The Korean Fashion and Textile Research Journal
[ Article ]
Fashion & Textile Research Journal - Vol. 22, No. 5, pp.686-695
ISSN: 1229-2060 (Print) 2287-5743 (Online)
Print publication date 30 Oct 2020
Received 08 Sep 2020 Revised 03 Oct 2020 Accepted 09 Oct 2020
DOI: https://doi.org/10.5805/SFTI.2020.22.5.686

겨울철 전자 기기 사용을 위한 전도성 보온장갑의 착용성 평가 : 손의 기민성과 사용성, 체온조절 반응을 중심으로

권주연1) ; 정다희2) ; 김시연3) ; 정원영3) ; 이주영1), 2),
1)서울대학교 생활과학연구소
2)서울대학교 의류학과
3)한국생산기술연구원 휴먼융합기술그룹
Performance of Conductive Gloves When Using Electronic Devices in a Cold Environment : Manual Dexterity, Usability and Thermoregulatory Responses
JuYoun Kwon1) ; Dahee Jung2) ; Siyeon Kim3) ; Wonyoung Jeong3) ; Joo-Young Lee1), 2),
1)Research Institute of Human Ecology, Seoul National University; Seoul, Korea
2)Dept. of Textiles, Merchandising and Fashion Design, Seoul National University; Seoul, Korea
3)Human Convergence Technology R&D Dept. Korea Institute of Industrial Technology; Ansan, Korea

Correspondence to: Joo-Young Lee Tel. +82-2-880-8746, Fax. +82-2-875-8359 E-mail: leex3140@snu.ac.kr

© 2020 (by) the authors. This article is an open access article distributed under the terms and conditions of the Creative Commons Attribution license (http://creativecommons.org/licenses/by/3.0/), which permits unrestricted use, distribution, and reproduction in any medium, provided the original work is properly cited.

Abstract

The present study evaluated the manual dexterity and usability of conductive gloves when operating touchscreen devices in the cold. Twelve male subjects (23.3±1.5 years in age) participated in three experimental conditions: no gloves, fabric conductive and lambskin conductive gloves. Manual dexterity was tested using both Purdue Pegboard (PP) and ASTM dexterity tests at an air temperature of 5°C and air humidity of 30%RH. Glove usability was tested through the following touchscreen tests: tap, double tap, long tab, drag, flick, and multi-touch. The results showed that manual dexterity according to the PP (2.5 mm of a pin diameter) and ASTM tests (8 mm of a stick diameter) was worse for the two glove conditions than for the no glove condition (p<.005). PP dexterity was better for the fabric glove condition than for the lambskin glove condition (p<.05); however, there was no difference in ASTM dexterity between the two glove conditions. Hand and finger skin temperatures were higher for the glove conditions than the bare hand condition (p<.05), with no differences between the two glove conditions. The touchscreen usability was the best for the no glove condition, followed by fabric gloves (p<.05). Wearing either fabric or lambskin gloves diminishes hand dexterity while maintaining hand and finger temperatures at higher levels. For improved hand dexterity in dealing with small numbers, letters on a touchscreen in cold environments, we recommend wearing fabric conductive gloves rather than lambskin conductive gloves.

Keywords:

conductive gloves, manual dexterity, cold stress, smart gloves, conductive and insulative fabric

키워드:

전도성 장갑, 손의 기민성, 한랭 스트레스, 스마트 장갑, 전도성 단열 직물

1. 서 론

겨울철 손을 추위로부터 보호하기 위해 착용하는 보온 장갑은 저온에 노출된 손의 열 손실을 약 60~90%까지 감소시킨다(Sari et al., 2004). 한편, 최근 물류 및 배달 업계의 폭발적인 성장으로 터치스크린으로 작동하는 스마트폰이나 태블릿은 업계 종사자의 필수 장비가 되었다. 특히 겨울철 실외 작업 중장갑을 착용하고 있을 경우 터치스크린 사용이 불편하기 때문에, 종종 장갑을 벗은 후 기기를 사용하게 된다. 겨울철 실외나 냉동(저온) 창고 등에서 장시간 작업할 경우 손의 피부혈류량은 감소하게 되며 일정 수준 이하로 떨어지면 동상의 위험뿐만 아니라 손의 기민성도 감소하게 된다. 특히, 물류나 배달 업계 종사자들에게 손의 기민성은 작업수행능력 뿐만 아니라 작업 안전에도 매우 중요하기 때문에(Havenith et al., 1995), 저온 환경에서 터치스크린을 사용해야 하는 작업자들에게 손의 쾌적성은 유지되면서 동시에 손의 기민성 저하는 최소화할 수 있는 전도성 보온 장갑 수요가 증가하고 있다.

이러한 수요는 전기 전도성 직물(Hu et al., 2010; Kim et al., 2004; Stoppa & Chiolerio, 2014)이나 전기 전도성 장갑(Koo & Janigo, 2017)에 대한 연구들과 접목되어 이미 상용화 된 전기 전도성 보온 장갑들이 시판되고 있다(Koo & Janigo, 2017). 저온 환경에서 터치스크린을 사용하는 작업자용 전도성 보온장갑에 요구되는 기본적인 성능은 충분한 열저항(보온력)과 기민성(장갑의 유연성)일 것이다. 장갑의 열저항은 장갑이 함유한 정지 공기층의 양과 비례하기 때문에 동일한 디자인의 장갑일 경우 가죽 소재보다 직물(섬유와 섬유 사이에 충분한 공기를 함유하고 있음) 소재로 제작된 장갑의 보온력이 더 높을 것이라 예상할 수 있다. Irzmańska et al.(2018)도 겨울용 보호장갑의 소재로 사용되는 11종(폴리아마이드/폴리우레탄(합성피혁), 폴리에스테르/울, 폴리에스테르/엘라스토머, 천연 양가죽 등)을 수집하여 소재의 열저항을 측정한 결과 천연 양가죽의 열저항이 직물 소재들의 열저항에 비해 낮다고 보고하였고, 손을 이용하여 제품을 검수하거나 모니터링하는 작업자들에게 적합한 장갑 재료로 가죽 소재보다는 편직(니트) 원단으로 만든 삼중 복합재료와 플러시 원단을 추천하였다. 그러나 이는 이차원 형태인 소재의 열저항을 측정 비교한 것으로, 서멀마네킹을 이용하여 장갑 완제품의 열저항을 측정 비교한 결과들을 보면 천연 가죽 소재의 장갑과 직물 소재 장갑의 보온력에 있어 큰 차이는 나타나지 않는다. Choi(2006)에 따르면 폴라폴리스(니트 플리스, 총 중량 65 g)로 된 보온 장갑과 양가죽으로 된 보온 장갑(총 중량 42 g)의 보온력(Icl)을 전신 서멀마네킹으로 측정한 결과 모두 0.03 clo로 동일한 값이 관찰되었는데, 두장갑의 중량 차이에도 불구하고 동일한 값이 관찰되었다. 이는 전신 서멀 마네킹으로 측정된 장갑의 보온력은, 온도 및 열류량 센서가 마네킹의 손등에만 심겨져 있다는 점으로 이해될 수 있다. 즉, 장갑의 보온력을 정확하게 평가하기 위해서는 실제 인체 착용 실험을 통해 손등, 손바닥, 손가락 등 종합적으로 평가되어야 할 것이다.

