The Korean Fashion and Textile Research Journal
[ Research ]
Fashion & Textile Research Journal - Vol. 19, No. 2, pp.240-248
ISSN: 1229-2060 (Print) 2287-5743 (Online)
Print publication date 30 Apr 2017
Received 30 Dec 2016 Revised 06 Feb 2017 Accepted 10 Feb 2017
DOI: https://doi.org/10.5805/SFTI.2017.19.2.240

광섬유 자카드 직물의 역학적 특성 및 감성평가

노의경1), ; 송병갑2) ; 김민수2)
1)전북대학교 의류학과
2)한국자카드섬유연구소
Mechanical Properties and Sensibility Evaluation of Jacquard Fabric with Optical Fiber
Eui Kyung Roh1), ; Byung Kab Song2) ; Min Su Kim2)
1)Dept. of Clothing & Textiles, Chonbuk National University; Jeonju, Korea
2)Korea Jacquard Textile Institute; Gongju, Korea

Correspondence to: Eui Kyung Roh E-mail: imbesttt@naver.com

© 2017 (by) the authors. This article is an open access article distributed under the terms and conditions of the Creative Commons Attribution license (http://creativecommons.org/licenses/by/3.0/), which permits unrestricted use, distribution, and reproduction in any medium, provided the original work is properly cited.

Abstract

This study compares general jacquard fabrics and jacquard fabrics with optical fiber on mechanical properties, sensibility and preference evaluation of fabric for the blind. The analysis also assesses the effect of optical fiber in the evaluation and identifies those best suited for consumers. The mechanical properties of jacquard fabrics were measured by the KES-FB system. Sensibility and the preference of the jacquard fabric for the blind were rated on tactile sensation by women experts in their 20's and 30's. It was found that the optical fiber in jacquard fabric affected the change of mechanical properties as well as sensibility and preference. Jacquard fabric with optical fiber were softer and more transformable, while the fabrics had lower recover property by shear force and compression as well as more violent unevenness. Jacquard fabrics were also classified into three hand factors of surface property, resilience and weightiness. There were significant differences on surface property perceptions and weightiness, hand and blind preferences by optical fiber. Jacquard fabrics that contained optical fiber were not preferred by the blind because they were perceived to be uneven and heavy. Those, that were smooth and light, were preferred for jacquard fabric; in addition, fabrics preferred by the blind had good compression.

Keywords:

optical fiber, jacquard fabric, mechanical property, sensibility evaluation, blind

키워드:

광섬유, 자카드 직물, 역학적 특성, 감성평가, 블라인드

1. 서 론

최근 스마트 의류 분야에서는 섬유를 통해 직물에 발광효과를 부여하는 기술 개발이 이루어지고 있다. 광섬유(optical fiber)란 석영 유리나 플라스틱 등의 투명한 유전체(誘電體)를 가늘고 길게 뽑아서 만든 섬유로서, 내원인 코어(core)와 외원인 클래드(clad)의 굴절률 차이를 통해 빛을 전파하는 원리로 작용한다. 이 섬유는 광원과 결합하면 빛을 전송하는 통로로 활용할 수 있어 기존의 전기전도성 소재에서 얻을 수 없는 발광효과를 직물에 부여할 수 있다. 약 120μm 직경으로, 여러 가지 장점을 가지고 있으나, 아직까지는 유연성과 내마모성 등이 부족하여 각종 신체 신호를 전송하고 기록하는 스마트 의류에 시험적으로 사용되거나, 통신, LAN, 케이블 TV, CCTV, 광섬유 센서 등에 이용되고 있다(Cho, 2006; Kim et al., 2011; Yang & Lee, 2011; Yang et al., 2013).

