
통기구 유무와 옷 길이 차이에 따른 건설현장 작업복의 온열생리반응
© 2018 (by) the authors. This article is an open access article distributed under the terms and conditions of the Creative Commons Attribution license (http://creativecommons.org/licenses/by/3.0/), which permits unrestricted use, distribution, and reproduction in any medium, provided the original work is properly cited.
Abstract
This study examined thermo-physiological responses according to the design change of construction site working clothes (control (C) working clothes; prototype (P) working clothes). We measured rectal temperature, skin temperature, micro-climate within the clothes and sweat rate. In the evaluation of physiological functionality, based on pattern improvement in working clothes, P working clothes showed significantly lower rectal temperatures, trunk and thigh skin temperatures than C working clothes. It is preferable that rectal temperature should be kept low during work that is not favorable to an increase in body temperature. P working clothes were more physiologically functional than C working clothes. In addition, P working clothes showed significantly lower temperatures in the trunk and thigh parts in a micro climate temperature. We could explain that the side seam zipper on the pants and the gusset on armpit parts create an air permeability effect of lowering the temperature of micro-climate. Aggressive ventilation through the slit of the garment is an important factor for the restoration of the physiological function of the worker at rest between work. Sweat rate showed a higher level in C working clothes than P working clothes. When working in a hot environment, workwear needs to be designed so that the worker is not exposed to thermal stress. Therefore, it was evaluated that the P work clothes used in this study alleviated the physiological burdens of heat.
Keywords:
working clothes, presence of vents, difference in clothing length, rectal temperature, microclimate temperature키워드:
작업복, 통기구 유무, 옷길이 차이, 직장온, 의복 내 기온1. 서 론
작업복은 여러 가지 작업환경에 필요한 적절한 보호성능을 지닌 의복을 뜻하며, 인체의 근접 환경인 작업복에 대한 요구조건도 작업특성에 맞게 더욱 까다로워지고 있다. 작업복이 갖추어야 할 기본적인 요건으로는 쾌적성, 심미성, 안전성, 내구성, 관리 편의성 등을 들 수 있으며, 작업 종류의 세분화에 따라 작업복의 기능성도 함께 중요시 되고 있다. 작업복이 갖추어야 할 기본 기능으로는 생리적 기능성, 동작 기능성, 내구성, 착탈 용이성, 장식성 등을 들 수 있는데, 생리적 기능성 측면에서 우수한 작업복은 방한, 방서, 방우, 방풍 외에 작업에 따라 생기는 열이나 땀을 발산·흡수할 수 있어야 하며, 보호구 부착 등 신체 보호를 위해 무겁고 두꺼워진 작업복을 착용함으로 발생하는 신체적 피로나 불쾌감을 최소로 하여야 한다. 또한, 동작 기능성 측면에서 우수한 작업복은 작업동작에 따른 신체의 움직임에 잘 적응하여 작업능률을 높일 수 있어야 하며 작업의 움직임에 대해 불쾌한 압박과 구속이 발생하지 않도록 디자인 되어야 한다(Nielsen, 1991).
그러나 실질적으로 제조 및 건설업은 극한 작업환경이 아니기 때문에 사용자들인 작업자들도 기능성에 따른 작업복의 중요성을 간과하고 있으며, 회사가 선정하여 배부하는 작업복 역시 기능적 측면이 아닌 단체복이나 유니폼의 측면이 우선시되고 있는 실정이다. 국내 건설업은 공사규모가 대형화되고 인력시공과 함께 기계 및 자동화 시공의 혼재 작업이 날로 증가하고 있어 이로 인해 재해양상도 점차 대형화되고 있다. 산업재해는 근로자의 상해뿐만 아니라 기업의 경제적 손실로 이어지며 나아가 국가 발전에 영향을 미치게 되므로 모든 업종에서는 재해율을 줄이기 위해 노력하고 있다. 2015년 고용노동부 산재통계에 따르면 건설업의 업종별 산재사망자가 493명으로 가장 많았고 그 뒤를 이어 제조업이 428명, 광업이 417명이었다. 건설업은 여타산업이나 일반제조업과 달리 일회성, 주문생산, 작업 현장의 이동이라는 특성을 지니고 있기 때문에 안전관리가 어려워 발생하는 재해의 강도가 다른 산업에 비하여 비교적 높은 편이다(Che, 1995; Cho, 2009; Jung & Yu, 2013). 건설현장 및 단순현장 근로자는 작업과정에 따라 작업환경이 옥내, 옥외, 지상, 지하로의 변동이 반복되거나 신체가 지속적으로 햇볕에 노출 될 수도 있으며, 다양한 형태의 작업으로 인해 신체동작의 큰 관절 움직임이나 반복적인 육체노동(Choi et al., 2000; Choi & Park, 2007; Kim & Kim, 2006; Park et al., 2011)이 이루어진다. 작업 시 굽힘 상태가 오래 지속되는 신체부위인 주관절과 슬관절은 동작에 따라 피부 변화가 많이 생기는 부위로 작업복 기능성을 높이기 위해서는 패턴을 형태적 특성에 맞게 설계하거나 의복의 구속이 생기지 않도록 여유량을 충분히 주어 디자인하여야 한다. 인체의 다양한 동작에 적응할 수 있는 기능적인 옷을 만들기 위해서는 동작을 연구하고 동작에 따른 관절의 가동영역과 피부의 변화량을 파악하여 적절한 여유분의 선정 하는 등 인체 구조 및 동작 움직임의 형태에 잘 맞는 패턴 설계가 요구된다(Cooper & Glassow, 1972).