둘째, 전기 전도성 장갑이 갖추어야 할 유연성은 소재의 물리적 특성을 통해 어느 정도 유추될 수 있다. 전술한 바와 같이 Irzmańska et al.(2018)는 총 11종에 달하는 장갑 소재들의 물리적 특성을 측정하였으며, 그 결과 천연가죽이 직물 소재들보다 내마모성과 굽힘 강성에서 우수한 반면, 인열저항은 직물소재가 더 우수한 것으로 보고하였는데, 이 결과로 보면 가죽장갑의 유연성이 더 우수할 것이라 추정해 볼 수 있다. 그러나 동일 소재로 제작된 장갑이라 할 지라도 장갑의 디자인에 따라 실제 착용 시 유연성은 달라질 수 있기 때문에, 장갑의 유연성을 평가하기 위해서는 저온 환경에서 장시간 노출 후 터치스크린을 사용할 때 손의 기민성이나 사용성을 직접 평가할 필요가 있다. 손의 기민성이란 손으로 물건을 조작하는 능력(ASTMF2010/F2010M-18, 2010)을 의미하며, 이는 장갑의 유연성을 평가하는 시험을 통해 확인된다. 한편, 제품의 사용성을, 특정 사용 맥락에서의 효과, 효율성 및 만족도를 달성하기 위해 사용자가 제품을 이용할 수 있는 정도로 정의할 때(ISO 9241-110, 2006), 전기 전도성 장갑의 사용성은 터치스크린 작업 맥락에서 다양한 입력 작업을 효과적으로 수행할 수 있는가로 평가할 수 있을 것이다. 장갑 착용 시 손의 기민성 저하를 보고한 연구들은 오랫동안 지속적으로 발표되고 있으나, 전기 전도성 소재로 된 장갑의 기민성과 사용성을 평가한 연구들은 그리 많지 않다. 특히 저온 환경에서 전기 전도성 보온장갑 착용 시 착용자의 체온조절 반응 및 주관감을 평가한 연구는 거의 없다.

이에 본 연구는 저온 환경에서 터치스크린 기기를 사용할 때 직물과 가죽 소재로 제작된 전도성 장갑 착용과 장갑 미착용시의 차이를 파악하여 보다 효과적인 전기 전도성 장갑 개발의 기초 자료를 제공하기 위해 계획되었으며, 구체적으로 두 가지 소재로 제작된 전기 전도성 장갑의 기민성과 터치스크린 사용성을 평가하는 것이었다. 기민성과 사용성 평가를 해석하기 위해 손의 체온조절 반응과 주관적 반응도 함께 관찰되었다. 본 연구의 가설은 다음과 같다. 가죽 소재보다 직물 소재로 된 전기 전도성 장갑을 착용할 때 손의 기민성 및 사용성, 주관적 평가는 더 우수한 반면, 손의 체온조절반응에서 두 종류의 장갑 간 유의한 차이는 발견되지 않을 것이다.


2. 연구 방법

2.1. 피험자

본 연구에는 젊은 성인 남성 12명(나이 23.3±1.5세, 손둘레 18.4±1.1 cm, 손길이 18.5±1.6 cm)이 피험자로 참여하였다. 참여 하기 전, 피험자들은 자각적 신체 건강 상태 설문지를 작성하였고 실험 과정 및 가능한 모든 위험이 고지된 상태에서 자발적 동의 후에 실험에 참여하였다. 모든 실험은 서울대학교 연구윤리위원회의 승인을 받은 후 수행되었다(IRB No. 2001/001-009).

2.2. 실험용 장갑 특성 및 실험 조건

비교를 위해 시판 전기 전도성 장갑 2종(직물 소재 1종과 천연 양가죽 소재 1종)이 선정되었고(Table 1), 각 피험자 손의 크기에 맞춰 평소 사용하는 사이즈의 장갑이 제공되었다. 가죽은 내구성과 유연성이 독특하지만, 가죽은 절연체로써 전기를 전도하지 않기 때문에 스마트 제품에 잘 활용되지 않았다(Wegene & Thanikaivelan, 2014). 본 연구에서 사용된 가죽장갑은 시간이 지나도 전도성이 감소하지 않는 코팅을 가죽 소재에 적용한 전도성 가죽 장갑이다. 두 장갑 모두 윗면에는 전도성이 없고, 손바닥 부분과 손가락 아랫면에만 전도성을 부여한 장갑이었다. 실험 준비 및 피험자 안정은 기온 25°C, 습도 50%RH로 유지되는 준비실에서 하였고, 본 실험은 기온 5°C, 습도 30%RH로 유지되는 인공 기후실에서 실시되었다. 모든 피험자는 세 가지 실험 조건(장갑 미착용, 직물 장갑 착용, 가죽장갑 착용)에 임의 순서로 참여하였다. 직물 및 양가죽 장갑 원단의 두께 및 강연도는 각각 KS K ISO 5084(1996)KS K0539(1969)로 직접 측정되었다. 각 원단의 열 전도성(PROFIDW TESTER PF-TPT-01, Japan)은, 시료가 없을 때의 전력 소비량(W0)과 시료가 있을 때의 전력 소비량(W)을 이용하여 다음 식에 의해 추정되었다: 보온성(%) = (W0 − W) / W0 × 100.

Characteristics of two types of conductive gloves in the present study

2.3. 측정 및 계산

손의 기민성은 Purdue Pegboard(Purdue Pegboard, PP)를 이용한 시험과 미국시험재료학회(ASTM)에서 규정한 기민성 시험(Table 2)으로 평가되었다. PP 기민성 시험은 보드에 직경 2.5 mm의 가는 핀을 연속 삽입하여 특정 시간 내 삽입된 핀의 개수, 혹은 특정 개수를 삽입하는데 소요된 시간으로 손의 미세 기민성을 평가하는 시험법이다(Tiffin & Asher, 1948). ASTM 시험(ASTM, 2010)은 PP 기민성 시험에서 사용되는 핀보다 굵은 핀(직경 8 mm) 25개를 사용하여 기민성을 평가하는 방법인데, 본 연구에서는 PP 시험 및 ASTM 시험 모두 각 3회 반복하여 얻어진 그 평균값을 분석에 사용하였다. 손의 기민성 시험에 소요된 시간을 기록한 후 <Eq. 1>과 같이 맨손제어 비율(Bare Hand Control Ratio, BHC, Kim et al., 2016)을 계산하였다.