광섬유는 매질의 종류나 굴절률, 전파되는 빛의 모드에 따라 분류되는데 그 중에서 플라스틱 광섬유(POF: plastic optical fiber)는 가볍고 굴곡반경이 작고 가공이 쉬우며 가격이 저렴하여 그 수요가 늘고 있다(Cho, 2004). 광섬유와 일반 합성섬유를 함께 엮은 광섬유 직물로 만든 블라인드는 인테리어용 섬유제품에 새로운 고감성을 제시하며, 광섬유의 단점인 내수성 결여로 인한 세탁 및 유지 관리측면에서의 문제점 극복 가능성을 보여준다. 광섬유 자카드 직물을 블라인드로 사용 시 발광효과와 같은 기능성은 중요한 관건이 된다. 하지만 최근 감성소비의 확산으로 제품의 기능성에 만족하지 않고 다양한 감성을 투영하는 차별화된 제품들이 요구되고 있기 때문에, 소비자의 다양한 욕구를 만족시키기 위하여 광섬유 블라인드 직물에도 감성평가가 필요하다.

소재의 감성적인 성능이 중요시되면서 태, 촉감, 선호도 등에 대한 정의와 평가에 대해 다양한 소재뿐만 아니라, 자카드 직물에 대한 많은 연구가 이루어지고 있다(Jang & Lee, 2010; Kang & Lee, 2009a; Kang & Lee, 2009b; Kawabata, 1980; Kim et al., 2013; Kim & Lee, 2014; Roh & Kim, 2010; Roh & Oh, 2013; Roh & Ryu, 2007; Roh et al., 2013). 그러나 광섬유에 관해서는 직물 및 의류 적용에 관한 연구가 진행되고 있을 뿐, 감성적인 평가에 관한 연구는 미비한 수준이다(Kang et al., 2011; Kim et al., 2012; Lee & Lee, 2011; Masuda et al., 2006; Park et al., 2009).

광섬유가 스마트 소재 내에서 네트워킹 기능을 충분히 발휘하기 위해서는 광섬유의 굴곡이 최소화되어야 광손실을 줄일 수 있고, 굴곡반경을 고려한 제직 또는 제편 기술이 요구된다. 이와 같은 광섬유 특성으로 인하여 광섬유 직물 및 편성물의 두께 변화와 함께 물성변화의 수반이 예상되며, 이로 인한 일반 직물과 다른 역학적 특성 및 태의 생성이 기대된다.

따라서 본 연구에서는 조직 및 위사의 종류를 달리한 총 8종의 자카드 직물을 제직한 후 자카드 직물의 역학적 특성과 감성을 평가 및 분석하여 블라인드 직물에 최적의 조건을 제시하고, 광섬유 유무에 따른 역학적 특성 및 감성의 차이를 분석하여 광섬유 자카드 직물의 개발과 소재기획 시 활용할 수 있는 기초자료를 제시하고자 한다.


2. 연구 방법

2.1. 시료

본 연구에서는 블라인드용 자카드 5종과 광섬유가 들어간 자카드 3종을 사용하였다. 사용된 시료의 특성은 Table 1과 같다. 자카드는 레피어 직기(Rapier weaving machine, JAGA-plus TR 6000, STX TEXTEC, Korea)로 제직하였다. 광섬유(PGR-FB125, TORAY, Japan)의 특성 및 광섬유의 구조, 광섬유 자카드 직물의 단면 및 측면의 특성은 Fig. 1, 2 Table 2와 같다.

Characteristics of jacquard fabrics for blind

Fig. 1.

Optical fiber structure.

Fig. 2.

SEM of jacquard fabric with optical fiber (J6).

Characteristics of optical fiber

2.2. 역학적 특성 평가

블라인드용 자카드 직물의 역학적인 특성을 분석하기 위하여 인장특성, 전단특성, 압축특성과 표면특성을 KES-FB system(Kawabata Evaluation System, Kato Tech. Co. Ltd., 일본)을 이용하여 표준계측 조건하에서 평가하였다. 이때 의류용 직물과 다른 굽힘강성 및 굽힘이력으로 인한 측정기(KESFB2)의 오작동으로, 굽힘특성 측정이 불가능하여 본 연구에서 생략하였다.

