
라카아제 촉매 활성에 의한 홍차 염색물의 매염효과
© 2018 (by) the authors. This article is an open access article distributed under the terms and conditions of the Creative Commons Attribution license (http://creativecommons.org/licenses/by/3.0/), which permits unrestricted use, distribution, and reproduction in any medium, provided the original work is properly cited.
Abstract
This study aim is to provide new coloration method by laccase-catalyzation on natural phenolic dyeing process. In this study, silk was dyed with black tea, which is one of polyphenolic dye, extracted in distilled water. The dyed samples were catalyzed by laccase as the eco-friendly mordanting process. To optimize the conditions of laccase-catalyzed coloration, conditions were varied by different mordanting methods (one-bath, two-bath), temperature and treatment time. The dye affinity in terms of the value of K/S, L*, a*, b*, and H, V, C was measured by Computer Color Matching System (CCM, CM-2600d, Spectra Magic NX, Korea). The effect of laccase-catalyzed coloration on washing fastness was evaluated and compared with the synthetic mordant (Al, Cu, and Fe). As the result of color analysis of dyed silk, the optimum conditions of laccase-catalyzed coloration were determined to post-mordanting by one-bath at 50℃ for 3 hours. Under the optimum laccase-catalyzed conditions, the dyed silk was shown the color of yellowish-red. After laccase-catalyzed coloration on the dyed silk, the improvement of washing fastness was obtained compared with mordanted silk by synthetic mordant (Al, Cu, and Fe). Therefore, the present study was demonstrated that the effective enzymatic mordanting method by laccase for phenolic natural dyeing with vivid color and good fastness.
Keywords:
enzyme mordanting, laccase, phenol, natural dye, black tea키워드:
효소매염법, 라카아제, 페놀, 천연염색, 홍차1. 서론
천연염색 과정 중 매염공정은 색상의 다양성과 염착성 향상 등을 목적으로(Lee, 2008; Yoon & Lim, 2005) 적용되는 주요한 공정이다. 가장 일반적으로 사용되는 매염법으로는 합성매염법과 천연매염법이 있다. 합성매염법은 알루미늄, 철, 구리 등과 같이 합성 매염제를 사용하는 방법, 천연매염법은 식초나재 등의 천연 매염제를 사용하는 방법이다. 합성매염법은 색상의 재현성 및 균일성, 사용상의 편리성 등의 장점이 있지만 환경오염을 유발한다는 문제점이 있다(Seo et al., 2011). 천연매염법은 자연스러운 색조를 표현할 수 있고 합성매염제에 의한 환경오염의 단점을 개선할 수 있는 장점이 있다(Samanta & Konar, 2011). 그러나 천연매염법은 색상의 보존성, 견뢰도, 보관 중 색상 변화 등의 단점(Cha & Kim, 1999)이 보고되고 있다.
본 연구에서는 기존의 연구·보고된 매염법 이외에 새로운 매염법으로 효소매염법을 제안하고자 한다. 효소매염법은 매염제로서 산화 환원 효소인 라카아제를 사용하여 제안하고자 한다. 라카아제는 다중구리를 함유하고 있는 산화 환원 효소의 일종으로 산화 환원 기능과 촉매 기능의 두 가지 기능을 가지고 있는 효소이다(Mayer & Staples, 2002). 텍스타일 분야에서는 라카아제의 산화 환원 기능을 주로 적용하여, 섬유의 탈색이나 청바지의 스톤워싱에 적용된 예(Chung & Song, 2013)가 보고되고 있다. 또한 탈리그닌화나 제지 공정의 펄프 표백용, 생물학적인 폐수 정화 공정에도 라카아제의 산화 환원 기능을 적용(Camarero et al., 2007)하고 있다. 라카아제의 두 번째 기능인 촉매 기능은 기질의 특성에 따라 중합 반응을 촉진시키는 기능이다. 특히 라카아제는 다양한 기질들, 특히 페놀이나 비페놀류 등의 기질의 촉매 역할을 한다(Bourbonnais & Paice, 1990; Riva, 2006). 이러한 라카아제의 촉매 역할을 텍스타일 분야에 적용한 선행연구로는 합성 페놀계 화합물로 염색 후 라카아제 촉매 활성에 의한 색상에 대한 연구(Hadzhiyska et al., 2006; Sun & Tang, 2013; Yuan et al., 2017)가 보고된 바 있다. 그러나 라카아제 촉매 활성에 의한 천연 염색물의 발색성에 대한 연구는 많지 않으며 오배자를 염재로 사용한 선행연구(Bai et al., 2016) 등이 보고되었다. 그리고 특히 선행연구에서 합성페놀계 화합물의 촉매활성제로 사용된 라카아제는 고가의 효소를 사용하였으며 상업용으로 대량 생산되는 라카아제를 적용한 연구는 보고되지 않았다.