작업자가 작업을 하는 경우 환경조건, 작업의 요구특성, 작업복, 작업자 개인적 특성은 서로 결합되어 착용자에게 영향을 미치게 되는데, 먼저 작업복을 착용하고 작업하면 누드 상태보다 근육 활동이 증가되는 반면 작업조건, 속도, 정확성의 범위가 감소된다. 두 번째로 심박수, 혈압, 피부온, 심부온, 산소소비량, 에너지소비, 피로의 증가와 같은 생리적인 반응이 나타난다. 세 번째로 작업자는 열적 불쾌감, 습윤감, 마찰감, 국부압박감 등과 같은 생리적 불쾌감을 경험하게 된다. 이러한 반응들은 피로감 증가, 노동능률 저하, 생산성 감소로 이어질 수 있다(Adams et al., 1994). 따라서 작업자는 피부온, 심박수, 혈압과 피로에 대한 생리적인 압박 때문에 작업 목표 성취 전에 작업을 끝낼지도 모르며 건강과 안전을 위해 작업-휴식이라는 사이클을 가져야 한다. 유쾌하지 않은 감각은 불쾌감을 유발하므로 작업복에 있어서 생리적 기능성에 따른 쾌적성은 생산성에 영향을 미치는 중요한 요인이 되며 작업복의 기능성에 관한 연구들이 이루어지고 있다.
Bae and Kim(2012)은 조선업 작업장의 작업환경 및 보호복의 착용실태에서 용접, 사상, 도장 작업자의 보호복 개발 및 개선이 절신하다고 보고하고 있으며 Park and Park(2008)의 기계·자동차·조선업 근로자의 작업복 착의실태 연구와 Park and Lee(2012)의 작업분야별 기능성 작업복 개발과 제조기준의 표준화를 위한 패턴설계 연구 등에서도 기계 산업 현장의 기능성 작업복과 작업환경 개선을 위한 인식이 높아지고 있음을 알 수 있다. Choi and Park(2007)은 여름철 건설현장 작업복 착의실태 및 작업환경에 관한 문제점을 제기하고 있으며, Lee et al.(2017)은 동작가동성이 향상된 작업복 하의개발을 위해 시판제품의 착용감과 여유량을 평가하는 등 건설현장 작업복에 관한 다각적인 연구가 진행되고 있으나 작업환경과 작업강도를 고려하여 기능성을 향상시키기 위한 작업복에 대한 연구는 아직도 미약한 실정이다.
본 연구는 건설현장에서 착용되는 일반적인 작업복에 대하여 작업 동작에 따른 활동성을 증가시키기 위해 여유량과 길이를 달리하고 생리적 쾌적감을 증가시키기 위해 벤틸레이션 요소인 겨드랑이의 무와 바지 옆솔기의 슬릿을 추가한 작업복을 착용한 후 온열생리반응을 비교분석하여 작업능력 및 생산성에 영향을 미치는 생리적 반응의 고찰을 통하여 면혼방 소재로 가능한 기능적 작업복을 개발하고 착용현장의 적용에 기여함을 목적으로 한다.
2. 연구 방법
2.1. 피험자 및 실험복
피험자는 20대 성인 남성 7명(나이:21.9±2.8years, 몸무게:67.1±3.4Kg, 키:173.0±3.7cm, Mean±SD)으로 사전에 실험절차를 설명하였으며 실험에 대한 동의를 얻어 총 2회의 실험에 참가하도록 하였다.
체온의 24시간 주기 변동인 일내 리듬(circadian rhythm)에 의한 차이를 없애기 위해 작업복 착용 시의 생리적 기능성 평가 실험 시각은 같은 시간대에 하루 한 번 실시하였으며, 1차 실험 후 1일 이상의 휴식기간을 두고 2차의 실험을 실시하였다. 피험자는 실험 2시간 전까지 식사를 마치도록 하여 소화기 활동에 따른 생리반응을 최소로 하였으며 실험기간 동안 평소와 동일한 생활리듬을 취하도록 하였다.
