
철릭의 연대별 치수비교 연구
© 2017 (by) the authors. This article is an open access article distributed under the terms and conditions of the Creative Commons Attribution license (http://creativecommons.org/licenses/by/3.0/), which permits unrestricted use, distribution, and reproduction in any medium, provided the original work is properly cited.
Abstract
The purpose of this study is to provide basic data for design and pattern development research in the modernization of Cheollik by comparing and analyzing the interrelationships between the components of the Cheollik. The 237 pieces of excavated costume Cheollik in the museums were surveyed. The size of the Cheollik components were examined by 100 year unit from 1400s to after 1800s. In the 1400s, the length of Cheollik was the shortest and the length of top was longer than the bottom. In the 1700s, the total length was the longest and the bottom was longer than the top. As the age increases, the total length and the bottom become longer and the length of the top becomes shorter. Poom and Gutseop were the largest in the 1400s and the smallest the after 1800s. As the age of the Poom and Gutseop decreased, the width of the Anseop increased. Gutseop was always present but Anseop was not always present in Cheollik components. As the ages passed, Jindong and Soogu became narrower and Baerae became wider. These change of Cheollik's sleeves form were affected by GongBok(so-called official wear) sleeves. By age, Cheollik did not show any big change in the basic shape, but the partial dimensions of the components showed changes. If the design and pattern research for modernization is done based on systematic establishment of pattern dimension of Cheollik, Cheollik dress combines practicality while preserving beauty and tradition at the same time.
Keywords:
Cheollik size, chronological comparison, pattern, modernization키워드:
철릭 치수, 연대별 비교, 패턴, 현대화1. 서 론
철릭은 여러 전통 포(袍)와는 다른 구성상의 특징을 가진 전통의복으로 조선왕조실록(The true record of the Joseon dynasty, 1834)에 우리 동방의 의복 중 가장 오래 된 의복이라는 기록이 있다. 조선시대 남성의 의복인 철릭은 상의(上衣)와 하상(下裳)이 연결된 형태로 허리부분의 절개선을 중심으로 상의는 소매가 있는 저고리의 형태이며, 하상은 주름이 잡혀있는 치마의 형태이다. 철릭은 현대의 랩 원피스 스타일의 형태와 비슷하여 입고 벗기 편하다는 장점이 있으며, 현대 라이프 스타일에 맞게 변화된 철릭 원피스로 재탄생하여 젊은 여성을 위한 의복으로서 많은 사랑을 받고 있다. 또한, 철릭은 TV 광고나 사극 드라마 등에 자주 등장하면서 젊은 층들 사이에서 일상복으로도 관심을 받고 있다.
시중에 유통되고 있는 철릭 원피스는 활동성과 실용성을 보완하여 제작되었다고는 하지만 철릭의 형태 변화과정에 대한 이해의 부족으로 전통의복에 근거하여 현대화되기 보다는 서양의복인 랩 스타일 원피스에 깃의 형태만을 덧붙여 제작된 경우가 많다. 그러므로 새롭게 조명되고 있는 철릭의 현대화를 위해서는 형태 변화과정에 대한 체계적인 정립이 선행되어야 하며 이를 위해 유물로 남겨진 철릭의 연대별 패턴 치수에 대한 비교분석이 필요하다.
지금까지의 한복 패턴 관련 연구는 저고리, 바지, 치마 등에 대한 연구(Cho, 1992; Kang et al., 1999; Lee, 2015; Lim & Lee, 2012)가 주를 이루고 있으며, 전통 포(袍) 중에는 두루마기 패턴 연구(Chung, 2010; Lee, 2014)에 한정되어 있었다. 또한 철릭에 관한 선행 연구로는 철릭의 다양한 명칭에 대한 연구(Lee, 1988), 철릭과 남자 포와 상호관계에 대한 연구(Chung, 2000), 철릭을 디자인 개발에 활용한 연구(Cho, 2011; Kim, 2007), 출토 요선철릭의 구성법에 관한 연구(Choi, 2003), 조선 초·중기 홑철릭에 관한 연구(Seo & Ahn, 2001) 등이 있다. 그러나 철릭의 현대화를 위한 디자인과 패턴 개발을 위해 유물 철릭의 치수를 연대별로 비교분석한 연구는 부족한 실정이다. 철릭의 패턴 구성은 다른 여러 전통 포(袍)들과는 구별되는 특징이 있어 이에 대한 연구는 철릭에 대한 이해를 높일 수 있고, 철릭의 현대화를 위한 디자인과 패턴 개발에 도움이 될 것이다. 따라서 본 연구에서는 유물 철릭의 연대별 변화과정을 철릭의 구성요소인 총길이, 품, 섶, 진동, 배래, 수구 등의 치수를 구성요소간의 상호관계를 통해 비교분석하여 철릭의 현대화를 위한 디자인과 패턴 개발 연구에 기초 자료가 되고자 한다.