2.3. 감성과 선호도 평가

블라인드용 자카드 직물의 감성 평가와 선호도를 평가하기 위하여 주관적 태와 관련된 감성(강연성, 압축특성, 신축성, 탄성회복성, 밀도, 표면요철, 표면마찰, 열적특성)을 나타내는 형용사(ASTM D123 -15b, 2006) 17개와 촉감 및 블라인드 선호도 문항을 사용하였다. 이 문항들은 7점 척도를 이용하여 평가하였으며, 의미미분법을 이용하여 ‘매우 그렇다’를 7점으로, ‘매우 그렇지 않다’를 1점으로 설정하고 설문지를 작성하였다.

20~30대의 의류학 관련 대학생 25명을 대상으로, 2016년 10월 4일~10월 18일까지 실시하였다. 블라인드용 자카드 직물임을 공지하고, 시료(30×15cm)를 다양한 방법(비비기, 누르기, 굽히기, 움켜잡기, 늘어뜨리기, 당기기)으로 만져본 후에 평가하게 하였다.

2.4. 분석

자료분석은 SPSS 18.0을 이용하여 빈도분석, t-검정, 일원분산분석(ANOVA), Duncan의 다중 범위 테스트, 상관분석, 회귀분석 등을 통해 분석하였다.


3. 결과 및 논의

3.1. 역학적 특성

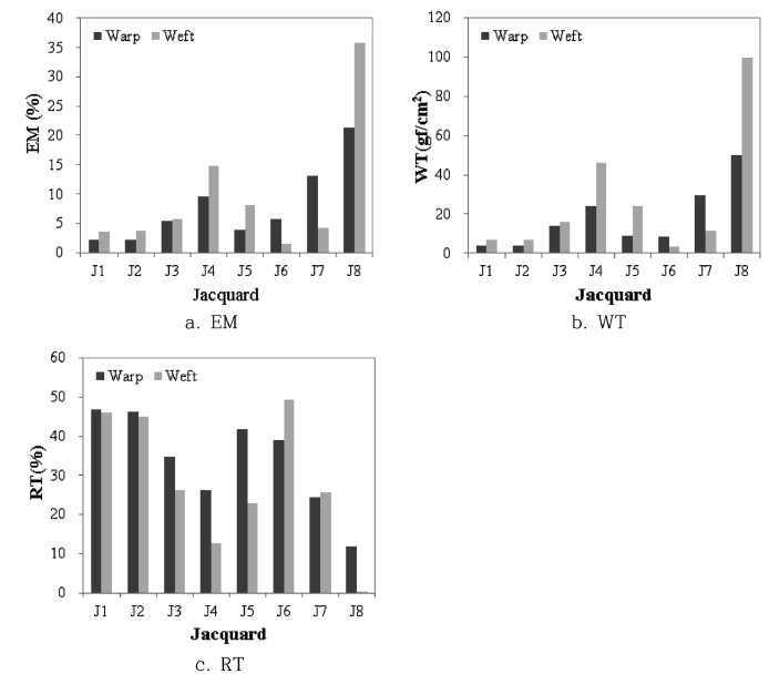
자카드 직물의 역학적 특성을 살펴본 결과, Fig. 3~6과 같다. 신장성(EM, extension)이 클수록 잘 늘어남을 의미한다(Roh & Oh, 2015). 단직인 J 1, 2의 EM은 작아 잘 늘어나지 않으며, 메탈 자카드 이중직물 중에서는 J 4, 광섬유 자카드 이중직물 중에서는 J 8이 다른 자카드 직물들보다 EM이 크게 나타나서 잘 늘어났다. 이와 같은 결과는 자카드 이중직으로 제직 시 신장성이 증가하였으나, 단직으로 제직 시 이중직보다 신장성이 작음을 보여준다. 이와 같이 조직에 의한 신장성 차이뿐만 아니라, 광섬유의 밀도 차이에 의한 신장성에서도 차이가 나타났고, 광섬유의 밀도가 작을수록 신장성이 증가하였다(J 8).

Fig. 3.

Tensile properties of jacquard fabrics.

Fig. 4.

Shear properties of jacquard fabrics.

Fig. 5.

Surface properties of jacquard fabrics.

Fig. 6.

Compression properties of jacquard fabrics.