페놀은 주성분에 따라 크게 폴리페놀류와 단순 페놀류로 분류된다(Martins et al., 2011). 천연 재료들에는 페놀 성분이 함유된 것들이 많고(Boo et al., 2010), 그 중 폴리페놀류인 카테킨, 플라보노이드가 다량 함유된 염재들로는 차 종류들이 있다(Jeong et al., 2009). 그러나 홍차 염색물에 라카아제 촉매 활성을 이용하여 매염 효과를 연구한 논문은 기존에 보고된 바 없다. 따라서 본 연구에서는 천연염색 공정에 라카아제 효소를 매염제로 사용할 수 있는 방안을 제안하고자 한다. 이를 위하여 페놀계 화합물로서 천연 페놀성분이 함유된 홍차를 천연염재로 사용 시, 시판 라카아제의 촉매 활성에 의한 매염효과 유무를 확인하고 라카아제 촉매 활성 조건 변화에 따른 색상 변화를 비교 평가하고자 한다.
2. 실험
2.1. 시료 및 시약
실험에 사용한 견직물은 정련, 표백된 시판 견직물(crepe de chine, 이하 CDC)을 사용하였으며, 그 특성은 다음 Table 1과 같다.
실험에 사용한 페놀계 촉매활성제인 라카아제는 공업용으로 대량 생산되는 시판 라카아제(Denilite IIS)를 사용하였으며, 그 특성은 다음 Table 2와 같다.
홍차는 시판 스리랑카 100% 홍차(Akbar Brothers Ltd. Cure leaf)를 사용하였다. 라카아제 촉매 활성은 기질 ABTS(2,2'-azino-bis(3-ethylbenzothiazoline-6-sulfonic acid), Sigma-Aldrich Chemical Co., USA)을 사용하여 측정하였다. 화학매염제는 황산알루미늄칼륨(AIK(SO4)2·12H2O, aluminium potassium sulfate, Duksan Pure Chemical Co., Ltd), 황산구리(CuSO4·5H2O, copper(II) sulfate pentahydrate, Duksan Pure Chemical Co., Ltd), 황산철(FeSO4·7H2O, iron(II) sulfate, heptahydrate, Duksan Pure Chemical Co., Ltd)(이하 Al, Cu, Fe이라 함)을 사용하였다. 이상의 시약은 모두 1등급을 사용하였다.
2.2. 실험 방법
색소 추출은 홍차 50g을 증류수 1,000ml에 넣고 80℃에서 60분 간 2회에 걸쳐 행하였다. 홍차 색소 추출액은 Evaporator(Rotary Evaporator Re 200, Yammamoto, Japan)를 사용, 70℃에서 감압 농축하여 농축액을 얻었다.
홍차 농축액을 이용한 견직물 염색 시 최적 조건에 따라 액비 1:100으로 홍차 염액의 농도 1%(o.w.b.), 염색 시간 1시간, 염색 온도 90℃로 설정하여 염색기(Dyeing machine, DLS-6000, DaeLim Starlet Co., Ltd., Korea) 를 사용하여 염색하였다.
라카아제 촉매 활성은 Fig. 1과 같이 (a)일욕법, (b)이욕법으로 처리하였고, 라카아제 촉매 활성 조건별 색상은 액비 1:100으로 라카아제 매염 온도(40, 50, 60, 70℃), 매염 시간(1, 2, 3, 4, 5, 10시간)을 변화시켜 평가하였다. 라카아제 촉매 활성에 의한 매염효과와 화학매염제의 매염효과를 비교하기 위하여 Al, Cu, Fe 1%(o.w.f.)로 (Seo & Shin, 1998), 라카아제 최적 매염 온도 및 시간과 같은 조건에서 후매염처리하였다.