2. 연구 방법
본 연구는 철릭의 연대별 형태 변화과정을 알아보기 위해 전국의 박물관에서 소장하고 있는 유물 철릭을 조사하여 철릭의 구성요소간의 상호관계를 통해 비교분석하고자 한다.
이를 위해 국립박물관, 공립박물관, 대학박물관, 사립박물관 등에서 소장하고 있는 철릭을 조사한 후 박물관별로 분류하고 유물 철릭관련 조사보고서와 문헌자료를 이용하여 총 236점의 철릭에 대한 치수 정보를 수집하였다. 이를 바탕으로 연대별 치수의 상호관계에 대한 연구를 수행하였으며 이러한 연구과정을 포함하는 유물 철릭의 조사 단계는 Fig. 1과 같다.
연대가 가장 이른 철릭은 경기도 고양군에서 출토된 홍계강(1400~1450)의 철릭 유물을 시작으로 안동김씨 김수근 일가(1708~1968)의 철릭까지 유물 철릭 236점에 대한 연대 분류는 묘주의 생몰연대에서 사망시점을 기준으로 하여 각 100년 단위로 나누었으며, 1400년대에서 1800년대 이후까지 모두 5개의 연대로 구분하여 연대에 따른 구성요소간의 치수변화를 살펴보았다. 철릭 유물은 대부분 토지나 도로, 도시 개발 공사 등으로 인한 묘 이장을 통하여 발견된 출토유물이 대부분이었다.유물 철릭을 연대별로 분류한 결과 1400년대 15점, 1500년대 133점, 1600년대 70점, 1700년대 9점, 1800년대 9점으로 조사되었으며, 연대별 철릭의 형태 변화에 따른 대표 도식화를 Table 1에 나타내었다. 236점의 철릭 치수는 총길이, 품, 섶, 진동, 배래, 수구 등의 구성요소들로 나누어서 연대별 상호관계를 비교분석하였다. 본 연구는 조사보고서와 문헌 자료에 기재된 철릭 유물의 부분 치수 정보를 활용하여 철릭의 구성요소들 간의 치수에 대한 비교분석을 수행하였다.
3. 결과 및 논의
철릭을 연대별로 조사하여 총길이, 상의(上衣)와 하상(下裳), 품과 겉섶, 겉섶과 안섶, 진동·배래·수구의 관계 등을 중심으로 구성 요소간의 치수 상호관계를 비교분석하였다.
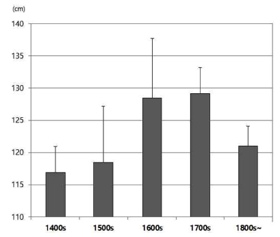
3.1. 총길이
철릭의 연대별 총길이 변화의 평균값과 표준편차를 Fig. 2에 나타내었다. 총길이가 가장 길었던 연대는 1700년대(129.1cm)였으며, 그 다음으로는 1600년대(128.4cm), 1800년대 이후(121.0cm), 1500년대(118.5cm), 1400년대(116.9cm) 순으로 나타났다.