단위면적 당 인장 에너지(WT, tensile energy)가 클수록 변형이 잘되고 작을수록 인장이 용이하지 않음을 의미하며, 인장 레질리언스(RT, tensile resilience)는 클수록 인장에 대한 회복성이 우수함을 의미한다(Roh & Oh, 2015). 자카드 직물들의 WT는 EM과 유사한 경향을 보여주고 있으나, 신장성이 큰 자카드 직물의 인장에 대한 회복성은 낮게 나타났다. 광섬유 자카드 직물 중에서 J 8의 인장에 대한 회복성은 J 6, 7보다 작게 나타나서, 광섬유의 밀도가 작을 때 인장에 대한 회복성이 저하됨을 알 수 있다. 또한 단직 자카드 직물(J 1, 2)의 인장에 대한 회복성은 이중직 자카드 직물의 회복성보다 큼을 보여준다.

전단강성(G, shear stiffness)은 전단력에 의하여 일어나는 변형으로, G가 클수록 뻣뻣하고 작을수록 유연함을 의미한다. 전단이력(2HG, Hysteresis of shear force)은 전단변형 후의 회복되는 정도를 나타내며, 2HG가 작을수록 전단변형 후 회복이 우수함을 의미한다(Roh & Oh, 2015). 광섬유 유무보다 자카드 직물 간의 G에서 차이가 나타났다. 그러나 광섬유 자카드 직물 중 J 6, 7의 전단강성이 작아 유연하며, 일반 자카드 직물 중에서는 J 5의 전단강성이 커서 뻣뻣하였다. 또한 단직 자카드 직물(J 1, 2)의 전단회복성이 우수하였으나, 광섬유 자카드 직물(J 6, 7, 8)의 전단회복은 용이하지 않은 것으로 나타났다. 이는 광섬유 함유 시 전단력에 의한 변형이 쉬우나, 일반 자카드보다 변형 후 회복이 용이하지 않음을 보여준다.

마찰계수의 평균편차(MMD, mean deviation of MIU)가 작을수록 직물 표면 마찰력의 균일함을 의미하며, 표면 거칠기의 평균편차(SMD, geometrical roughness)는 직물 표면의 굴곡성과 관련된 특성으로, SMD가 작을수록 표면이 평활함을 의미한다(Roh & Oh, 2015). 광섬유 유무에 따라 MMD와 SMD에서 큰 차이가 나타났다. 일반 자카드 직물(J 1~5)의 간에는 미세하게 차이가 나타났으나, 광섬유 자카드 직물의(J 6~8) 경사 방향으로 표면저항이 크고, 굴곡성도 크게 나타났다. 이는 직물의 밀도 및 섬도의 영향으로 나타난 결과로 보인다. 밀도가 클수록 표면저항이 작아 표면이 매끄럽게 평가되었다. 또한 약 120μm인 광섬유가 다른 실보다 굵어서 위사 방향으로 두둑(Fig. 2)이 생성되고 이로 인한 표면 저항 및 표면 굴곡성이 커지기 때문에, 경사방향으로 매끄럽지 않게 평가된 것으로 보인다.

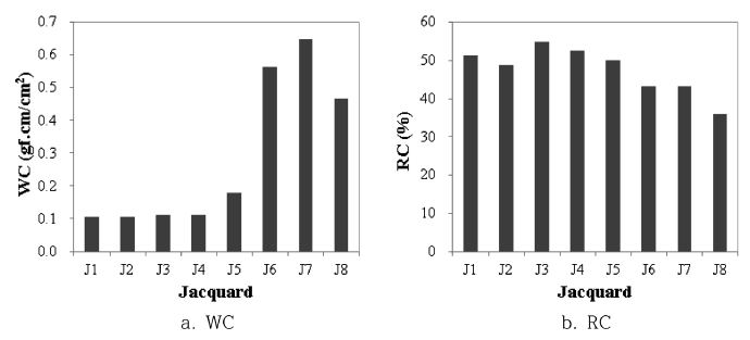
압축에너지(WC, compressional energy)는 클수록 압축변형이 안되고, 작을수록 압축변형이 용이함을 의미하며, 압축회복도(RC, compressional resilience)는 클수록 압축탄성이 풍부하여 압축에 유연함을 의미한다(Roh & Oh, 2015). 광섬유 유무에 따라 WC에서 큰 차이가 나타났다. 일반 자카드 직물(J 1~5)은 낮은 수치로, 직물간의 WC에는 큰 차이가 없었다. 반면에 광섬유 자카드 직물(J 6~8)의 WC는 크게 나타났다. 또한 RC에서도 일반 자카드 직물보다 광섬유 자카드 직물(J 6~8)의 RC가 작게 나타났다. 이는 일반 자카드 직물은 압축변형이 용이하며 압축회복도가 우수하나, 광섬유 함유 시 압축변형이 용이하지 않고 압축탄성이 저하됨을 보여준다.