실험복으로 사용된 의복은 건설현장에서 착용되는 기존 작업복(Control 작업복, C 작업복)과 기능성을 향상시키기 위하여 패턴을 개선한 작업복(Prototype 작업복, P 작업복)으로 구성되어 있다(Fig. 1, Table 1). C 작업복의 상의는 일반 점퍼 형태로 앞여밈은 지퍼로 소매단의 여밈은 벨크로로 되어있으며 아랫단 일부는 고무줄 처리가 되어있는 형태이다. 작업복 하의는 앞 주름이 하나 있는 바지형태로 되어 있으며 일반 허리벨트와 옆 호주머니로 구성되어 있다.
P 작업복은 건설현장 근로자의 작업 동작 시 작업복 불편부위와 개선 요구사항(Kim & Kim, 2006)에 근거하여 상의는 어깨처짐을 없애 어깨 위쪽의 여유공간을 확보하여 팔을 올리는 동작이 편하도록 개선하였으며, 어깨솔기선을 소매쪽으로 이동시켜 어깨에 물건을 얹고 운반하는 경우 어깨솔기선이 물건에 눌려 어깨를 압박하지 않도록 개선하였다. 또 옷길이가 긴 캐주얼 셔츠형으로 개선하여 허리굽힘 동작 시 뒤허리가 빠지지 않도록 하였다. 하의인 바지는 앞, 뒤 허리벨트 폭을 증가시켜 상의가 단단히 고정될 수 있도록 하였으며 엉덩이와 바지통의 폭을 넓게 하여 작업동작 시 슬관절 움직임이 용이하도록 하였고, 바지부리를 좁혀 바지부리가 물체에 걸려 낙상 방지를 위한 각반의 사용이 필요하지 않도록 하면서 착·탈의가 편하도록 바지부리에 지퍼 여밈을 하였다. 작업 시 발한이 가슴과 등 부위에 많이 발생함(Kim & Lee, 2012)에 따라 통기성을 좋게 하기 위해 겨드랑이에 망(mesh) 소재의 무를 부착하였으며 바지의 양 옆 솔기에 지퍼로 여닫을 수 있는 슬릿을 추가하였다. 본 연구에 사용된 C와 P 작업복의 직물 특성은 Table 2에 나타내었다.
2.2. 실험방법
건설현장의 현장온도를 감안하여 인공기후실은 환경온도 26oC, 상대습도 60%로 선정하였다. 피험자는 면 100%의 런닝셔츠와 팬티를 착용한 위에 C 작업복과 P 작업복을 랜덤 순서로 착용하고 실험에 임하였다. 작업복은 피험자의 키에 따라 두 그룹으로 나누어 바지 길이와 소매길이가 다른 두 종류의 L 사이즈 작업복을 각각 제작하였다. P 작업복 착용 실험 시, 대퇴 부위 옆 솔기의 슬릿은 작업 중 개구부로 인한 위험성을 배제하기 위하여 운동구간에는 닫고 회복기 구간에 지퍼를 열어 휴식 시 통기성을 좋도록 하였다. 실험은 피험자의 직장온이 안정될 때까지 충분한 시간을 가진 뒤 시작하도록 하였으며, 구성은 휴식기 20분(Rest)을 지난 후 첫 번째 운동기 20분(Ex 1), 회복기 10분(Rec 1), 다시 두 번째 운동기 20분(Ex 2)과 회복기 10분(Rec 2)의 총 80분으로 평소 건설현장 작업자들이 작업과 휴식을 반복하는 것과 유사하게 설정하였으며, 운동은 일반작업의 속도를 감안하여 트레드 밀 위에서 4km/h로 걷기를 실시하였다.