철릭 총길이를 Fig. 2에서 비교해보면 1500년대에서 1600년대로 넘어가면서 급격히 길이가 길어지는 변화가 발생하였는데 그 평균값의 차이는 9.9cm로 나타났다. 연산 11년 1505년의 조선왕조실록에서 철릭의 총길이를 짧게 하라고 명령한 기록으로 미루어 볼 때 1500년대는 총길이가 짧은 상태를 유지하였으나, 1592년에 발발한 임진왜란 이후에 착용한 철릭이 출토된 1600년대에는 철릭의 총길이가 길어진 것으로 조사되었다. 철릭은 임진왜란 전에는 평상시에 입는 상복(常服)의 안에 받쳐입는 받침옷(裏衣)으로 착용되어 상복보다 길이를 짧게 제작하여 길이가 짧았으나, 임진왜란 후에는 군사(軍事)가 있을 때 입는 무관의 융복(戎服)으로서 겉옷(表衣)으로 착용되면서 철릭의 길이가 길어져, 기능의 변화에 따른 총길이의 변화가 발생한 것으로 생각된다. 그러나 Hong(1996)의 연구에서는 철릭의 길이가 길어진 원인에 대해 오랜 철릭 착용에 대한 지루함에서 벗어나기 위해 기능보다는 미를 추구하는 심리적인 변화에서 철릭의 총길이가 길어진 것으로 설명하고 있다.
3.2. 상의(上衣)와 하상(下裳)의 관계
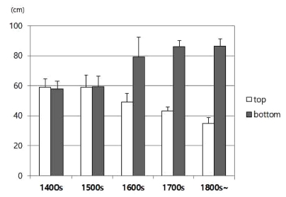
철릭은 소매가 있는 저고리 형태의 상의(上衣)와 주름이 잡혀있는 치마 형태의 하상(下裳)이 연결된 원피스 스타일의 의복이므로 연대별로 상의와 하상의 치수를 산출하여 평균값과 표준편차를 Fig. 3에 표기하였다.
1400년대에 철릭의 상의는 59.0cm, 하상은 57.9cm로 상의와 하상의 비율이 1: 0.98로 평균값의 비교에서는 길이가 비슷하게 나타났으나 개별적으로 살펴보았을 때는 상의가 하상보다 대체적으로 길었으며, 전주이씨 문양군(1431-1489)의 겹철릭은 상의가 하상보다 15cm가 더 긴 것으로 조사되었다. 1500년대 상의와 하상의 비율은 1:1.01로 나타났지만 선성군 이흠(1522-1562)의 철릭(11점), 나주정씨(1508-1572)의 철릭(23점)에서는 상의가 하상의 길이보다 긴 철릭, 같은 철릭, 짧은 철릭이 모두 공존하여 상의와 하상 길이 변화의 과도기였던 것으로 사료된다.
1600년대에는 상의 49.2cm, 하상 79.2cm로 상의와 하상의 비율은 1:1.61로 대부분의 철릭이 상의가 하상보다 짧은 것으로 조사되었고, 1700년대에는 상의와 하상 비율이 약 1:2, 1800년대 이후에는 상의와 하상 비율이 약 1:2.5였고 상의와 하상의 길이 차이는 무려 51.6cm인 것으로 나타났으며 윤용구(1853-1939)의 철릭(2점) 중에는 상의와 하상의 길이 차가 67.0cm인 철릭도 있는 것으로 조사되었다.
연대의 흐름에 따라 상의와 하상 비율이 1400년대에는 거의 1:1에서 1800년대 이후 거의 1:2.5로 변화하여 연대가 흐를수록 상의와 하상 비율은 점점 증가하여 상의보다 하상의 길이가 점차 증가하는 경향을 보였다. 이러한 철릭의 상의와 하상 비율의 변화는 여성의 저고리와 치마의 길이 변화와 관계가 있는 것으로 사료된다. Chang(1997)의 연구에서도 철릭 상의는 저고리의 길이 변화에 영향을 받은 것으로 저고리의 길이가 짧아짐에 따라 철릭 상의의 길이도 짧아졌고, 철릭 하상의 길이 또한 자연스럽게 길어진 것이라 밝히고 있다.
3.3. 품과 겉섶의 관계
품과 겉섶의 연대별 크기 변화를 알아보기 위해 품과 겉섶의 아랫부분인 겉섶하 너비의 연대별 평균값과 표준편차를 Fig. 4에 나타내었다.