본 연구에서 사용된 라카아제 활성도 측정은 선행연구에서 보고된 방법으로 ABTS를 기질로 하여 평가하였다. 라카아제 촉매활성 반응은 라카아제 기질인 ABTS(5mM)를 라카아제 효소 용액(0.03%(w/v))을 100배 희석하여 반응시켰다. 반응액은 자외가시선분광광도계(UV-visible spectroscopy, Synergy Mx, Shimadzu, Japan)를 사용해 420nm에서 1분 단위로 10회 측정하였다. 라카아제 촉매 활성도는 Beer’s Law 식에 의하여 다음과 같이 계산하였다(Manole et al., 2008; Tavares et al., 2008).
- ΔOD = change in absorbance per minute
- ε = molar absorptivity of product
- d = path length of light through sample
- V = volume
- 106 = conversion from mol/L to μmol/L
- U/ml = μmol/min/ml
라카아제 매염 유무에 따른 색상 평가는 분광측색계(CM-2600d, Spectra Magic NX, Korea, 이하 CCM이라 함)을 사용해 K/S값을 측정하여 염착량으로 평가하였다.
- K/S = (1-R)² / 2R
- K : Absorption coefficient
- S : Scattering coefficient
- R : Reflectance coefficient
표면색은 CCM을 사용하여 시료의 X, Y, Z값을 측정하고, 미처리포, 홍차 추출액 염색포, 매염제 처리포들의 색상변화를 측정하기 위하여 Munsell 표색계 H,V/C, Hunter의 L*,a*,b*를 산출하였다.
세탁견뢰도는 Launder-O-meter(Koa Shokai Ltd, Kyoto, Japan)를 사용하여 KS K ISO 105-C01에 준하여 측정하였다. 표준 백포로는 다섬교직포를 사용하였다.
3. 결과 및 논의
3.1. 라카아제 촉매 활성도 측정
본 연구에서 사용된 라카아제의 촉매 활성도 측정 결과, 라카아제의 촉매 활성도는 613U/g으로 나타났다. 이는 효소인 라카아제가 반응하는 특정 기질 ABTS와의 촉매 활성도로써 라카아제 단위는 분당 ABTS의 1μmol이 산화되는데 필요한 효소 양으로 규정된다.
3.2. 라카아제 촉매 활성에 의한 표면색 변화
Fig. 2는 라카아제 촉매 활성 시 일욕, 이욕 처리가 홍차 염색물의 발색성에 미치는 영향에 대한 결과이다. 그림에 나타난 바와 같이 무매염에 비해 라카아제 처리 시 염색물의 K/S값이 향상되었다. 특히 일욕법에 의한 처리 시, 홍차의 폴리페놀계 성분에 대한 라카아제의 촉매활성이 보다 우수하여, 무매염 시 보다는 1.8배, 이욕법에 의한 처리 시보다는 1.65배 향상되었다. 이는 일욕법으로 라카아제 처리 시, 홍차의 페놀계 수산기가 산화의 첫 단계로 중간체를 만들고, 일부 중간체는 라카아제와 공유결합을 유도해 라카아제가 견과 페놀계 염료 사이의 결합력을 향상시키기 때문에 많은 양이 견에 흡수되기 때문이라고 판단된다(Yuan et al., 2017). 따라서 홍차의 페놀계 염색 시, 라카아제 촉매활성은 일욕법에 의한 처리가 효과적인 것으로 확인되었다.
K/S value of black tea dyed samples by various laccase-catalyzed conditions. (a) non-mordanting (liquor ratio 1:100, 1%(o.w.b.) dyeing for 1hr at 90℃ and without mordant 3hr at 50℃); (b) post-mordanting(one-bath) (liquor ratio 1:100, 1%(o.w.b.) dyeing for 1hr at 90℃ and laccase 0.03%(w/v) for 3hr at 50℃); (c) post-mordanting(two-bath) (liquor ratio 1:100, 1%(o.w.b.) dyeing for 1hr at 90℃ and liquor ratio 1:100, laccase 0.03%(w/v) for 3hr at 50℃)
Table 3는 라카아제를 매염제로 이용한 촉매 활성 시 L*, a*, b*값과 H, V, C값 결과이다. 라카아제 일욕법 및 이욕법 매염처리에 의한 견섬유의 L*값은 무매염에 비해 감소되어 라카아제가 촉매 중합 반응에 의해 색상이 진하게 발색됨이 확인되었다. 매염 시 a*값과 b*값은 무매염과 동일한 +a, +b(red-yellow) 영역에 있지만 일욕법의 경우 그 값이 현저히 증가하여 브라운 계열의 색상을 얻었다.