2.3. 측정항목
생리적 기능성 평가를 위해 심부온으로 직장온을 측정하였고, 피부온, 의복 내 기후, 발한량을 측정하였다. 직장온(Rectal temperature)은 직장온 센서에 비닐커버를 씌우고 통증없이 부드럽게 잘 삽입되도록 의료용 바세린을 가볍게 도포한 후 직장 내 12cm까지 삽입하였다. 그리고 서치컬 테이프를 엉덩이에 붙여 직장온이 잘 고정되도록 하였으며 온도 데이터 로거(LT-8A, Gram Corporation, Japan)에 연결하여 직장온도를 1분마다 연속 기록하였다. 피부온(Skin temperature)은 Hardy & Dubois의 7점 측정법을 이용하여 이마, 가슴, 팔, 손등, 대퇴, 하퇴, 발등의 피부표면 위에 센서를 부착시켜 온도 데이터 로거(LT-8A, Gram Corporation, Japan)를 이용하여 1분마다 연속 기록하였다. 생리적 기능성을 평가하기 위한 착의실험의 스케줄과 측정시간은 Table 3에 나타내었다. 의복 내 기후(Micro climate)는 Thermal Recorder(TR-72S, T&D Co., Japan)를 사용하여 대퇴부위의 최내층의 온·습도를 연속 측정하였다. 발한량(Sweat rate)은 감도 1g까지 측정 가능한 저울(IP3-2278053, Mettler toledo, Germany)로 실험 전·후의 체중감소량을 측정하여 단위체표 면적당으로 환산하여 사용하였다. 본 연구에서 얻은 자료는 SPSS Win 22.0 통계프로그램을 이용하여 평균값의 전체 시간경과에 따른 변화와 각 구간별에 대하여 t-test 및 ANOVA 검증을 하였으며 유의차는 p<.05에서 의미있는 것으로 인정하였다.
3. 결과 및 논의
3.1. 직장온(Mean rectal temperature)
직장온은 피부온과 함께 의복착용시의 온열생리반응을 알아보는 중요한 인자(Yang et al., 2017)로 의복 타입별 조건하에서 직장온의 변화를 살펴볼 필요가 있다. 실험 전 구간에 걸친 C 작업복 착용 시의 직장온은 휴식기(Rest)에 안정되어 점차 낮아졌다가 운동기 1(Ex 1) 구간에서 상승하였으며 회복기 1(Rec 1) 구간에 온도변화 없이 거의 일정하게 유지되다가 운동기 2(Ex 2)를 시작하면서 다시 상승하였다. 이에 반해 P 작업복 착용 시의 직장온은 운동기 1 구간에서 운동시작에 따라 증가하였다가 운동 중반부터 회복기 1까지 점차 하강한 후, 운동기 2구간에서 운동에 의해 직장온이 다시 상승하였으나 전체 시간경과에 따른 변화에서 C 작업보다 유의하게 낮은 직장온을 나타내었다(Fig. 2). 직장온 변화(ΔTre)를 Table 4에서 자세히 살펴보면 P 작업복 착용 시 회복기 1과 2 구간에서 각각 -0.06과 -0.05로 C 작업복보다 하강률이 커 회복속도가 빠른 것을 알 수 있다. 본 연구에서 회복기를 10분으로 설정하였는데 만약 10분보다 더 길게 설정하여 관찰한다면 회복력이 더 커질 수 있다는 것을 그래프에서 알 수 있다.
P 작업복은 C 작업복과 동일한 소재이지만 여유분이 많으며 겨드랑이의 망소재로 된 무와 바지 옆 솔기의 지퍼 트임 등의 형태적 요소가 온열생리 반응에 영향을 미쳐 두 작업복 간 직장온의 차이가 발생된 것으로 생각된다. 선행연구에서 Nam(1994)과 Kim and Park(1999)은 소재와 환경온에 따라 유의한 직장온 차이를 발견하지 못하였지만, Lee and Ryoo(1997)의 에어로빅복의 형태에 따라 유의한 직장온 차이를 발견한 결과와 같이 본 연구에서도 작업복의 형태적 요소가 직장온의 차이를 나타낸 것으로 나타났다. Yeon(2004)의 연구에서 슬릿 벤틸레이션이 있는 스포츠 웨어의 직장온이 슬릿 벤틸레이션이 없는 스포츠 웨어 착용 시의 직장온보다 낮았다고 한 결과는 본 연구의 결과와 일치하여 개구부 변화 및 슬릿의 유무는 직장온에 영향을 미치는 요소임을 알 수 있다. 또한, P 작업복 착용시의 직장온이 운동기 1 구간 중반부터 연속적인 하락을 시작하여 회복기 1 구간까지 지속되었고, 회복기 2 구간에서 직장온의 급격한 하강을 나타낸 것도 겨드랑이의 무와 함께 회복기에 열어 둔 바지 옆솔기 지퍼가 슬릿 벤틸레이션 역할을 하여 환기효과에 적절한 것으로 생각된다.
3.2. 가슴 피부온과 대퇴 피부온(Trunk & Thigh skin temperature)
피부온은 Hardy & Dubois의 7점 측정법을 이용하여 이마, 가슴, 팔, 손등, 대퇴, 하퇴, 발등의 피부 표면온을 측정하였으나 두 작업복간의 차가 가장 명확한 가슴 피부온과 대퇴 피부온(Fig. 3, Table 4)을 고찰하였다.