품이 가장 컸던 연대는 1400년대로 70.3cm이었고 시간이 갈수록 품이 작아져 가장 작았던 연대는 1800년대 이후로 46.5cm이었으며, 그 차이는 23.8cm로 나타났다. 그리고 겉섶의 너비가 가장 컸던 연대는 1400년대로 34.6cm이었고 가장 작았던 연대는 1800년대 이후 14.5cm로 그 차이는 20.1cm로 나타나 겉섶의 크기 또한 작아지는 것으로 조사되어 연대가 흐를수록 품이 점차 작아지고 더불어 겉섶의 너비 또한 작아지는 경향을 나타났다.
비율적 측면에서 품과 겉섶의 너비는 1400년대에 1:0.49로 겉섶의 너비는 품의 약 50%를 차지하였고 1800년대 이후에는 1:0.31로 겉섶은 품의 약 30% 크기로 줄어들어 품보다 겉섶의 너비가 작아지는 비율이 더 높은 것으로 나타났다. 이로 인해 시간이 흐를수록 품과 겉섶이 겹쳐지는 비율이 감소하였고 겹침 분량이 줄어들면서 철릭의 여밈 위치도 오른쪽에서 점차 왼쪽으로 이동하여 중심쪽으로 옮겨진 것을 알 수 있었다.
3.4. 겉섶과 안섶의 관계
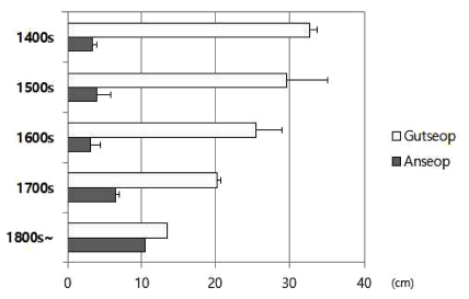
섶은 앞길 중앙 절개선의 좌·우에 봉제되어 겉섶과 안섶으로 구분되고(Soh & Chu, 2001) 섶의 너비에 따라서 여밈의 정도가 달라지며, 섶은 앞을 단정하게 여미어 속이 들여다보이지 않게 정리하는 기능을 한다(Chae, 2012). 섶은 윗부분인 ‘상’과 아랫부분인 ‘하’로 나누어 섶상, 섶하라고 하며 본 연구에서는 섶의 너비를 연대별로 알아보기 위해 겉섶과 안섶의 섶상너비의 평균값과 표준편차를 다음과 같이 Fig. 5에 나타내어 분석하였다.
겉섶과 안섶의 너비 변화를 Fig. 5에서 살펴보면 연대가 흐를수록 겉섶의 너비는 점차 작아지고 반대로 안섶의 너비는 커지는 것을 알 수 있다. 1400년대에 철릭의 겉섶상은 32.8cm, 안섶상은 3.3cm로 안섶은 겉섶 너비의 10%수준으로 겉섶의 너비에 비해 안섶의 너비가 아주 작았으며 1500년대와 1600년대의 안섶 너비도 여전히 작은 수준에 머물렀다. 1700년대에 들어서면서 안섶은 겉섶 너비의 32%를 차치하여 안섶의 너비는 연대의 흐름에 따라 확연한 증가를 나타냈다. 1800년대 이후 겉섶상은 13.5cm, 안섶상 10.5cm로 안섶은 겉섶의 80% 수준에 이르러 안섶의 너비가 상당히 커진 것을 관찰할 수 있었다. 1400년대부터 철릭에서 겉섶은 항상 존재하였지만 안섶은 생략되거나 아주 작은 형태로 철릭에 존재하였으며, 전주이씨 문양군 (1431-1489)의 철릭 6점에서는 안섶이 존재하는 철릭 4점과 존재하지 않는 철릭 2점이 공존하는 것으로 나타났다.
3.5. 진동·배래·수구의 관계
철릭의 소매 형태 변화를 알아보기 위해 진동길이와 배래너비, 수구너비의 평균값을 일반적인 소매 형태가 연상되는 방향으로 그래프의 축을 설정하여 진동, 배래, 수구의 순서로 Fig. 6에 표시하였다.