앞서 보듯이, 자카드 직물의 조직/ 광섬유 사용 유무가 역학적 특성에 영향을 주는 것으로 나타났으며, 이에 대한 상세한 분석을 위하여 자카드 직물의 조직/ 광섬유 사용 유무에 따른 역학적 특성 차이를 알아보기 위하여 ANOVA와 Duncan의 다중 범위 테스트를 실시하였다(Table 3). 그 결과, 단직보다 이중직이, 이중직보다 광섬유 이중직 자카드가 잘 늘어나고 유연하지만, 인장 및 전단회복성은 낮음을 보여준다. 그러나 자카드 직물의 인장 및 전단특성에서는 유의한 차이가 나타나지 않아 그 차이가 크지 않음을 알 수 있다.

The differences of mechanical properties between jacquard weaves

자카드 직물의 표면특성과 압축특성에서 조직/ 광섬유 사용 유무에 따라서 유의한 차이가 나타났다. 단직과 이중직보다 광섬유 이중직 자카드의 표면저항과 굴곡성이 크고 압축변형이 용이하지 않으며, 압축회복도가 저하됨을 보여준다.

이와 같은 결과는 자카드의 조직보다 광섬유 사용 유무가 역학적 특성에 더 영향을 주며, 특히 표면 및 압축특성에 그 영향이 크다는 것을 보여준다.

3.2. 감성 및 선호도평가

3.2.1. 태 요인

자카드 직물의 주관적 태 요인을 분석하기 위하여 요인분석(주성분, Varimax)을 실시하였다. 이때 태 요인을 구성하는 형용사들의 내적 일관성을 평가하기 위하여 신뢰도 분석(Cronbach's α)을 실시하였다(Table 4). 자카드 직물들의 태 요인의 설명력을 높이기 위하여 17개의 형용사 중, 요인 적재값과 각 요인의 신뢰도 값을 낮추는 형용사들은 자카드 직물의 태 요인에 부적합하다고 판단하고 제외시켰다. ‘뻣뻣하다’, ‘딱딱하다’, ‘유연하다’, ‘성글다’, ‘촘촘하다’, ‘폭신하다’ ‘따뜻하다’, ‘차갑다’ 등이 포함되었으며, 이들은 소재의 유연성, 밀도, 압축탄성, 온열특성을 표현하고 있다. 그 결과, 표면특성(surface property), 탄력감(resilience), 무게감(weightness)의 태 요인이 도출되었으며, 각 요인의 Cronbach's a는 0.92~0.63로 형용사들이 태 요인을 평가하는데 신뢰성이 있다고 판단하였다.

Factor analysis for hand adjectives on jacquard fabrics

표면특성은 ‘매끄럽다’, ‘평평하다’, ‘오돌토돌하다’, ‘거칠다’, ‘부드럽다’와 같이 자카드 직물 표면의 마찰저항과 관련이 있는 형용사들로 구성되었고 ‘탄력감’은 ‘신축성있다’, ‘탄력있다’와 같이 자카드 직물의 인장 및 압축변형에 대한 회복성을 표현하는 형용사들로, ‘무게감’은 ‘가볍다’와 ‘두껍다’와 같이 무게 및 두께와 관련된 형용사들로 구성되었다. 요인분석 결과로 도출된 요인 적재값이 음수일 경우에 역코딩하여 이후의 분석에 사용하였다.