Bare hand control ratio BHC=DTTgDTTb(1) 
Where,
DTTg : Time spent on the dexterity test with gloves on
DTTb : Time spent on the dexterity test without gloves

Dexterity tests and touchscreen input test

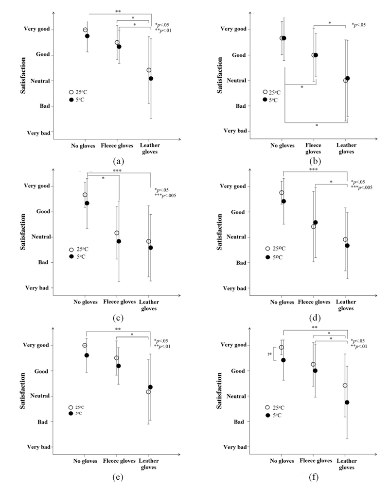
직물 장갑과 가죽 장갑에 대한 주관적 평가 항목으로 착용 만족도를 조사하였으며, 이는 각 기민성 시험을 완료한 후 5점 척도(1 매우 나쁘다, 2 나쁘다, 3 보통이다, 4 좋다, 5 매우 좋다)를 사용하여 기록되었다. 전기 전도성 장갑의 터치스크린 사용성 평가를 위해 총 여섯 가지의 터치스크린 입력 방식을 구성하였다: ‘탭’, ‘더블 탭’, ‘롱 탭’, ‘드래그’, ‘플릭’ 및 ‘멀티터치’(Kim et al., 2014)(Table 2).

실험 동안 손등과 손가락 피부온(LT-8A: Gram Corporation, Japan)을 5초 간격으로 연속 기록하였으며, 피부수분도 측정기(CM825, MDD4, Germany)를 사용하여 손등과 손바닥에서 피부수분도를 측정하였다. 터치스크린 사용성에 대한 주관적 평가를 위해 다섯 가지 질문(한서감, 습윤감, 온열 쾌적감, 맞음성 및 응답시간)을, 노출 90분 동안 전신과 손 부위의 주관적 반응(한서감, 온열 쾌적감)을 규격화된 범주형 척도를 통해 질문하였다. 한서감은 9점 척도(4 매우 덥다, 3 덥다, 2 따뜻하다, 1 약간 따뜻하다, 0 보통이다, −1 약간 서늘(시원)하다, −2 서늘(시원)하다, −3 춥다, −4 매우 춥다), 습윤감은 7점 척도(3 매우 건조하다, 2 건조하다, 1 약간 건조하다, 0 보통이다, −1 약간 습하다, −2 습하다, −3 매우 습하다), 온열 쾌적감은 7점 척도(3 매우 쾌적하다, 2 쾌적하다, 1 약간 쾌적하다, 0 보통이다, −1 약간 불쾌하다, −2 불쾌하다, −3 매우 불쾌하다), 맞음성은 7점 척도(3 매우 조인다, 2 조인다, 1 약간 조인다, 0 보통이다, −1 약간 여유 있다, −2 여유 있다, −3 매우 여유 있다), 응답 시간은 10점 척도(1 반응이 없다~10 즉시 반응한다)가 사용되었다.

2.4. 실험 과정

피험자들은 도착하여 준비실(기온 25°C, 습도 50%RH)에 들어가 실험용 긴팔 티셔츠와 긴바지로 환복한 후 손등과 가운데 손가락 윗부분에 피부온 센서를 부착하였다. 1회 실험은 총 90분으로 쾌적한 환경에서의 30분 휴식(앉은 자세)과 저온 환경에서 60분 휴식(앉은 자세)으로 이루어졌다. 쾌적한 환경에서 우세손을 사용하여 1차 PP 시험과 1차 ASTM 시험을 실시하였고, 1차 터치스크린 사용성 평가가 실시되었다(Fig. 1). 쾌적한 환경에서 30분 안정을 취한 후, 피험자는 기온 5°C, 습도 30%RH, 기류 0.1 m/s 이하로 유지되는 인공기후실로 이동하여 60분간 의자에 앉아 휴식을 취하였고, 저온 30분 노출 시점부터 2차 PP 시험과 2차 ASTM 시험을 실시하였다. 이를 마친 직후, 전기 전도성 장갑의 사용성 평가를 위해 총 6종의 터치스크린 입력 시험을 다시 실시하였다. 주관적 평가(한서감 및 온열 쾌적감 등)는 노출시작 시점부터 실험 종료시까지 20~30분 간격으로 총 4회 측정되었다. 마지막으로, 전기 전도성 장갑의 사용성에 대한 전반적인 설문조사가 실시되었다. 손과 손가락 피부온도는 80분간 5초 간격으로 연속 측정되었으며, 피부수분도는 노출 30분과 50분 시점에서 측정되었다.

Fig. 1.

An experimental protocol in the present study.

2.5. 통계분석

모든 결과는 평균과 표준편차(Mean±SD)로 제시되었다. 결과 분석은 SPSS 25.0을 이용하여 수행되었다. 세 실험 조건 간의 차이는 반복측정 일원분산분석(RM ANOVA)으로 분석하였고, 유의한 차이를 보이는 항목에 대해 Tukey의 사후분석이 실시 되었다. 25°C 쾌적한 환경에서 안정시 수행한 결과와 5°C 저온 환경 노출 시 얻어진 값의 차이는 Paired T-test로 검증하였다. 5초 간격으로 측정된 손등과 손가락 온도는 5분 구간으로 평균하였다. 범주형 척도를 이용한 비모수 항목들에 대해서는 Friedman test(세 실험 조건 비교)와 Wilcoxon 검정(25°C와 5°C 시점 측정값 비교)을 이용하여 분석되었다. 변수간의 상관관계는 Spearman의 상관분석을 이용하였다. 통계적으로 유의한 수준은 p<.05로 설정하였다.