The mean trunk(left) and thigh(right) skin temperature during the experiment with C & P working clothes(**p<.01, ***p<.001)
Nakayama et al.(1981)은 운동 시 피부온이 초기에 하강한 후 상승하는 결과에 대해서 운동시작을 인지한 피부혈관수축신경이 열조절을 위해서 작동한 것으로 설명하고 있으며 본 연구에서도 운동기 1, 2 구간에서 초기에 두 작업복 모두 가슴 피부온이 하강 후 상승을 나타내었다. C 작업복의 가슴 피부온은 사전 휴식기와 운동기 1, 2에서 P 작업복보다 유의하게 높았고 회복기에서의 유의차는 나타나지 않았다. 가슴 피부온에 영향을 미칠 것으로 예상한 P 작업복의 겨드랑이 무는 운동기 동안의 벤틸리에션에는 영향을 주었으나 회복기 구간의 가만히 앉아 있는 상태에서는 큰 효과를 발휘하지 않은 것으로 나타났다. 또, Joo et al.(2003)은 달리기 운동 시 발생하는 다리의 강제 대류량으로 대퇴온이 하강한다고 하였는데 C 작업복의 대퇴 피부온보다 P 작업복의 대퇴 피부온이 유의하게 낮았으며 운동기 1 구간에서의 하락 후 상승, 하락 후 상승의 양상을 보이는 것은 동작 기능성을 좋게 하기 위하여 넓힌 바지통이 운동으로 발생되는 강제 대류량을 더욱 증가시켰기 때문으로 생각된다. P 작업복은 무릎 부위의 동작 기능성을 위하여 밑아래부터 종아리까지의 바지폭을 크게 늘리고 바지 길이도 길게 패턴을 개선하였다. 이 외관적 형태의 차이가 P 작업복의 운동시 대퇴온을 낮게 하는 것에 영향을 미쳐 C 작업복보다 P 작업복 착용 시 피부온에 관한 생리적 기능성이 향상되었음을 알 수 있다.
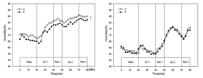
3.3. 의복 내 기후(Microclimate in clothing)
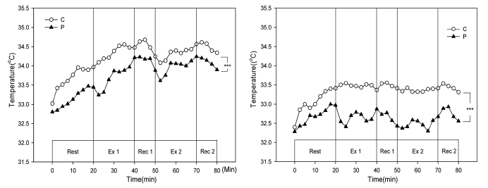
의복을 착용하면 외계기후와는 전혀 다른 특수한 의복 내 기후가 발생하는데 실험 전 구간에 걸쳐 C 와 P 작업복 착용 시의 가슴과 대퇴 부위에서 측정한 의복 내 온도는 Fig. 4와 Table 4에, 가슴과 대퇴 부위에서 측정한 의복 내 습도는 Fig. 5와 Table 4에 나타내었다.
The mean clothing microclimate temperature in trunk area(left) and thigh area(right) during the experiment with C & P working clothes(***p<.001).
Time course of mean clothing microclimate humidity in trunk area(left) and thigh area(right) during the experiment with C & P working clothes(*p<.05).
가슴과 대퇴의 의복 내 온도는 실험 전 구간에 걸쳐 P 작업복이 유의하게 낮았다. 의복 내 가슴온은 운동기 1 구간에서 두 작업복 차가 0.66oC로 가장 컸으며 그 외 구간에서는 0.2~0.3oC 정도의 온도차를 보였다. 의복 내 대퇴온에서도 두 작업복 차는 각 구간에서 0.71~0.97oC까지 크게 나타났는데 P 작업복의 경우 운동기 구간에 바지 옆솔기의 지퍼를 개방하지 않아 통기성의 효과를 기대할 수 없었음에도 불구하고 대퇴의 의복 내 온도가 안정적으로 낮은 것은 바지폭이 넓어 바지폭 내에서 공기층의 순환이 잘 이루어져 전체적으로 의복 내 온도가 낮은 것으로 생각된다.