일욕법과 이욕법으로 라카아제 촉매 활성 시 견섬유의 V값은 무매염에 비해 낮아져 명도가 낮아지는 것으로 나타났으며, C값은 무매염에 비해 증가되어 채도가 높아지는 것으로 나타났다.
Table 3을 통해서 라카아제 촉매활성에 의해 홍차 염색물은 색상이 진해지고 선명해짐을 확인하였다. 또한 일욕법으로 처리 시 라카아제 촉매 활성이 촉진되어 이욕법으로 처리 시보다 효과적임을 확인하였다. 따라서, 라카아제 촉매 활성 조건은 일욕법에 의한 처리로 진행하였다.
Coloration of black tea dyed samples by various laccase-catalyzed conditions. (a) non-mordanting (liquor ratio 1:100, 1%(o.w.b.) dyeing for 1hr at 90℃ and without mordant 3hr at 50℃); (b) post-mordanting( one-bath) (liquor ratio 1:100, 1%(o.w.b.) dyeing for 1hr at 90℃ and laccase 0.03%(w/v) for 3hr at 50℃); (c) post-mordanting(two-bath) (liquor ratio 1:100, 1%(o.w.b.) dyeing for 1hr at 90℃ and liquor ratio 1:100, laccase 0.03%(w/v) for 3hr at 50℃)
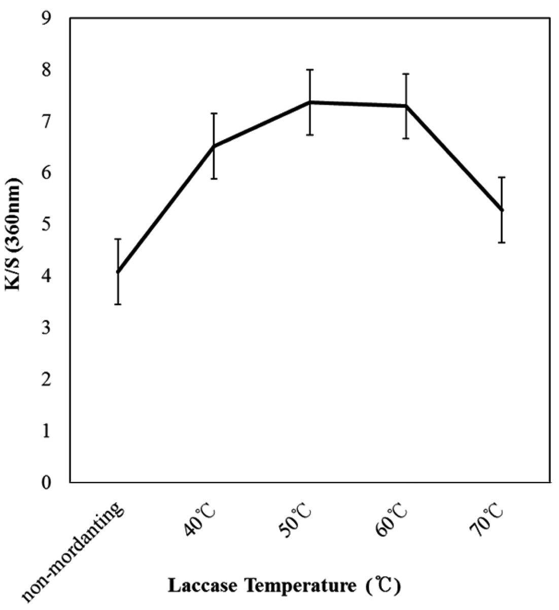
효소 처리 시 최적 온도 설정은 효소 단백질 변성에 영향을 미치는 주요한 요인이다(Cavaco-Paulo & Gubitz, 2003). Fig. 4는 홍차염색물의 라카아제 촉매 활성 시 온도 변화에 따른 표면색 값 결과이다. 비교 결과, 라카아제 촉매 활성 그래프는 포물선 형태로 일반적인 효소 활성 그래프와 유사한 형태로 나타났으며, 50℃에서 라카아제 촉매 활성 시 가장 높은 K/S값이 확인되었다. 효소에 의해 촉진되는 반응은 일반적으로 온도가 높아질수록 반응속도가 빨라진다(Cavaco-Paulo & Gubitz, 2003). 이는 온도의 상승과 더불어 섬유가 팽윤되어 염액과 효소의 분자운동이 활발해져 분자의 섬유 내 확산이 활발해지기 때문이다(Sun & Tang, 2013). 그러나 효소의 주성분은 단백질이기 때문에 한계점에 다다르면 열에 의해 구조가 변성되어 활성이 낮아지거나(Cavaco-Paulo & Gubitz, 2003; Song et al., 2009), 기능이 저하되는 경향이 있다. 따라서 50℃ 이후 K/S값이 감소하는 이유는, 50℃ 이상의 온도부터는 라카아제의 활성이 저하되기 때문이라고 판단된다(Murugesan et al., 2007). 이는 온도 상승에 의한 라카아제의 변성의 이유로 라카아제 최적 활성 온도가 40~50℃라고 보고된 결과(Hadzhiyska et al., 2006; Sun & Tang, 2013)와 일치한다.
K/S value of black tea dyed samples by various laccase-catalyzed temperatures (liquor ratio 1:100, 1%(o.w.b.) dyeing for 1hr at 90℃ and laccase 0.03%(w/v) for 3hr at 40, 50, 60, 70℃).