3. 결 과

3.1. 기민성 시험: Purdue Pegboard(PP) 및 ASTM 시험

25°C 쾌적한 환경과 5°C 저온 환경에서 수행된 PP 기민성시험 수행 결과, 가죽 장갑 조건에서 완료 시간이 가장 길었고, 다음은 직물 장갑 조건, 장갑 미착용 조건 순으로 관찰되었다(p<.05). 25°C 기온에서 직물 장갑을 착용한 경우 BHC는 1.6±0.3배인 반면 가죽 장갑 조건에서 BHC는 2.0±0.4배로 두 장갑 간 완료 시간에 유의한 차이가 있었고(p<.001), 5°C 기온에서도 두 장갑 간 완료 시간 차이는 유의하여(p<.05), 직물 장갑을 착용한 경우 BHC는 1.4±0.3배, 가죽 장갑 착용 시 BHC는 1.6±0.3배였다. ASTM 시험의 경우, 장갑 미착용 조건과 장갑 착용 조건 간의 차이는 유의하여 장갑 착용시 완료 시간이 더 길었으나(p<.05), 직물 장갑과 가죽 장갑 조건 간의 유의차는 발견되지 않았고, BHC는 직물 장갑과 가죽 장갑 조건 모두 평균 1.2~1.3배로 유사한 수준에서 얻어졌다. 대체로 쾌적한 환경과 저온 환경 간 완료 시간 차이는 관찰되지 않았으나, PP 시험에서는 가죽 장갑 조건에서만, ASTM 시험에서는 직물 장갑 조건에서만 유의차를 보여 5°C에 비해 25°C 환경에서 완료 시간이 더 길었다(Fig. 2, p<.05). 손의 기민성 시험을 실시한 직후 평가한 만족도 결과를 살펴보면, 5°C보다 25°C에서 수행된 시험에서 더 높은 만족도가 기록되었다(p<.01).

Fig. 2.

Completed time of Purdue Pegboard (left) and ASTM dexterity test (right): * indicates the significant difference between 25°C and 5°C; ** indicates the significant difference between fleece and leather gloves; Wearing no gloves had significant differences with wearing fleece and leather gloves at each of 25°C and 5°C.

3.2. 터치스크린 사용성 실험

여섯 가지 유형의 터치스크린 입력 작업으로 구성된 실험 결과 25°C와 5°C 기온 모두에서 장갑 미착용, 직물 장갑, 가죽장갑 착용 조건 간 유의한 차이가 발견되었다(p<.05, Fig. 3). 대체로 가죽 장갑보다 직물 장갑 조건에서 더 높은 사용성 만족도가 관찰되었으며, 장갑 미착용 조건에서 가장 높은 사용성 만족도가 관찰되었다. 여섯 가지 작업 중, ‘탭’과 ‘멀티 터치’ 작업 시 25°C와 5°C 기온 모두에서 장갑 조건 간 유의차가 관찰되었고, ‘더블 탭’과 ‘플릭’ 작업의 경우에는 25°C 기온에서만 직물과 가죽 장갑 조건 간 유의차가 관찰되었다(p<.05). ‘드래그’ 작업에서는 5°C 기온에서만 직물과 가죽 장갑 간 유의차가 보였다(Fig. 3, p<.05). 장갑 미착용 조건에서는, 멀티 터치 작업에 대해 기온이 낮은 경우 유의하게 낮은 만족도가 관찰되었지만, 대부분의 장갑 미착용 조건과, 장갑 착용 조건 모두 기온에 따라 사용성 만족도에서 유의한 차이는 발견되지 않았다.

Fig. 3.

Touch interaction through six motions: (a) tap, (b) double tap, (c) long tap, (d) drag, (e) flick, (f) multi-touch: † indicates the significant difference between 25°C and 5°C. - Performing touch interaction at 25°C without gloves was significantly different from performing it with fleece and leather gloves except for B. double tap.

3.3. 손의 체온조절 반응

손등온은 기온 25°C조건 노출 후 15분 시점부터 실험 종료시까지 세 조건 간 차이를 보여, 장갑 미착용 조건에서의 손등온이 가장 낮고 두 장갑 조건에서 손등온이 더 높았으나, 직물 장갑과 가죽 장갑 조건에서 손등온의 유의차는 발견되지 않았다(p<.05). 손가락의 피부온도 세 조건 간 유의차를 보이는 구간이 다수 발견되었으나 이는 장갑 미착용 조건과 장갑 착용조건 간의 차이이며, 직물 장갑과 가죽 장갑 조건 간의 차이는 발견되지 않았다. 저온 노출 35~40분 사이 손가락의 피부온은 장갑 미착용과 가죽 장갑 조건에서만 유의차가 발견되어, 세 조건 중 가죽 장갑을 착용하였을 때 손가락의 피부온이 가장 높았음을 알 수 있다(Fig. 4, p<.001). 25°C와 5°C 기온 조건 모두에서, 손바닥의 피부수분도는 장갑 미착용 시에 가장 낮았다(p<.05). 직물 장갑 및 가죽 장갑을 착용했을 때의 손등의 피부수분도는 기온 간 유의차가 있어서, 5°C보다 25°C에서 더 높았다(p<.05).

Fig. 4.

Time courses of hand and finger temperatures: (a) hand temperature, (b) finger temperature: * indicates the significant differences between no gloves and leather gloves.: ** indicates the significant differences between no gloves and fleece gloves.

3.4. 주관적 감각

한서감의 경우 노출이 진행될수록 점점 춥게 느꼈으나, 전신과 손 모두 세 실험 조건 간 유의한 차이는 발견되지 않았다. 단, 전신과 손의 한서감은 노출 시기별, 실험 조건별로 유의한 차이를 보여, 장갑 미착용 조건에서는 5°C 노출 후반부 손을 전신보다 더 춥게 느꼈다(p<.05). 직물 장갑이나 가죽 장갑을 착용하였을 때에는 5°C 노출 초반부까지 손이 전신보다 덜 서늘하다고 느꼈으나 노출이 진행될수록 전신과 손의 한서감의 차이는 사라졌다(Table 3). 한서감과 피부수분도와는 5°C 노출시에만 일부 상관관계를 보여서, 손바닥의 피부수분도와 전신한서감은 장갑 미착용시에만 노출시작부터(r=.629) 종료시까지(r=.605) 상관관계를 보여(p<.05), 서늘하거나 춥게 느꼈다. 또한, 장갑 미착용시의 손바닥 피부수분도는 5°C 환경 노출 종료시의 손의 한서감과 상관을 보여(r = .921; p<.05), 춥다고 느꼈다. 온열 쾌적감의 경우 대체로 세 실험 조건 간 유의한 차이는 발견되지 않았으나, 5°C 노출 초반 손의 온열 쾌적성에서는 유의한 차이가 발견되어 장갑 미착용 조건에서는 ‘보통이다’라고 느낀 반면 장갑 착용시에는 ‘약간 쾌적하다’고 응답하였고(p<.05) 두 장갑 조건 간 유의한 차이는 없었다(Table 3). 90분 노출을 모두 마친 후, 두 장갑에 대해서만 응답된 주관감 중 한서감, 습윤감, 맞음새에서는 장갑 간 차이가 관찰되지 않았으나, 온열 쾌적감과 터치스크린 반응 시간에서는 차이를 보여, 가죽 장갑보다 직물 장갑 착용 시 더 온열적으로 쾌적하다고 응답하였고(p<.05), 터치스크린 반응 시간도 가죽 장갑보다 직물 장갑 조건에서 더 빠른 것으로 인지되었다(p<.05, Table 3). 온열 쾌적감과 피부수분도와는 25°C 환경 노출 종료시에 가죽장갑을 착용하였을 때만 전신 쾌적감(r = −.661)과 손의 쾌적감(r = −.661)이 상관관계를 보여(p<.05), 피부수분도가 높을수록 불쾌감을 나타냈다.