소매 형태의 변화를 진동길이와 배래너비의 비율 측면에서 살펴보면 1800년대 이후 1:1.99로 배래너비가 진동길이의 거의 2배 크기로 가장 높았으며, 그 다음은 1700년대(1:1.94), 1600년대(1:1.29), 1400년대(1:1.18), 1500년대(1:1.05) 순으로 점점 비율이 낮아졌다. 그리고 철릭의 소매너비가 가장 좁았던 연대는 1600년대였으며 소매너비가 가장 넓었던 연대는 1700년대였던 것으로 조사되었다.
철릭의 진동길이는 1400년대 이후부터 연대의 흐름에 따라 짧아지고, 배래너비는 1600년대까지는 점차 좁아지는 경향을 보이다가 1700년대에는 배래의 너비가 진동 길이의 약 2배 정도까지 급격히 넓어졌다. 1700년대에 배래너비가 급격히 증가한 원인을 조선왕조실록(The true record of the Joseon dynasty, 1793)에서 찾아보면 ‘벼슬아치의 공복(公服) 소매와 깃의 폭이 점점 넓어지고 관아에서 일하던 관노인 조례(皂隷)의 철릭 소매도 따라 넓어져 거의 온 폭의 비단을 쓰게 되어 낭비가 상당하다’는 기록이 있어 철릭의 소매 형태의 변화는 공복 소매에서 영향을 받았음을 알 수 있다. Chang(1997)은 진동길이가 짧아지면서 배래가 곡선인 형태로 변화한 것은 철릭에서만 일어난 현상이 아니라 장의, 도포, 창의 등의 다른 의복에서도 함께 일어나는 변화로, 구성요소의 시대적 변화가 적용된 것이라고 설명하고 있다. 한편 Lee(1989)의 연구에서는 철릭의 소매 너비가 넓어진 것을 계급표식을 위한 과시적 소비심리에 기인한다고 하였다.
4. 결 론
철릭의 디자인과 패턴 개발 연구의 기초 자료를 마련하고자 본 연구를 수행하였으며, 전국 박물관에 소장하고 있는 유물 철릭 237점에 대한 치수 정보를 조사하여 1400년대에서 1800년대 이후까지 100년 단위로 구분하여 구성요소간의 상호관계를 비교분석하였다.
철릭은 연대별로 상의와 하상의 기본 형태 변화는 없었지만 총길이, 상의와 하상의 길이, 품, 섶의 너비, 진동길이, 배래너비, 수구너비 등의 치수는 연대에 따라 많은 변화가 있었다. 1400년대의 철릭은 총길이가 가장 짧았고 상의와 하상의 길이 비율은 거의 1:1이였고, 1700년대에는 총길이가 가장 길었고 상의와 하상의 비율은 약 1:2로 상의보다 하상이 긴 형태가 되었으며 1800년대 이후에 총길이는 급격히 짧아졌지만 상의와 하상의 비율은 거의 1:2.5로 가장 높았다. 철릭의 총길이는 임진왜란을 전후로 확연한 변화가 나타났으며, 이는 임진왜란 전상복(常服)으로 받침옷의 기능에서 임진왜란 후 융복(戎服)으로 겉옷의 기능을 하게 되면서 철릭의 기능적 변화로 인한 것으로 사료된다.
품과 겉섶은 1400년대에 가장 컸으며 1800년대 이후에 가장 작은 것으로 조사되어 연대가 흐를수록 품이 작아지고 겉섶의 너비 또한 작아지는 경향이 나타났다. 품과 겉섶의 비율은 1400년대 약 1:0.5에서 1800년대 이후 약 1:0.3으로 시간이 흐를수록 품과 겉섶이 겹쳐지는 비율이 감소하여 철릭의 여밈 위치도 중심쪽으로 이동한 것을 알 수 있었다. 겉섶 너비는 1400년대에 안섶 너비의 거의 10배 크기로 겉섶에 비해 안섶의 너비가 아주 작았지만 1800년대 이후에는 겉섶과 안섶의 비율이 5:4로 변화하여 안섶의 너비가 상당히 커진 것을 관찰할 수 있었다. 연대가 흐를수록 겉섶의 너비는 작아지고 반대로 안섶의 너비는 커지는 경향을 나타내었으며 겉섶은 항상 존재하였지만 전주이씨 문양군(1431-1489)의 철릭 6점에서 안섶이 존재하는 철릭과 존재하지 않는 철릭이 공존하는 것으로 보아 철릭에서 안섶은 구성요소로서 항상 존재하였던 것은 아닌 것으로 판단된다.