Table 4는 라카아제를 매염제로 이용한 촉매 활성 시, 매염 온도에 따른 L*, a*, b*값과 H, V, C값 결과이다. 라카아제 후 매염에 의한 견섬유의 a*와 b*값은 +a, +b(red-yellow)영역에 있고, 평균적으로 a*값은 10내외, b*값은 21~23정도로 브라운 계열의 색상을 확인했다.
Fig. 6은 라카아제를 이용한 촉매 활성 시, 촉매 활성 시간 변화에 따른 홍차 염색물의 K/S값 측정 결과이다. 라카아제 촉매 활성 처리 시, K/S값은 촉매 활성 시간이 증가함에 따라 증가하여 3시간 활성 시 홍차 염색물의 K/S값이 가장 높게 나타났다. 3시간 활성 이후 염색성이 감소하는 이유는 라카아제의 특성에 기인한다. 라카아제 효소를 이용한 촉매 활성은 최적 시간 이후에는 라카아제의 촉매 활성 반응 이외에 환원 반응이 경쟁적으로 발현되어 염료의 가수분해 촉진으로 염착성을 떨어뜨리기 때문이다(Bai et al., 2016; Cavaco-Paulo & Gubitz, 2003).
K/S value of black tea dyed samples by various laccase-catalyzed times (liquor ratio 1:100, 1%(o.w.b.) dyeing for 1hr at 90℃ and laccase 0.03%(w/v) for 1,2,3,4,5,10hr at 50℃).
Table 5는 라카아제를 촉매 활성 시간 변화에 따른 페놀계 염색물의 L*, a*, b*값과 H, V, C값 결과이다. L*값은 시간이 지남에 따라 서서히 낮아지다가 3시간 이후부터는 다시 증가해 3시간에서 색상이 가장 진하게 발색되었음을 확인하였다.
따라서 본 연구에서 사용된 홍차를 이용한 천연염색 시 라카아제 촉매 활성 조건은 일욕법, 활성 온도 50℃, 활성 시간은 3시간으로 처리 시에 홍차 염색물의 표면 색상이 가장 진하게 발색됨을 확인하였다.
3.3. 라카아제와 합성매염제의 비교
Fig. 8은 본 연구에서 제안한 라카아제 촉매 활성 시 색상 변화를 비교하기 위해 일반적으로 사용되는 합성매염제(알루미늄, 구리, 철)와 K/S값 비교 결과이다. 라카아제 촉매 활성에 의한 홍차 염색물의 K/S값은 알루미늄 매염 시보다 약 1.2배 우수하였고 구리와 철 매염 시와는 유사하게 나타났다. 구리와 철 매염은 테아플라빈을 다량 함유한 홍차의 카테콜 퀴논기가 철이나 구리와 결합하면 킬레이트를 형성해 염착량을 향상시켜 색상이 진하게 발현된다고 보고되었다(Seo & Shin, 1998). 따라서 라카아제 촉매 활성에 의한 천연염색물의 K/S값은 기존 합성 매염제인 구리와 철만큰 진하게 발색됨을 확인하였다.
K/S value of black tea dyed samples by different mordants (Al, Cu, Fe: liquor ratio 1:100, 1%(o.w.b.) dyeing for 1hr at 90℃ and 1%(o.w.f.) mordanting for 3hr at 50℃; Laccase: liquor ratio 1:100, 1%(o.w.b.) dyeing for 1hr at 90℃ and laccase 0.03%(w/v) mordanting for 3hr at 40, 50, 60, 70℃).
Table 6은 라카아제 촉매 활성과 알루미늄, 구리, 철 매염 시, 홍차 염색물의 L*, a*, b*값과 H, V, C값 비교 결과이다. 라카아제 촉매 활성 시 색상은 브라운 계열로 나타났다. 알루미늄과 구리 매염 시 색상은 라카아제와 유사한 브라운 계열이며, 철 매염 시에는 명도와 채도가 모두 낮은 검정에 가까운 브라운으로 발색되었다.