작업복 소재의 착의성능 중 가장 불만족 요인이 투습도이며(Bae et al., 2010), 작업 시 땀에 의해 젖은 의복이 내의나 피부 표면에 달라붙는 등 의복의 부가적인 마찰이 작업 시 인체 움직임을 방해하므로(Nielsen, 1991) 의복 내 습도는 작업복의 중요한 생리적 요인이 된다. 의복 내 습도는 가슴 부위의 휴식기와 회복기 1 구간에서 P 작업복이 유의하게 낮은 것으로 나타났으며 대퇴 부위의 전 구간에서 두 작업복 간 유의한 차는 없었다. 가슴 부위에서 측정한 의복 내 습도는 휴식기 최저 72.56%에서 시작하여 회복기 2 구간 최고 85.57%까지의 분포를 보이며 가슴과 등의 발한량으로 인해 높은 습도를 나타내었다. 대퇴부위의 의복 내 습도는 휴식기 최저 57.67%에서 회복기 2 구간 최고 73.31 %의 분포로 가슴의 의복 내 습도보다 낮아 하퇴의 발한량이 상반신보다 적었으며 운동기 1 구간보다 운동기 2 구간의 습도가 높아 운동기 2 구간에서 발한이 더 많았음을 알 수 있었다. P 작업복의 하의는 바지폭과 길이를 늘려 슬관절의 활동성을 중점적으로 개선한 작업복으로 각 운동기 구간에서 의복 내 습도에는 영향이 없었으나 회복기 1, 2구간에서 P 작업복의 대퇴 부위의 의복 내 습도가 낮게 나타난 것으로 보아 하의에서 슬릿 벤틸레이션 효과를 주기위해 추가한 옆솔기 지퍼 트임의 역할이 주효하였음을 알 수 있다. 따라서 옆솔기의 트임이 작업의 위험요소로 작용하지 않는 작업장이라면 작업 시 옆솔기 지퍼 트임을 열고 작업복의 슬릿 벤틸레이션 효과를 주는 것이 작업자의 생리반응에 도움이 될 것으로 생각된다.
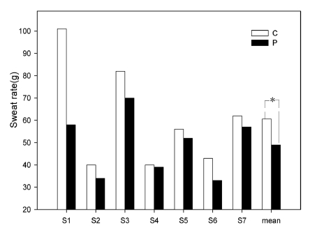
3.4. 발한량(Sweat rate)
C 작업복과 P 작업복의 착용실험에서 피험자별로 측정한 발한량의 결과를 Fig. 6에 나타내었으며, 두 작업복의 평균 발한량은 C 작업복이 P 작업복보다 유의하게 높았다. 이는 C 작업복의 심부온이 더 높았기 때문에 피험자 모두 C 작업복 착용 시의 발한량이 더 많은 것으로 생각되며, 발한중추의 감수성의 차이 등으로 발한량의 개인차가 발생한(Havenith et al., 2008; Inoue et al., 1991, 1995; Inukai et al., 2005) 것을 알 수 있다. 발한에 의해 발생된 땀이 증발함으로 비로소 열을 발산시켜 체온 조절을 할 수 있는 유효발한이 되며(Amorim et al., 2006), 습도가 높으면 열 발산 능력은 감소하고 발한량이 증가하면 무효발한으로 피부젖음이 발생하여 불쾌감을 느끼게 된다(Atmaca & Yigit, 2006). P 작업복에 추가된 겨드랑이 무와 바지 옆 솔기 지퍼 트임 등의 개구부가 의복 내 기후를 변화시켜 발한량에도 영향을 미친 것으로 고찰된다. 이러한 것은 의류 국소 환기 메카니즘을 연구한 Ke et al.(2014)의 연구에서 다양한 의류 개구부를 통한 의류환기는 작업자에게 열로 인한 편안함과 안정성을 부여한다는 연구 결과와도 일치한다.
4. 결 론
본 연구는 건설현장에서 일반적으로 착용되는 기존의 작업복(Control 작업복, C 작업복)과 기능성을 향상시키기 위하여 패턴을 개선한 작업복(Prototype 작업복, P 작업복)을 착용한 후 직장온, 피부온, 의복 내 기후, 발한량의 온열생리 반응에 대해 조사하였다. 실험 전 구간에 걸쳐 P 작업복 착용 시의 직장온은 C 작업복보다 유의하게 낮게 나타났으며, P 작업복 착용 시의 가슴 피부온, 대퇴 피부온, 의복 내 기후, 발한량에 의한 온열생리 반응은 C 작업복 착용 시보다 작업에 더욱 적절함을 알 수 있었다.
두 작업복은 동일한 소재로 이루어졌으나 P 작업복은 동작 기능성을 개선하기 위하여 상의 옷길이와 하의 바지 길이를 늘리고 바지 폭을 넓혔으며, 상의의 겨드랑이에 망 소재 무를 추가하였고 하의의 바지 옆솔기에는 지퍼를 활용한 트임 슬릿을 추가하였다. 이러한 형태적 차이는 의복 내의 공기순환에 유리하게 작용하여 두 작업복간 직장온, 대퇴온, 의복기후 온도의 차를 발생시킨 것으로 생각된다. P 작업복의 경우, 운동기에는 작업환경에서 오는 안전등을 고려하여 지퍼를 개방하지 않아 통기성의 효과를 기대할 수 없었음에도 불구하고 대퇴의 의복 내 온도가 안정적으로 낮게 유지된 것은 바지폭이 넓어 바지폭 내에서 공기층의 순환이 잘 이루어졌기 때문으로 보여진다. 또 회복기에는 의자에 앉아 휴식하고 있을 때 슬릿 벤틸레이션 효과를 주기위해 추가한 옆솔기 지퍼 트임의 역할이 주효하여 대퇴부위 의복 내 습도가 낮게 나타났음을 알 수 있다. 따라서 바지 옆 솔기의 트임이 작업의 위험요소로 작용하지 않는 작업장이라면 작업 시에도 옆 솔기 지퍼 트임을 개방하여 작업복에 있어서 의류환기 효과를 주는 것이 작업자의 온열생리 조절반응에 도움이 될 것이다.
