있었으나 잘 맞는 바지 제품을 추천하기 위한 정보로는 부족하였다. 제품이 착용되는 부위에 대한 정보를 위주로 보다 구체적이고 정교한 알고리즘으로 사이즈 안내도구를 정비한다면 소비자에게 보다 실질적인 정보제공이 가능할 것으로 사료된다. 더불어 고객 구매후기는 소비자에게 제공되는 효과적인 제품 사이즈 정보일 뿐만 아니라 사이즈 안내도구를 위한 훌륭한 자료가 될 수 있다. 제품실측치수, 구매한 고객의 신체치수, 맞음새 평가 정보를 체계적으로 수집하여 이 정보들 사이의 관계를 파악한다면 사이즈 안내도구의 알고리즘 구성을 위한 데이터베이스로 활용할 수 있을 것이다.
본 연구는 현재 온라인 쇼핑 사이트에서 제공되는 정보를 객관적으로 수집 및 분석하고 정보의 전달 효과를 검토하여 더 나은 온라인 사이즈 표기 방안을 제시하였다는 점에서 의의가 있다. 다양한 사이트들의 사이즈 표기 현황과 사이즈 안내도구에 대한 검토는 향후 온라인 쇼핑 사이트에 관련한 기준 제정 및 마케팅 전략 구성의 기초자료로 활용될 수 있을 것이다. 향후 연구에서 본 연구의 결과와 제안점을 바탕으로 연령, 성별, 스타일별 선호 사이즈 표기법 비교가 추가로 이루어진다면 타겟 소비자별 맞춤형 온라인 의류 제품 사이즈 정보 표기 가이드 라인이 완성될 수 있을 것으로 기대한다.
Acknowledgments
이 논문은 2020년 대한민국 교육부와 한국연구재단의 지원을 받아 수행된 연구임(NRF-2020S1A5B5A17088289).
References
-
Ashdown, S. P., & DeLong, M. R. (1995). Perception testing of apparel ease variation. Applied Ergonomics, 26(1), 47-54.
[https://doi.org/10.1016/0003-6870(95)95750-T]
- ‘Brands leading sustainable growth’. (2020, May 18). Fashion Insight. Retrieved November 20, 2020, from http://www.fi.co.kr/main/view.asp?idx=69255#
- Cho, J. H. (2019, June 3). 2019 상반기 구매성향 및 베스트 브랜드 [purchasing trends and best brand in the first half of 2019]. The International Textile·Fashion News. Retrieved November 20, 2020, from http://www.itnk.co.kr/news/articleView.html?idxno=60836
- Cho, Y., Lim, S., & Lee, S. H. (2001). Apparel purchase behavior among internet shoppers -Focusing on preceived risks. Journal of the Korean Society of Clothing and Textiles, 25(7), 1247-1257.
-
Ha, J. K. (2010). Risk perception and risk reduction behaviors of fashion product consumers in internet shopping malls. Korean Journal of Human Ecology, 19(4), 675-685.
[https://doi.org/10.5934/KJHE.2010.19.4.675]
-
Hong, H., & Jin, I. (2011). An exploratory study of important information on consumer reviews in internet shopping. Journal of the Korean Society of Clothing and Textiles, 35(7), 761-774.
[https://doi.org/10.5850/JKSCT.2011.35.7.761]
- Ji, H. K. (2008). A study on the relationship between perceived risks and return behavior on internet clothing shopping. Journal of Korean Society for Clothing Industry, 10(6), 917-925.
- Kim, E. Y. (2018, April 26). 55, S, 90… 의복 치수 제각각 “소비자는 답답해” [55, S, 90... Inconsistent apparel sizes make consumers frustrated]. The Chosun Ilbo. Retrieved November 28, 2021, from http://news.chosun.com/site/data/html_dir/2018/04/25/2018042501561.html
-
Kim, G. A., Kim, C. K., & Kim, M. J. (2013). An analysis of the problem for providing product information in internet shopping mall. Journal of Korea Design Forum, 38, 387-397.
[https://doi.org/10.21326/ksdt.2013..38.035]
-
Kim, J. E. (2021). Trends of size recommendation technology in online fashion retailing. Journal of Korean Traditional Costume, 24(1), 79-90.
[https://doi.org/10.16885/jktc.2021.3.24.1.79]
-
Kim, J. S., & Na, Y. J. (2020). Online shopping - Satisfaction of return services and return reasons according to types of fashion shopping malls. Korean Journal of the Science of Emotion & Sensibility, 23(1), 3-16.
[https://doi.org/10.14695/KJSOS.2020.23.1.3]
- Korean Ministry of Government Legislation, 전자상거래 등에서의 상품 등의 정보제공에 관한 고시 [Public notice of providing information on the sale of goods, etc. in electronic commerce, etc.] (2017), Article 3 Paragraph 4
- Korean Standards Association. (2019). KS K 0051: 2019-Sizing systems for female adult’s garments. Eumseong: Korean Agency for Technology and Standards.
-
Lee, A. L., & Kim, H. E. (2020). The sizing communications in online apparel retail websites - Focusing on ready-to-wear women’s tailored jacket. Fashion & Textile Research Journal, 22(5), 617-627.
[https://doi.org/10.5805/SFTI.2020.22.5.617]
-
Lee, J. Y. (2012). Study on preferred style and fit according to stature groups of women aged 18 to 59. Journal of Korean Society for Clothing Industry, 14(5), 821-833.
[https://doi.org/10.5805/KSCI.2012.14.5.821]
- Lee, K. H., & Cho, J. H. (2001). Evaluation customer satisfaction on the internet apparel shopping mall - Focused on apparel system. Journal of the Korean Society of Costume, 51(3), 129-139.
- Lee, K. N., Seo, J. H., & Jung, Y. H. (2016). Study on consumer issues in online-platform based commerce. Chungbuk: Korean Consumer Agency.
- R Core Team. (2020). R - A language and environment for statistical computing. R Foundation for Statistical Computing. Retrieved March 1, 2020 from https://cran.r-project.org/mirrors.html
-
Shim, S. I., & Lee, Y. (2011). Consumer's perceived risk reduction by 3D virtual model. International Journal of Retail & Distribution Management, 39(12), 945-959.
[https://doi.org/10.1108/09590551111183326]
- Size Korea. (2015). 제7차 인체치수데이터 [The 7th human body size data]. Retrieved December 23, 2020, from Korean Agency for Technology and Standards https://sizekorea.kr/page/data/1_1
- Statistics Korea. (2021, March 6). 2021년 3월 온라인쇼핑 동향 [Online shopping trends in March 2021]. Statistics Korea. Retrieved November 9, 2021, from https://kostat.go.kr/portal/korea/kor_nw/1/12/3/index.board?bmode=read&bSeq=&aSeq=389501&pageNo=1&rowNum=10&navCount=10&currPg=&searchInfo=&sTarget=title&sTxt=
- Yoon, H. J. (2020). ‘들쑥날쑥’ 옷 사이즈… ‘골치 아픈’ 소비자 [‘Jumpy’ clothes size... ‘Troubled’ consumer]. Retrieved November 9, 2021, from https://www.fnnews.com/news/202002251738429663
-
Yu, U. J., Lee, H. H., & Damhorst, M. L. (2012). Exploring multidimensions of product performance risk in the online apparel shopping context - Visual, tactile, and trial risks. Clothing and Textiles Research Journal, 30(4), 251-266.
[https://doi.org/10.1177/0887302X12462059]