라카아제 촉매 활성된 홍차 염색물의 견뢰도는 알루미늄, 구리, 철로 매염 처리 된 홍차 염색물과 비교하였다(Table 7). 홍차 견직물의 라카아제 촉매 활성에 따른 세탁견뢰도는 라카아제 처리하지 않은 견직물이나 처리한 견직물 모두 오염과 변퇴 4~5등급으로 전반적으로 우수한 견뢰도를 보였다. 홍차 염색물의 페놀계 염색물은 염색견뢰도가 우수한 편으로, 이는 홍차의 주요 색소인 테아플라빈 성분의 카복실기와 견섬유 내의 아민기 사이의 이온 또는 수소결합에 의해 견섬유에 대한 홍차 색소의 염착이 우수하다는 선행연구의 결과와 일치한다(Seo & Shin, 1998). 라카아제 촉매 활성에 의해 발색된 홍차 염색물의 세탁견뢰도는 무매염포에 비해 표면색상이 농색으로 발색되어도 우수한 세탁견뢰도를 유지하였다. 또한 라카아제에 의해 발색된 염색물은 합성매염제로 매염 처리 시와 비교하여 변퇴색이 4~5등급으로 매우 우수하였다.
따라서 라카아제 촉매 활성 시, 홍차의 염색물은 발색된 색상이 세탁견뢰도 실험에 사용된 세제 등에 의해 변색되지 않고 내구성이 있음이 확인되었다.
4. 결론
본 연구의 목적은 페놀계 천연 염재인 홍차로 견직물 염색 시 효소매염제로서 라카아제를 도입하여 라카아제 촉매 활성에 의한 색상 및 견뢰도를 분석함으로써 천연염색 공정에 라카아제 효소 매염 공정 도입을 제안하고자 하는 것이다.
라카아제를 매염제로서 촉매 활성 방법(일욕법, 이욕법), 활성 온도, 활성 시간 조건 변화에 따른 K/S값, L*, a*, b*값, H, V, C값을 측정하여 색조 변화를 비교하고, 세탁견뢰도를 측정하여 기존에 사용되는 합성매염제와 색상 및 물성을 비교한 결과는 다음과 같다.
홍차로 견직물 염색 시 라카아제의 적정 촉매 활성조건은 일욕법, 온도 50℃, 시간 3시간이다. 촉매 활성에 의해 K/S값은 무매염에 비해 1.8배 향상되었다. 합성매염제와 비교 결과 K/S값은 알루미늄보다 1.2배 향상되었고 구리와 철 매염 시와는 유사하게 나타났다. 세탁견뢰도는 4~5등급으로 유지되었으며, 합성 매염 시보다 우수하였다.
따라서 본 연구에서 제안한 라카아제는 홍차 추출물에 의한 천연 염색 시에도 촉매 활성에 의한 매염제로서 효과가 확인되었으며, 천연 염색에 적용할 수 있는 새로운 매염법으로서 효소 매염법을 제안한 의의가 있다.
References
-
Bai, R., Yu, Y., Wang, Q., Yuan, J., & Fan, X., (2016), Effect of laccase on dyeing properties of polyphenol-based natural dye for wool fabric, Fibers and Polymers, 17(10), p1613-1620.
[https://doi.org/10.1007/s12221-016-5598-5]
- Boo, H. O., Kim, Y. H., & Song, W. S., (2010), Total phenolic componds contents and tyrosinase inhibition activities according to each kind of natural plant pigments, Proceedings of the Plant Resources Society, Fall Conference, Korea, p185.
- Bourbonnais, R., & Paice, M. G., (1990), Oxidation of non-phenolic substrates: an expanded role for laccase in lignin biodegradation, FEBS Letters, 267(1), p99-102.
-
Camarero, S., Ibarra, D., Martínez, Á. T., Romero, J., Gutiérrez, A., & del Río, J. C., (2007), Paper pulp delignification using laccase and natural mediators, Enzyme and Microbial Technology, 40(5), p1264-1271.
[https://doi.org/10.1016/j.enzmictec.2006.09.016]
-
Cavaco-Paulo, A., & Gubitz, G., (2003), Textile processing with enzymes, Manchester, Woodhead publishing.
[https://doi.org/10.1201/9780203500941]
- Cha, O. S., & Kim, S. H., (1999), A study on the dyeability and physical properties of mordanted and natural-dyed fabrics, Journal of the Korean Society of Clothing and Textiles, 23(6), p788-800.
-
Chung, Y. R., & Song, H. S., (2013), Denim decolorization using laccase, Journal of the Korean Society of Clothing and Textiles, 37(3), p348-357.