3.2.2. 자카드 직물 및 조직/광섬유 유무에 따른 태요인과 선호도 차이

자카드 직물 및 조직/광섬유 유무에 따른 주관적 태 요인과 촉감 및 블라인드 선호도의 차이를 알아보기 위하여 ANOVA와 Duncan의 다중 범위 테스트를 실시하였다(Table 5, 6). 그 결과, 표면특성과 무게감의 태 요인과 촉감 및 블라인드 선호도에서 직물 및 자카드 조직/ 광섬유 유무에 따라 유의한 차이가 나타났으며, 직물별 차이와 자카드 조직/ 광섬유 유무에 따른 태요인과 선호도에서 차이가 유사하게 나타났다. 단직과 이중직 자카드 직물(J 1~5)의 표면은 매끄럽게 지각하였으나, 광섬유 자카드 직물(J 6, 7, 8)은 가장 평활하지 않게 지각하였다. 이는 앞서 역학적 특성에서 언급했듯이, 광섬유의 굵은 섬도(Fig. 2)로 인하여 두둑직처럼 직물의 표면에 광섬유가 부출되어 표면을 평활하지 않게 지각함을 알 수 있다. 광섬유 사용유무와 상관없이 이중직과 광섬유 이중직 자카드 직물을 더 무겁게 지각하였으나, 단직 자카드 직물(J 1, 2)에서는 무게감을 덜 지각하였다.

The differences of subjective factors and preferences between jacquard fabrics

The differences of subjective factors and preferences between jacquard weaves

탄력감에서는 자카드 직물 및 조직/ 광섬유 유무에 따라 유의한 차이가 나타나지 않았는데 이는 본 연구에서 사용한 직물들이 대부분 자카드직으로 제직되어 일반 의류용 직물들보다 두껍고 다양한 조직들의 사용으로 인한 볼륨감 때문에 탄력감의 차이를 지각하지 못하여 나타난 결과로 보인다.

촉감 및 블라인드용으로 단직과 이중직의 일반 자카드 직물(J 1~5)은 선호하였으나, 광섬유 이중직 자카드 직물(J 6, 7, 8)은 선호하지 않는 것으로 나타났다. 이는 조직보다 자카드 직물 내의 광섬유 유무가 촉감 및 블라인드 선호도에 영향을 주고 있음을 보여준다.

3.3. 역학적 특성, 감성과 선호도와의 관계

자카드 직물의 역학적 특성, 주관적 태 요인과 촉감 및 블라인드의 선호도와의 관계를 알아보기 위하여 상관분석을 실시하였다(Table 7). 표면특성은 RT, G, RC, 무게와는 통계적으로 유의미한 정적 상관을, EM, WT, 2HG, MMD, SMD, WC, 두께와는 부적 상관을 보였다. 이는 잘 늘어나지 않지만 인장 시 회복성이 크고, 뻣뻣하지만 전단 변화에 회복성이 우수하며 압축변형이 용이하고, 압축에 대한 회복성이 크고, 표면이 평활하고, 무겁지만 얇을수록 표면을 매끄럽게 지각함을 보여준다.

The correlation between the hand factors, the preference and mechanical properties

무게감은 G, 2HG, SMD, WC, 두께, 무게와 정적 상관을, RT와는 부적 상관관계를 보여 뻣뻣하고, 인장 및 전단 변화에 회복성이 작고, 표면이 평활하지 않고, 압축변형이 용이하지 않고, 무겁고, 두꺼울수록 무게감을 지각함을 보여준다.

촉감 및 블라인드 선호도와 역학적 특성과의 관계는 표면특성과 유사한 상관관계를 보였으나, 블라인드 선호도는 RT, G와는 상관관계가 없는 것으로 나타났다.