연대가 지날수록 진동 길이는 짧아지고 수구 너비는 좁아지는 반면 배래 너비는 1600년대까지는 좁아지다가 1700년대에는 넓어지는 경향을 나타내었다. 1600년대에 소매통이 가장 작았고, 1700년대는 소매통이 가장 큰 시기로 나타났으며 진동과 배래 너비의 비율은 1500년대에는 거의 1:1에서 1700년대에는 1:2로 배래의 너비가 크게 증가하였다. 이는 공복(公服) 소매가 넓어지면서 철릭 소매도 따라 넓어졌다는 조선왕조실록의 기록을 통해 철릭의 소매 형태 변화는 공복 소매에서 영향을 받았음을 알 수 있게 해 준다.
철릭은 연대에 따라 치수 변화가 발생하면서 깃, 소매, 주름, 섶 등의 구성요소의 형태 변화도 함께 진행되었다. 이러한 구성요소들의 변화에 덧붙여 현대인의 라이프 스타일과 트렌드를 반영한 철릭 디자인과 패턴에 대한 다각적인 연구가 이루어져야 한다. 전통은 시기와 장소에 따라 각기 다른 형태로 형성되고, 시간의 흐름에 따라 발전하고 변화하여 또 다시 전통으로 축적될 수 있을 것이다(Edward, 1981/1992). 따라서 철릭의 패턴 치수에 대한 체계적인 정립을 바탕으로 현대화를 위한 디자인과 패턴 연구가 이루어진다면 철릭의 미와 전통을 동시에 살리면서도 실용성을 겸한 현대인을 위한 철릭 원피스로 거듭날 수 있을 것이며 이는 새로운 전통으로 이어져나갈 것이다. 또한 우리의 철릭이 널리 보급되어 우리만의 전통의복인 철릭이 아니라 중국의 치파오나 일본의 유카타처럼 세계적으로 널리 인지되어지기를 기대한다.
본 연구의 조사대상인 유물 철릭은 습기, 일광, 해충 등으로 인해 발생하는 손상을 방지하기 위해 외부 공개에 제한을 두고 있어 조사대상인 유물 철릭을 조사보고서, 문헌자료 등의 내용에 나타난 치수와 실측도를 기본으로 연구를 진행하였다는 제한점이 있다. 또한 본 연구에서는 1400년대부터 1800년대 이후까지 100년 단위로 나누어 비교분석하였지만 연대의 구분에 따른 다양한 관점에서의 연구가 기대되는 바이다.
Acknowledgments
이 논문은 2017년도 정부(미래창조과학부)의 재원으로 한국연구재단의 지원을 받아 수행된 기초연구사업임(No. 2017R1A2B1007821).
References
- Chae, K. S., (2012), , 전통한복과 한스타일 [Korean traditional clothes & Korean style], Gyeonggi-do, Jigu culture.
- Chang, I. W., (1997), A study on name and style change on Chopni in chosun, Family and Environment Research, 35(1), p389-400.
- Cho, M. S., (2011), A study on the one-piece's design apply to Cheollik in joseon-dynasty, Unpublished master’s thesis, Hannam University, Daejeon.
- Cho, Y. A., (1992), A study on the Korean costume pattern design using CAD system(I) -With concentration on the girl's color-strip blouse & skirt-, Journal of the Korean Society of Costume, 19, p105-125.
- Choi, E. S., (2003), A research on waist lined coat with pleats based on the excavated costume from the Byun-su(1447-1524) tomb, Journal of the Korean Society of Costume, 53(4), p163-176.