[https://doi.org/10.5850/JKSCT.2013.37.3.348]
-
Hadzhiyska, H., Calafell, M., Gibert, J. M., Dagà, J. M., & Tzanov, T., (2006), Laccase-assisted dyeing of cotton, Biotechnology Letters, 28(10), p755-759.
[https://doi.org/10.1007/s10529-006-9043-5]
- Jeong, C. H., Kang, S. T., Joo, O. S., Lee, S. C., Shin, Y. H., Shim, K. H., Cho, S. H., Choi, S. G., & Heo, H. J., (2009), Phenolic content, antioxidant effect and acetylcholinesterase inhibitory activity of Korean commercial green, puer, oolong, and black teas, The Korean Society of Food Preservation, 16(2), p230-237.
- Lee, S. D., (2008), The persimmon dye with experiment of changing concentration and iron-dye process, its application possibility for textile design, Fashion & Textile Research Journal, 10(6), p822-826.
- Manole, A., Herea, D., Chiriac, H., & Melnig, V., (2008), Laccase activity determination, Cuza University Scientific Annals Lasi, 4, p17-24.
-
Martins, S., Mussatto, S. I., Martínez-Avila, G., Montañez-Saenz, J., Aguilar, C. N., & Teixeira, J. A., (2011), Bioactive phenolic compounds: Production and extraction by solid-state fermentation. A review, Biotechnology Advances, 29(3), p365-373.
[https://doi.org/10.1016/j.biotechadv.2011.01.008]
-
Mayer, A. M., & Staples, R. C., (2002), Laccase: new functions for an old enzyme, Phytochemistry, 60(6), p551-565.
[https://doi.org/10.1016/S0031-9422(02)00171-1]
-
Murugesan, K., Nam, I. H., Kim, Y. M., & Chang, Y. S., (2007), Decolorization of reactive dyes by a thermostable laccase produced by ganoderma lucidum in solid state culture, Enzyme and Microbial Technology, 40(7), p1662-1672.
[https://doi.org/10.1016/j.enzmictec.2006.08.028]
-
Riva, S., (2006), Laccases: blue enzymes for green chemistry, Trends in Biotechnology, 24(5), p219-226.
[https://doi.org/10.1016/j.tibtech.2006.03.006]
- Samanta, A. K., & Konar, A., (2011), Dyeing of textiles with natural dyes, IntechOpen, Retrieved November 11, 2011, from http://www.intechopen.com/books/natural-dyes/dyeing-of-textiles-with-natural-dyes.
-
Seo, H. Y., Kim, H. R., & Song, H. S., (2011), Effects of chestnut hulls mordant on oenothera odorata jacguin-dyed Fabrics, Fashion & Textile Research Journal, 13(6), p983-990.
[https://doi.org/10.5805/KSCI.2011.13.6.983]
- Seo, M. H., & Shin, Y. S., (1998), Dyeing properties of silk with black tea colorants, Journal of the Korean Society of Clothing and Textiles, 22(5), p557-564.
-
Song, H. J., Kim, H. R., & Song, H. S., (2009), Dyeing properties and scouring of wool/polyester blend fabrics using papain from carica papaya, Journal of the Korean Society of Clothing and Textiles, 33(2), p213-221.
[https://doi.org/10.5850/JKSCT.2009.33.2.213]
-
Sun, S. S., & Tang, R.C., (2013), Laccase-catalyzed coloration of silk with tea polyphenols, Material Sciences and Manufacturing Technology, 629, p352-357.
[https://doi.org/10.4028/www.scientific.net/AMR.629.352]
-
Tavares, A., Rodriguez, O., & Macedo, E., (2008), Ionic liquids as alternative co-solvents for laccase: study of enzyme activity and stability, Biotechnology and Bioengineering, 101(1), p201-207.
[https://doi.org/10.1002/bit.21866]
- Yoon, S. H., & Lim, Y. J., (2005), 천연염료의 안정화 및 염색의 재 현성 확립, [Establishment of stabilization of natural dyes and reproducibility of dyeing], Fiber Technology and Industry, 9(2), p162-176.
-
Yuan, M., Wang, Q., Bai, R., Fan, X., Shen, J., & Smith, E., (2017), Enzymatic coloration and finishing of wool with laccase and polyethylenimine, Textile Research Journal, Advance online publication.
[https://doi.org/10.1177/0040517517712096]