촉감 선호도는 표면특성 및 블라인드 선호도와 정적 상관을, 무게감과는 부적 상관을 보여, 자카드 직물이 매끄럽고 가벼울수록 촉감 선호도가 증가함을 알 수 있다. 블라인드 선호도는 표면특성과 정적 상관을 보였으나, 탄력감과 무게감과는 상관이 없는 것으로 나타났다. 자카드 촉감 선호도는 선행연구의 결과들(Roh & Ryu, 2007; Roh & Oh, 2013)과 유사하게 나타났다. 하지만 블라인드 선호도는 촉감 선호도와는 다른 결과가 나타났으며, 이는 소재의 용도에 따라서 요구되는 촉감에 다름을 보여준다. 블라인드는 햇빛을 가리고 바람을 막기 위한 용도로 사용하기 때문에 무게감과 탄력감은 큰 상관이 없는 것으로 판단된다.

3.4. 선호도에 영향을 미치는 역학적 특성과 태요인

다중회귀분석(step-wise)을 통해 촉감 및 블라인드 선호도에 기여하는 자카드의 역학적 특성과 태 요인을 알아보았으며, Table 8과 같다. Durbin-Watson test(D.W)를 통하여 자기상관을 검정하였다. 이때 D.W의 값은 0에서 4까지의 값을 갖게 되며, 일반적으로 2에 가까울수록 자기상관이 존재하지 않는 것으로 판정한다. 본 연구에서 도출된 4개의 회귀모델에서 D.W 값은 1.838~1.932로, 자기상관이 없어 오차항의 독립성을 만족하였다. 또한 독립변수 간의 다중 공선성(multicollinearity)을 진단하였다. 공차한계(허용치, tolerance)가 0.1 이하이거나, 분산팽창계수(variance inflation factor, VIF)값이 10을 넘으며, 단중공선성의 존재를 의심한다. 하지만 4개의 선호도 회귀모델에서 공차한계는 0.357~1.000, VIF는 1.000~2.663으로, 다중공선성에 문제가 없는 것으로 나타났다.

Effects of mechanical properties and the hand factors on the preference

회귀분석 결과, 촉감 선호도에 가장 큰 영향을 미치는 역학적 특성은 자카드 직물의 두께로 나타났으며, 두께는 부적 영향을, WT는 정적 영향을 주었다. 또한 블라인드 선호도에는 RC가 정적 영향을 주었다. 태 요인 중 표면특성이 촉감 선호도에 정적 영향을, 무게감이 부적 영향을 주었으며, 표면특성이 블라인드 선호도에는 정적 영향을 주었다. 즉, 얇고, 인장에 대한 변형이 잘되고, 가벼우며, 직물의 표면이 매끄러운 자카드 직물을 선호하며, 압축탄성이 풍부하여 압축에 유연하며, 직물의 표면이 매끄러운 자카드 직물을 블라인드용으로 선호함을 보여준다.


4. 결 론

본 연구에서는 일반 자카드 직물과 광섬유 자카드 직물의 역학적 특성 및 감성과 선호도를 비교·분석하였으며, 그 결과는 다음과 같다.

자카드 직물 내 광섬유의 밀도가 작을수록 일반 자카드 직물보다 신장성이 증가하지만, 인장에 대한 회복성은 저하하였다. 광섬유 자카드 직물은 일반 자카드 직물보다 전단력에 의한 변형이 쉽지만 회복은 쉽지 않으며, 광섬유로 인한 위사방향의 두둑 생성으로 표면 저항이 커지고 경사방향으로 표면 굴곡성이 커졌다. 또한 압축변형이 용이하지 않았으며, 압축탄성이 저하됨을 보여준다.

자카드 직물의 주관적 태 요인으로 표면특성, 탄력감, 무게감이 도출되었다. 자카드 직물의 광섬유 유무에 따라서 표면특성과 무게감의 태 요인과 촉감 및 블라인드 재킷 선호도에서 유의한 차이가 나타났으며, 광섬유가 함유되면 요철감 및 무게감 지각은 증가하고 촉감 및 블라인드 선호도는 감소하였다.