Glove satisfaction and usability and thermal responses


4. 논 의

본 연구의 가설은 첫째, ‘가죽 소재보다 직물 소재로 된 전기전도성 장갑을 착용할 때 손의 기민성이 더 우수할 것이다’, 둘째, ‘가죽 소재보다 직물 소재로 된 전기 전도성 장갑을 착용 할 때 터치스크린 사용성이 더 우수할 것이다’, 셋째, ‘전신과 손에 대한 주관적 평가에서 가죽 장갑보다는 직물 장갑에 대한 평가가 더 우수할 것이다’, 넷째, ‘손의 체온조절반응에서 두 종류의 장갑 간 유의한 차이는 발견되지 않을 것이다’였다. 본 실험 결과 이 네 가지 가설은 대체로 받아들여졌으나, 기민성 시험 종류별, 터치스크린 사용 동작별, 저온 노출 경과 시점별, 다양한 주관감 종류별로 가설에 부합하지 않는 결과들도 발견 되었다. 각 가설별로 얻어진 결과를 구체적으로 논의하면 아래와 같다.

4.1. 손의 기민성

손의 기민성은 쾌적한 환경과 저온 환경 노출 시 모두, 가죽장갑보다 직물 장갑을 착용한 경우 더 우수하였으나 이는 PP시험에서만 발견되었고, ASTM 시험에서는 그 차이가 발견되지 않았다. 즉, 직경 2.5 mm의 미세 핀(pin)을 조작하는 경우 직물 장갑이 더 우수함이 확인되었으나 직경 8 mm의 스틱을 다루는 경우 장갑 소재 간 차이는 변별되지 않았다. 이 결과에 따라 손으로 조작하는 전자기기의 부품이나 요소들의 크기가 작을수록 가죽보다는 직물 장갑이 보다 적합한 장갑으로 권장 될 수 있다. PP 시험 결과 흥미로운 점 중 하나는 가죽 장갑을 착용한 경우 저온 환경 노출 시보다 쾌적한 환경 노출 시 시험 완료 시간이 더 길었다는 점이다. 온열적으로 쾌적한 환경에서도 배달 차량 운전이나 물류 배송을 위해 장갑을 착용하게 되는데 이때 가죽 장갑일 경우 손의 기민성이 유의하게 저하될 수도 있음을 의미한다. Roda-Sales et al.(2020)도 가죽장갑을 착용한 경우 기민성의 감소폭이 컸다고 지적했다. Berger et al.(2009)의 연구에서는 두께와 표면 거칠기가 다른 두 종류의 니트릴 장갑을 PP 시험과 O’Connor 시험으로 평가하였는데, PP 시험에서는 두 니트릴 장갑 간 유의차를 발견하지 못하였고, PP 시험보다 더 가는 핀을 사용하는 O’Connor시험에서는 두 장갑 간 차이가 발견되었다. 라텍스와 니트릴 장갑을 대상으로 수행한 연구에서도 미세 기민성에서 장갑 간 차이가 있음을 보고하였다(Sawyer & Bennett, 2006). 따라서, 손으로 다루는 대상의 크기에 따라 장갑 소재가 선택되어야 할 것이다. 본 연구의 ASTM 시험에서는 직물 장갑과 가죽 장갑 간 기민성에서 유의차가 발견되지 않았기 때문에, 직경 8 mm정도의 스틱을 다루는 작업이라면 직물과 가죽 모두 권장될 수 있다. 손가락 피부온이 높을수록 손가락 기민성도 높다(Heus et al., 1995). 일반적으로 저온환경에 장시간 노출 시 무리 없이 견딜 수 있는 손 온도는 20°C, 참을 만한 손 온도는 15°C, 참을 수 없는 수준은 10°C이며 손 온도 10°C 이하에서 마비가 일어난다고 보고되며(Woodson, 1987), Daanen(2009)의 연구에서도 손가락 온도 14°C 이하에서 기민성의 저하가 관찰되었다. 본 연구의 경우 장갑을 착용하지 않은 조건에서도 기온 5°C 환경 조건 노출 종료 시점의 손가락 피부온이 평균 16°C 이상이었으므로 기온 5°C에서 기민성의 저하는 발생하지 않은 것으로 사료된다.

4.2. 터치스크린 사용성

여섯 가지 동작들 중 롱 탭을 제외한 나머지 다섯 가지 동작 모두 가죽 장갑보다 직물 장갑을 착용한 경우 더 만족스러운 것으로 평가되었다. 특히 저온 환경에서는 탭, 드래그, 멀티터치 작업 시 직물 장갑의 만족도가 더 높았다. 장갑을 착용하게 되면 손가락의 표면적이 증가하고 이 때문에 손가락 끝이 한 점이나 아이콘보다 더 넓은 면적을 차지하게 된다(Koo & Janigo, 2017). Al-Megren(2018)에서는 스마트와치 입력 작업에 대한 평균 작동시간을 보고하였는데, 탭은 0.28초, 더블 탭은 0.43초, 롱 탭은 0.78초, 드래그는 0.55초, 플릭은 0.18초 소요 되었다. 본 연구 결과 장갑 간 만족도 차이가 없었던 롱 탭의 작동시간은 0.78초로 다른 동작들보다 더 긴 것(Al-Megren, 2018)을 알 수 있다. 즉, 한 동작에 소요되는 시간이 직물 장갑과 가죽 장갑의 만족도에 영향을 미치는 인자일 수도 있음을 암시하며, 짧은 작동 시간의 입력 작업 시 직물 장갑의 만족도가 더 높았다고 해석할 수 있을 것이다. 부드러운 니트 케블라 장갑과 방수코딩을 하여 뻣뻣한 장갑의 손동작 완료시간을 비교한 Kim et al.(2017)의 연구에서도 장갑의 디자인 및 강연성에 따라 착용 쾌적성의 차이가 있음을 보고하였다. 또한, 멀티터치의 경우는 두 개 이상의 점을 동시에 눌러서 대상을 확장 또는 축소시키는 작업으로 두 개 이상의 손가락이 사용되기 때문에 강연도 0.92 gf·cm인 직물 장갑과 강연도 3.0 gf·cm인 가죽 장갑의 강연도의 차이로 인하여 멀티터치의 만족도에 유의한 차이가 발생했을 것으로 짐작할 수 있다.