더운 환경에서 작업을 하는 경우 작업자의 체온 상승이 불가피하므로 작업자가 열적 스트레스를 받지 않도록 작업복을 디자인해야 하며, 체온상승이 우려되는 작업 시에는 직장온이 낮게 유지되는 것이 바람직하므로 본 연구에서 사용된 P 작업복은 직장온 뿐만 아니라 피부온, 의복 내 기후, 발한량의 측면에서 온열 생리적 부담을 경감시킨 것으로 평가되어 작업복에 추가한 일부 패턴 개선만으로 유의미한 결과가 초래되는 것을 알 수 있었다. 또한 메쉬 소재를 활용한 겨드랑이의 무나 하의의 옆 솔기 슬릿은 통기성에 중요한 역할을 하는 것으로 나타나 기능성 소재의 대안으로 활용될 수 있으며, 의복의 슬릿을 통한 적극적인 벤틸레이션은 작업과 작업사이의 휴식 시에 작업자의 생리적 기능 회복에 중요한 영향을 미치는 요소가 됨을 알 수 있었다. 이러한 무와 슬릿은 온열생리반응에 대한 유효성 측면에서 기능성 원단을 대체할 수 있는 패턴개선 요소로 일반 작업복에도 적극적으로 도입, 확대될 필요성이 있다.
References
-
Adams, P. S., Slocum, A. C., & Keyserling, W. M., (1994), A model for protective clothing effects on performance, International Journal of Clothing Science and Technology, 6(4), p6-14.
[https://doi.org/10.1108/09556229410054495]
-
Amorim, F. T., Vimieiro-Gomes, A. C., Machado-Moreira, C. A., Magalhaes, F. C., Rosa, M. S., Prodo, L. S., & Rodrigues, L. O. C., (2006), Is sweat rate during steady state exercise related to maximum oxygen uptake?, Journal of Thermal Biology, 31(6), p521-525.
[https://doi.org/10.1016/j.jtherbio.2006.05.006]
-
Atmaca, I., & Yigit, A., (2006), Predicting the effect of relative humidity on skin temperature and skin wettedness, Journal of Thermal Biology, 31(5), p442-452.
[https://doi.org/10.1016/j.jtherbio.2006.03.003]
-
Bae, H. S., Park, H. W., Park, G. A., & Kim, J. K., (2010), The wearing conditions of working clothes according to the working environment and working process in industry site: With reference to machinery, automobile, shipbuilding industry, Journal of the Korean Society of Clothing and Textiles, 34(8), p1378-1391.
[https://doi.org/10.5850/JKSCT.2010.34.8.1378]
-
Bae, H. S., & Kim, M. Y., (2012), The work environment and wearing conditions of industrial protective clothing and shipbuilding workshops, Journal of the korean Society of Clothing and Textiles, 36(5), p512-522.
[https://doi.org/10.5850/JKSCT.2012.36.5.512]
- Che, J. D., (1995), A study on the efficiency plan of safety management in small and medium construction spot, Unpublished master's thesis, Seoul National University, Seoul.
- Cho, J. W., (2009), A study on causal effects of safety training and safetyawareness of construction industry workers affecting industrial incidents, Unpublished master's thesis, Dongguk University, Seoul.
- Choi, J. W., Mun, J. S., Kim, J. A., Won, J. I., & Park, H. C., (2000), Health hazardous substances in construction work in Korea., Korean Industrial Hygiene Association Journal, 10(1), p74-83.
-
Choi, J. W., & Park, J. H., (2007), Working clothes and working environment of workers at a construction site in summer, Journal of the Korean Society of Clothing and Textiles, 31(11), p1520-1529.
[https://doi.org/10.5850/JKSCT.2007.31.11.1520]
- Cooper, J. M., & Glassow, R. B., (1972), Kinesiology (3rd ed.), Missouri, Mosby.
-
Havenith, G., Fogarty, A., Barlett, R., Smith, C. J., & Ventenat, V., (2008), Male and female upper body sweat distribution during running measured with technical absorbents, European Journal of Applied Physiology, 104(2), p245-255.