- Chung, H. G., (2000), The mutual relation between the Chulik and the Po for man in the period of Chosun dynasty, Journal of the Korean Society of Clothing and Textiles, 24(2), p226-236.
- Chung, O. I., (2010), Development of a prototype drafting method for Hanbok Durumagi, Family and Environment Research, 48(4), p71-81.
- Edward, S., (1992), Tradition, (Kim, B. S., & Shin, H. S. Trans.), Seoul, Minumsa, (Original work published 1981).
- Gyeonggi provincial museum, (2007), 김확 합장묘 출토복식: 안동 김씨 문공파- [Excavated costume from the Couple's Tomb of Kim Hwak: Andong Kim family Moonongongpa-], Yongin, Author.
- Hong, N. Y., (1996), The study of the exvacated clothes of the mid-Chosun dynasty, Journal of the Korean Society of Clothing and Textiles, 20(3), p527-537.
- Kang, S. C., Hong, N. Y., Nam, Y. J., Cho, H. S., & Hwang, E. S., (1999), The pattern standardization for the ready made Korean traditional costumes for men in twenties, Journal of the Korean Society of Costume, 47, p61-71.
- Kim, J. H., (2007), Research on the modernization of 'Cheolik' design, Unpublished master’s thesis, Kyunghee University, Seoul.
- Koh, B. J., (2001), 상암동 출토 全州李氏 益炡(1699~1782)유물연구 [Study on the relics of Jeonju Lee family Ikjeong(1699~1782) excavated from Sangam-dong], 한국복식, 19, p83-148.
- Lee, E. J., (1988), A study on the term 'Cholik', Journal of the Korean Society of Clothing and Textiles, 12(3), p363-371.
- Lee, E. J., (1989), An analysis on Cholik in social aspect, Journal of the Korean Society of Clothing and Textiles, 13(4), p319-329.
- Lee, K. E., (2014), A study on transition of construction of Durumagi, Unpublished master’s thesis, Sungkyunkwan University, Seoul.
- Lee, W. S., (2015), Research & prodection on transformation of Jindong(armhole) of Korean traditional woman's Jeogori, Unpublished master’s thesis, Konkuk University, Seoul.
-
Lim, J. Y., & Lee, H. Y., (2012), A development of Hanbok Jeogori pattern from virtual garment simulation - With a focus on women in their 50s -, Fashion & Textile Research Journal, 14(4), p607-613.
[https://doi.org/10.5805/KSCI.2012.14.4.607]
- Park, S. S., (1993), 廣州郡 突馬面 朽栗里 出土 全州李氏 義安大君 寧昭公派 遺物小考 [Review of relics of Jeonju Lee family Prince Uiahn Youngsogongpa excavated from Huyul-ri, Dolma-myeon, Gyeongju-gun], 한국복식, 11, p57-142.
- Park, S. S., (2012), 德溫公主家 유물 소장 배경과 유형별 특징 [Collecting background and characteristics by type of relics of Princess Duckon family], 한국복식, 30, p7-47.
- Seo, J. H., & Ahn, M. S., (2001), A study of "Houk-Chul-Rik" on 15~16th century - Centering on the excavated clothing of kwangju & cholla south province -, Journal of Korean Traditional Costume, 4(4), p23-34.
- Soh, H. O., & Chu, Y. J., (2001), A study on the Sop(outer collar) expressed in Chogori of Cho-sun age, Chung-Ang Journal of Human Ecology, 14, p127-136.
- Song, M. K., (2009), The presumption of the burial date through the excavated Chul-rik of Ryu, clan of Jin-ju-Collection of the Gyeonggi provincial museum -, Journal of Korean Traditional Costume, 12(2), p139-158.
- The true record of the Joseon dynasty, (1505), 燕山 11年 6月 戊寅 [Prince Yeonsan 11 years, 25 june].
- The true record of the Joseon dynasty, (1793), 正祖 17年 10月 辛未 [King Jeongjo 17 years, 8 october].
- The true record of the Joseon dynasty, (1834), 純祖 34年 4月 甲子 [King Sunjo 34 years, 29 april].