4.3. 주관적 평가

장갑 착용에 의해 전신 혹은 손 부위의 한서감이 유의하게 개선되지는 않았으나, 손의 온열 쾌적감은 장갑 착용 시 더 개선되었으며, 특히 저온에서의 기민성 시험 및 터치 스크린 시험을 모두 마친 후 얻어진 종합적 평가에 따르면 피험자들은 가죽 장갑을 착용한 조건보다 직물 장갑을 착용한 경우 온열적으로 더 쾌적하고, 터치스크린 사용 시 반응성도 더 빠른 것으로 인지하였다. 하지만, 피부수분도는 저온 환경에서 장갑을 착용하였을 때는 한서감, 온열쾌적감, 습윤감과 관련이 없는 것으로 보였다. 즉, 주관적 평가의 관점에서, 저온 노출 시 장갑을 착용하지 않는 것보다는 어떠한 소재이건 장갑 착용이 권장되며, 가죽 장갑보다는 직물 장갑 착용이 보다 권장될 수 있을 것이다. 본 연구에 사용된 장갑 소재에 대한 물성 평가 결과 직물 장갑 소재의 보온성은 46.4%, 가죽 장갑 소재의 보온성은 51.9%로 가죽 장갑이 더 따뜻할 것으로 예상되었으나 실제 착용 시 한서감에서 유의한 차이는 발견되지 않았고 온열 쾌적감에서는 오히려 직물 장갑이 더 긍정적으로 평가되었다. 이는 비록 보온력이 높은 소재라고 해도, 완제품으로 만들어진 경우 디자인에 따라 함유된 정지 공기층의 량이 달라지기 때문일 것이다. 즉, 평면의 직물 스와치를 평가하는 것은 인체와 의복 간에 형성된 의복기후를 고려하지 않는 것이기 때문에, 입체 형태의 한 벌 의복의 물리량과 일치하지 않는다. 따라서, 착용한 사람이 인지하는 보온력을 측정하기 위해서는, 한 벌 의복 상태의 보온력을 측정하는 것은 중요하다(Potter et al., 2018).

4.4. 체온조절 반응

예상한 바와 같이, 손등이나 손가락의 온도는 노출이 진행됨에 따라 점점 하강하였으며 맨 손등의 경우 약 10°C, 손가락의 경우 약 15°C 정도 하락하여, 특히 보온 장갑 개발 시 손가락 보온이 중요함을 시사한다. 마찬가지로, 손등이나 손가락의 온도는 맨 손인 경우보다 장갑을 착용한 경우에 더 높았으나, 두 장갑 종류 간 차이는 유의하지 않았다.

손등온은 25°C와 5°C 모두에서 직물 장갑 또는 가죽 장갑을 착용하면 높아지는 경향을 보이지만, 손가락의 피부온은 5°C의 노출 시작 10분 정도만 장갑 미착용과 장갑 착용시의 차이가 있었다. 따라서, 장갑 착용이 손등온은 상승시키나, 손가락 피부온은 상승시키지 못했다. 체중당 체표면적 비율은 인체와 이를 둘러싼 환경 간의 열손실을 결정하는 주요 요인으로, 이 비율이 높을수록 저온에서의 열손실율이 높음을 의미한다. 인체 여러 부위 중 체중당 체표면적 비율이 가장 큰 부위가 손 부위이며(Watkins, 1995), 때문에 장갑 착용을 통해 인체 열 손실을 효과적으로 줄일 수 있다(Fukazawa & Tochihara, 2015). 전술한 바와 같이 손가락 피부온이 높을수록 기민성도 높아진다. Muller et al.(2010)은 5°C에서 90분 동안 노출하였을 때 기민성이 31%가 감소하였고, 이 때 손가락 온도는 31°C에서 8°C까지 감소하여 23°C가 하락하였다. 본 연구에서는 실험 종료시의 손가락 온도는 약 16°C로 기민성을 급격히 저하시키는 온도는 아니었다. 하지만, 연속 노출 시간이 50분보다 더 길어 지거나, 영하의 추위, 혹은 강한 기류 환경이 복합될 경우를 대비하여 손가락 온도가 잘 유지되도록 장갑의 디자인이 개선될 필요가 있다. 본 연구 결과 중, 직물 장갑보다는 가죽 장갑 착용시 저온 노출 후반부 손가락 온도 저하율이 더 적었기 때문에 장갑의 손가락 부위에 가죽과 직물을 복합적으로 구성하여 기민성은 저하하지 않으면서 보온력을 향상시킬 수 있는 디자인이 시도될 수 있을 것이다.


5. 결 론

기온 5°C 환경에서 전도성 보온 장갑을 착용할 때 가죽 소재의 장갑보다는 직물 소재의 장갑을 착용할 경우 손의 기민성과 터치스크린 사용성이 더 우수하게 평가되었으며 주관적으로도 가죽 장갑에 비해 직물 장갑이 더 긍정적으로 평가되었다. 특히, 저온 환경에서 2~3 mm 정도 크기를 다루는 미세한 수작업이 요구되는 경우 가죽으로 된 전도성 장갑보다는 직물로 만들어진 전도성 장갑 착용이 권장된다. 본 연구에서 손가락 온도는 저온 노출 후반에도 평균 15°C 이상으로 유지되었으며, 이로 인해 손의 기민성이나 터치스크린 사용성은 손가락 온도와 유의한 관련을 보이지 않았으나, 영하의 환경에서 손가락 온도가 15°C 이하로 저하할 경우 장갑 소재의 보온성이 기민성에 영향을 주는 유의한 요인으로 작용할 수 있다. 결론적으로, 겨울철 실외에서 터치스크린을 사용하는 작업자들에게는 가죽 소재보다는 직물 소재의 전도성 장갑이 추천되나, 최적의 소재 선정은 수행하는 미세작업의 종류(물체의 크기 및 동작 소요 시간 등) 및 노출되는 추위 스트레스의 수준이 고려되어야 한다.

Acknowledgments

본 연구는 한국생산기술연구원 기관주요사업 “지능형 전자 섬유 기반 스마트 텍스트로닉스 개발(kitech JA-20-0001)”과 경기도기술개발사업 “지능형 전자섬유 기반 스마트텍스트로닉스개발(kitech IZ-20-0004)” 및 2016년도 정부(미래창조과학부)의 재원으로 한국연구재단-나노·소재기술개발사업의 지원을 받아 수행된 연구입니다(No. 2016M3A7B4910552)”.