[https://doi.org/10.1007/s00421-007-0636-z]
-
Inoue, Y., Nakao, M., Araki, T., & Murakami, H., (1991), Regional differences in the sweating responses of older and younger men, Journal of Applied Physiology, 71(6), p641-710.
[https://doi.org/10.1152/jappl.1991.71.6.2453]
-
Inoue, Y., Nakao, M., Okudaria, S., Ueda, H., & Araki, T., (1995), Seasonal variation in sweating responses of older and younger men, European Journal of Applied Physiology and Occupational Physiology, 70(1), p6-12.
[https://doi.org/10.1007/bf00601802]
-
Inukai, Y., Sugenoya, J., Kato, M., Nishimura, N., Nishiyama, T., Matsumoto, T., Sato, M., Ogata, A., Taniguchi, Y., & Osada, A., (2005), Effects of body posture on local sweating and sudomotor outflow as estimated using sweat expulsion, Autonomic Neuroscience: Basic and Clinical, 119(1), p48-55.
[https://doi.org/10.1016/j.autneu.2005.02.002]
- Joo, D. Y., Kim, S. K., & Jeong, D. H., (2003), Effects of moderate intensity aerobic exercise on core temperature and skin temperature, Korea Sports Research, 14(5), p77-90.
-
Jung, J. Y., & Yu, H. J., (2013), A study for construction workers' safety consciousness and safety education activation methods, Journal of the korean Society of Safety, 28(1), p47-51.
[https://doi.org/10.14346/JKOSOS.2013.28.1.047]
-
Ke, Y., Li, J., & Havenith, G., (2014), An improved experimental method for local clothing ventilation measurement, International Journal of Industrial Ergonomics, 44(1), p75-81.
[https://doi.org/10.1016/j.ergon.2013.10.009]
-
Kim, H. E., & Lee, A. R., (2012), Analysis of thermography on skin temperature during exercise, Journal of the Korean Society of Clothing and Textiles, 14(1), p130-135.
[https://doi.org/10.5805/KSCI.2012.14.1.130]
- Kim, K. H., & Park, G. H., (1999), Effect of uniform style and temperature change on physiological responses during submaximal exercise, Journal of the Korean Society Living Environment System, 6(2), p52-57.
- Kim, S. S., & Kim, H. E., (2006), A research study on construction field worker's working uniform, Journal of the Korean Society of Clothing and Textiles, 8(2), p203-208.
-
Lee, H. J., Eom, R. I., & Lee, Y. G., (2017), Evaluation of wearing comfort and ease of working pants for improved mobility, Journal of the Korean Society of Clothing and Textiles, 41(4), p752-770.
[https://doi.org/10.5850/JKSCT.2017.41.4.752]
- Lee, M. K., & Ryoo, S. H., (1997), Wear sensation in accordance with clothing shapes of aerobic wear, Journal of the Korean Society Living Environment System, 4(4), p57-68.
-
Nakayama, T., Ohnuki, Y., & Kanosue, K., (1981), Fall in skin temperature during exercise observed by thermograph, The Japanese Journal of Physiology, 31(5), p757-763.
[https://doi.org/10.2170/jjphysiol.31.757]
- Nam, S. N., (1994), The heart rate and rectal temperature study of the different fabric sportswear during 60% VO2 maximal exercise, Journal of the Korean Society Living Environment System, 1(1), p23-29.
- Nielsen, R., (1991), Work clothing, International Journal of Industrial Ergonomics, 7, p77-85.
- Park, G. A., Park, H. W., Bae, H. S., & Kim, G. K., (2011), The analysis on work clothes' clothing comfort and wearer mobility of welding and grinding workers in the machine and shipbuilding industries, Journal of Fashion Business, 15(2), p145-159.
-
Park, G. A., & Lee, W. K., (2012), Men's work clothes jumper patternmaking and its appearance evaluation through 3-D clothing simulation, Journal of Fashion Business, 16(1), p103-120.
[https://doi.org/10.12940/jfb.2012.16.1.103]
- Park, H. W., & Park, G. A., (2008), The actual condition and preference of the working uniform design in the industrial complex, Journal of Fashion Business, 12(2), p134-152.
-
Yang, J., Weng, W., Wang, F., & Song, G., (2017), Integrating a human thermoregulatory modal with a clothing model to predict core and skin temperatures, Applied Ergonomics, 61, p168-177.
[https://doi.org/10.1016/j.apergo.2017.01.014]
- Yeon, S. M., (2004), Effect of slit ventilation system in sportswear on physiological responses, Unpublished master's thesis, Kyungpook National University, Daegu.