References

  • Al-Megren, S. (2018). A predictive fingerstroke-level model for smartwatch interaction. Multimodal Technologies and Interaction, 2(3), 38. [https://doi.org/10.3390/mti2030038]
  • Berger, M. A. M., Krul, A. J., & Daanen, H. A. M. (2009). Task specificity of finger dexterity tests. Applied Ergonomics, 40(1), 145-147. [https://doi.org/10.1016/j.apergo.2008.01.014]
  • Choi, J. W. (2006). Study on parameters for prediction thermal insulation of clothing. National Research Foundation (NRF), Final Report, p177.
  • Daanen, H. A. M. (2009). Manual performance deterioration in the cold estimated using the wind chill equivalent temperature. Industrial Health, 47(3), 262-270. [https://doi.org/10.2486/indhealth.47.262]
  • Fukazawa, T., & Tochihara, Y. (2015). The thermal manikin; a useful and effective for evaluating human thermal environments. Journal of the Human-Environment System, 18(1), 21-28. [https://doi.org/10.1618/jhes.18.021]
  • Havenith, G., Heus, R., & Daanen, H. A. (1995). The hand in the cold, performance and risk. Arctic Medical Research, 54(2), 37-47.
  • Heus, R., Daanen, H. A. M., & Havenith, G. (1995). Physiological criteria for functioning of hands in the cold - A review. Applied Ergonomics, 26(1), 5-13. [https://doi.org/10.1016/0003-6870(94)00004-I]
  • Hu, L., Pasta, M., Mantia, F., Cui, L., Jeong, S., Deshazer, H., & Cui, Y. (2010). Stretchable, porous, and conductive energy textiles. Nano Letters, 10(2), 708-714. [https://doi.org/10.1021/nl903949m]
  • Irzmańska, E., Wójcik, P., & Adamus-Włodarczyk, A. (2018). Manual work in cold environments and its impact on selection of materials for protective gloves based on workplace observations. Applied Ergonomics, 68, 186-196. [https://doi.org/10.1016/j.apergo.2017.11.007]
  • ISO 9241-110. (2006). Ergonomics of human-system interaction - Part 110: Dialogue principals. International Standard Organization.
  • Jun, H., Choi, W. & Pan, Y. (2008). A study on user behavior of input method for touch screen mobile phone. Proceedings of HCI Society of Korea, February, Korea, 2, pp. 1023-1028.
  • Kim, B., Kincar, V., Devaux, E., Dufour, C., & Vilallier, P. (2004). Electrical and morphological properties of PP and PET conductive polymer fibers. Synthetic Metals, 146(2), 167-174. [https://doi.org/10.1016/j.synthmet.2004.06.023]
  • Kim, D. M., Kim, D. H., & Lee, J. Y. (2017). Wear comfort of firefighters protective gloves in dry and wet conditions at 70℃ air temperature with radiant heat. Journal of Korean Society of Living Environmental System, 24(1), 95-106. [https://doi.org/10.21086/ksles.2017.02.24.1.95]
  • Kim, D. M., Lee, I. S., & Lee, J. Y. (2016). Mobility evaluation of popular firefighting protective gloves in domestic and foreign countries -Don-doff test, dexterity test, and torque test-. Journal of the Korean Society of Clothing and Textiles, 40(5), 921-935. [https://doi.org/10.5850/JKSCT.2016.40.5.921]
  • Kim, H., Song, H. W., & Park, S. H. (2014). Proper response times and design factors influencing user satisfaction with diverse touch tap operations for the smartphone. Archives of Design Research, 27(2), 95-105. [https://doi.org/10.15187/adr.2014.05.110.2.95]
  • Koo, H., & Janigo, K. (2017). Development of conductive gloves for touchscreen devices. International Journal of Fashion Design Technology and Education, 10(1), 71-80. [https://doi.org/10.1080/17543266.2016.1194484]
  • KS K 0539. (1969). Test methods for stiffness of fabrics. Korean Standards Association.
  • KS K ISO 5084. (1996). Textiles-Determination of thickness of textiles and textiles products. Korean Standards Association.
  • Muller, M. D., Ryan, E. J., Bellar, D. M., Kim, C. H., Blankfield, R. P., Muller, S. M., & Glickman, E. L. (2010). The influence of interval versus continuous exercise on thermoregulation, torso hemodynamics, and finger dexterity in the cold. European Journal of Applied Physiology, 109(5), 857-867. [https://doi.org/10.1007/s00421-010-1416-8]
  • Potter, A. W., Gonzalez, J. A., Carter, A. J., Looney, D. P., Rioux, T. P., Srinivasan, S., Sullivan-Kwantes, W., & Xu, X. (2018). Comparison of cold weather clothing biophysical properties: US army, Canadian department of national defence, and Norwegian military. U.S. Army Research Institute of Environmental Medicine, Technical report No. T18-02. Retrieved August 27, 2020, from https://apps.dtic.mil/dtic/tr/fulltext/u2/1051229.pdf
  • Roda-Sales, A., Sancho-Bru, J., Vergara, M., Gracia-Ibanez, V., & Jarque-Bou, N. J. (2020). Effect on manual skills of wearing instrumented gloves during manipulation. Journal of Biomechanics, 98, 109512. [https://doi.org/10.1016/j.jbiomech.2019.109512]
  • Sari, H., Gartner, M., Hoeft, A., & Candas, V. (2004). Glove thermal insulation: Local heat transfer measures and relevance. European Journal of Applied Physiology, 92(6), 702-705. [https://doi.org/10.1007/s00421-004-1136-z]
  • Sawyer, J., & Bennett, A. (2006). Comparing the level of dexterity offered by latex and nitrile SafeSkin gloves. Annals of Occupational Hygiene, 50(3), 289-296. [https://doi.org/10.1093/annhyg/mei066]
  • Stoppa, M., & Chiolerio, A. (2014). Wearable electronics and smart textiles - A critical review. Sensors, 14(7), 11957-11992. [https://doi.org/10.3390/s140711957]
  • The American Society for Testing and Materials. (2010). Standard test method for evaluation of glove effects on wearer hand dexterity using a modified pegboard test (ASTM F2010). ASTM International, United States. Retrieved August 27, 2020, from http://www.astm.org/Standards/F2010.htm
  • Tiffin, J., & Asher, E. J. (1948). The Purdue Pegboard: Norms and studies of reliability and validity. Journal of Applied Psychology, 32(3), 234-247. [https://doi.org/10.1037/h0061266]
  • Watkins, S. M. (1995). Clothing: The portable environment. Iowa: Iowa State Press.
  • Wegene, J. D., & Thanikaivelan, P. (2014). Conducting leathers for smart product applications. Industrial & Engineering Chemistry Research, 53(47), 18209-18215. [https://doi.org/10.1021/ie503956p]
  • Woodson, W. E. (1987). Human factors reference guide for process plants. London: McGraw-Hill.

Fig. 1.

Fig. 1.
An experimental protocol in the present study.

Fig. 2.

Fig. 2.
Completed time of Purdue Pegboard (left) and ASTM dexterity test (right): * indicates the significant difference between 25°C and 5°C; ** indicates the significant difference between fleece and leather gloves; Wearing no gloves had significant differences with wearing fleece and leather gloves at each of 25°C and 5°C.

Fig. 3.

Fig. 3.
Touch interaction through six motions: (a) tap, (b) double tap, (c) long tap, (d) drag, (e) flick, (f) multi-touch: † indicates the significant difference between 25°C and 5°C. - Performing touch interaction at 25°C without gloves was significantly different from performing it with fleece and leather gloves except for B. double tap.

Fig. 4.

Fig. 4.
Time courses of hand and finger temperatures: (a) hand temperature, (b) finger temperature: * indicates the significant differences between no gloves and leather gloves.: ** indicates the significant differences between no gloves and fleece gloves.

Table 1.

Characteristics of two types of conductive gloves in the present study

Fleece gloves Leather gloves
a KS K ISO 5084 (1996); b KS K 0539 (1969); c measured by thermophysical property tester.
Model The North Face (ETIP GLOVES) FOWNES brothers (Lambskin Gloves)
Material ㆍ Shell: 93% polyester, 7% elastane double-knit fleece
ㆍ Palm: 93% polyester, 7% elastane double-knit fleece with UR® Powered Conductive Technology
ㆍ Four-way stretch fleece
ㆍ Lambskin
ㆍ Cashmere lined
Features ㆍ Compatibility for using touchscreen technology
ㆍ Touch-screen compatible gloves
ㆍ Etip™ functionality works with touchscreen devices
ㆍ Leather gloves consist of five layers: a liner, a leather, and three coated layers
ㆍ The sheet resistance ≤ 103Ω/sq
Image
Thickness (mm)a 1.93 2.96
Weight (g/cm2) 0.0244 0.0450
Bending stiffness (gf·cm)b 0.92 3.00
Thermal property (%)c 46.4 51.9

Table 2.

Dexterity tests and touchscreen input test

Test Characteristics of test methods
Purdue Pegboard dexterity test The Purdue Pegboard test device consists of a cylindrical pin with a cross section of 10 mm and a length of 100 mm and a pegboard with two holes 20 mm apart. Subjects picked up the pins one by one and put them from top to bottom on the board. The completion time of inserting the pins into all holes in the pegboard was measured.
ASTM manual dexterity test The pegboard was fabricated with a size of 200 × 200 mm like the picture on the right. Subjects filled the 25-holes pegboard with 25 stainless steel pins which have a diameter of 9.5 mm and a length of 38 mm, using their dominant hand. The completion time to fill all holes on the board with pins was recorded in seconds and the smallest unit of the current study was 0.01 seconds (Kim et al., 2016).
Touch interaction performance test Six types of touch interaction tasks were used and they consisted of tap, double tap, long tap, drag, flick, and multi-touch (Jun et al., 2008).
A) Tap: to select an object by rapping it lightly once on the touchscreen.
B) Double Tap: to select an object by rapping it twice quickly on the touchscreen.
C) Long Tap: to press down on one touch point for a specific time.
D) Drag: to select and draw an object.
E) Flick: Fast linear movement in a vertical or horizontal direction or the movement to diagonal like the picture on the right.
F) Multi-touch: To simultaneously press two or more points on the touchscreen and zoom in or out of an object.

Table 3.

Glove satisfaction and usability and thermal responses

Condition Questions No gloves Fleece Fleece gloves Leather gloves p-value
Values indicate means and standard deviations.
a5-point satisfaction: 1 very bad, 2 bad, 3 neutral, 4 good, 5 very good; b, c, f 9-point thermal sensation: 4 very hot, 3 hot, 2 warm, 1 slightly warm, 0 neutral, -1 slightly cool, -2 cool, -3 cold and -4 very cold; d, e, h 7-point thermal comfort: 3 very comfortable, 2 comfortable, 1 a little comfortable, 0 neutral, -1 a little uncomfortable, -2 uncomfortable and -3 very uncomfortable; g 7-point wetness: 3 very wet, 2 wet, 1 a little wet, 0 neutral, -1 a little dry, - 2 dry, -3 very dry; i 7-point fit: 3 very tight, 2 tight, 1 a little tight, 0 neutral, -1 a little loose, -2 loose, -3 very loose; j 10-point response time: 1 no response to 10 immediate response
N.S. means Not Significant.
*means the significant difference between fleece and leather gloves.
k,l,m,n,o,p,q,r,s,and t indicate the significant difference between the overall body and hand feelings.
Pegboard dexterity 25°C Satisfaction with the glovesa −3.6(0.9) −2.3(0.9) −1.6(0.9) <.001
5°C −3.1(1.2) −1.9(0.9) −2.0(1.1) 0.004
ASTM dexterity 25°C −4.4(0.8) −3.2(0.8) −2.4(1.3) 0.003
5°C −3.5(1.1) −2.7(1.0) −2.7(1.3) N.S.
Thermal sensation 25°C How do you feel in your body now?b −0.4(0.7) −0.3(0.8)k −0.2(0.6)l N.S.
How do your hands feel now?c −0.1(1.0) −0.3(0.6)k −0.3(0.9)l N.S.
0 min at 5°C How do you feel in your body now?b −1.7(1.1) −1.9(1.1)m −1.3(1.4)n N.S.
How do your hands feel now?c −1.4(1.5) −0.7(0.9)m −0.4(0.7)n N.S.
30 min at 5°C How do you feel in your body now?b −2.4(1.1) −2.4(0.5) −2.3(1.0) N.S.
How do your hands feel now?c −2.7(1.7) −2.3(1.1) −2.3(1.3) N.S.
50 min at 5°C How do you feel in your body now?b −2.5(0.9)r −2.4(0.7) −2.3(0.8) N.S.
How do your hands feel now?c −3.0(1.3)r −3.0(1.0) −2.3(1.3) N.S.
Thermal comfort 25°C How do you feel in your body now?d −0.9(1.0) −0.5(1.2) −0.8(0.8) N.S.
How do your hands feel now?e −0.8(1.0) −0.3(1.01) −0.4(1.0) N.S.
0 min at 5°C How do you feel in your body now?d −0.2(1.2) −0.3(0.9)o −0.7(1.6) N.S.
How do your hands feel now?e −0.2(1.2) −0.7(0.7)o −0.9(1.3) 0.042
30 min at 5°C How do you feel in your body now?d −0.6(1.7)p −0.1(1.3) −0.1(1.3)q N.S.
How do your hands feel now?e −0.4(2.4)p −0.6(1.7) −0.9(1.3)q N.S.
50 min at 5°C How do you feel in your body now?d −0.2(1.5)s −0.4(1.1)t −0.2(1.3) N.S.
How do your hands feel now?e −0.5(1.8)s −0.7(1.8)t −1.0(1.5) N.S.
Survey for two gloves after cold exposure How warm were the gloves?f - −1.3(1.8) −1.3(2.6) N.S.
How humid were the gloves?g - −0.8(1.3) −1.2(2.0) N.S.
How thermally comfortable were the gloves?h - −1.7(1.6) −0.3(2.2) 0.048
How well did the gloves fit?i - −0.6(1.4) −0.1(2.1) N.S.
How fast was the touch-screen’s response time?j - −6.6(2.0) −4.1(2.1) 0.016