촉감 선호도에 두께는 부적영향을, WT는 정적 영향을 주었으며, 블라인드 선호도에는 RC가 정적 영향을 주었다. 태 요인 중 표면특성이 촉감 선호도에 정적 영향을, 무게감이 부적 영향을 주었으며, 블라인드 선호도에는 표면특성이 정적 영향을 주었다. 즉, 얇고, 인장에 대한 변형이 잘되고, 가벼우며, 직물의 표면이 매끄러운 자카드 직물을 선호하며, 압축탄성이 풍부하여 압축에 유연하며, 직물의 표면이 매끄러운 자카드 직물을 블라인드용으로 선호하였다.

이와 같은 결과는 기존 광섬유의 섬도로 발현되는 역학적 특성 및 감성은 소비자들을 만족시키는 감성과 차이가 있음을 알 수 있다. 이는 광섬유의 비의류용 사용 시에도 세섬도화, 경량화 및 유연성 개선이 필요함을 보여준다.

본 연구에서는 광섬유의 발광효과 연출없이 촉감으로 인한 감성에 의한 평가만으로 진행되어, 광섬유의 기능이 포함된 감성 평가가 실행되지 못한 것에 대한 한계가 있다. 또한 3종의 광섬유 자카드 직물만 가지고 평가하고, 광섬유와 자카드 문양과의 관계로 인한 역학적 특성 및 감성평가를 실행하지 못하였기 때문에 일반화에는 무리가 있다. 따라서 이후의 연구에서는 다양한 광섬유 직물을 이용하여 감성평가 및 분석을 실시한다면, 소재기획 시 유용한 자료로 활용될 것이라 판단된다.

References

  • ASTM D123-15b, (2016), Standard terminology relating to textiles-A1. Terms relating to the hand of fabrics.
  • Cho, G. S., (2004), Latest textiles, Seoul, Sigmapress.
  • Jang, Y. J., & Lee, J. S., (2010), Mechanical properties and sensibility of Tencel jacquard fabrics treated with Ginkgo biloba extract and silicon softener, Korean Journal of the Science of Emotion and Sensibility, 13(2), p327-336.
  • Kang, D. H., & Lee, J. S., (2009a), Physical performance of metallic jacquard fabrics, Journal of the Korean Society of Clothing and Textiles, 33(1), p149-159. [https://doi.org/10.5850/JKSCT.2009.33.1.149]
  • Kang, D. H., & Lee, J. S., (2009b), Sensibility evaluation of metallic jacquard fabrics, Journal of the Korean Society of Clothing and Textiles, 33(2), p299-307. [https://doi.org/10.5850/JKSCT.2009.33.2.299]
  • Kang, D. H., Lee, Y. J., Lee, J. W., & Lee, J. H., (2011), A study on the sleeve-shaped platform of POF-based joint angle sensor for arm movement-monitoring clothing, Korean Journal of the Science of Emotion and Sensibility, 14(2), p221-226.
  • Kawabata, S., (1980), The standardization and analysis of hand evaluation (2nd ed.), Osaka, The Textile Machinery Society of Japan.
  • Kim, J. H., & Lee, J. S., (2014), Consumer needs and pattern sensibility of jacquard fabrics for raincoat, Fashion & Textile Research Journal, 16(4), p645-652. [https://doi.org/10.5805/SFTI.2014.16.4.645]
  • Kim, J. H., Lee, J. S., Lee, S. Y., & Lee, S. G., (2013), Consumer needs and sensory evaluation of jacquard fabrics for blind using low melting polyester, Korean Journal of Human Ecology, 22(6), p673-686. [https://doi.org/10.5934/kjhe.2013.22.6.673]
  • Kim, J. S., Park, S. J., Kim, Y. J., & Lee, J. H., (2011), An exploratory study on luminescent properties and the relevant applications of POF-based flexible textile display for mountaineer wear with safeguard function, Korean Journal of the Science of Emotion and Sensibility, 14(1), p165-174.
  • Kim, N. H., Yang, J. H., Hong, S. K., Hong, S. I., & Lee, J. H., (2012), A suggestion of guideline for designing of logo type for apparel products based on the technology of flexible plastic optical fiber, Korean Journal of the Science of Emotion and Sensibility, 15(4), p469-476.
  • Lee, Y. J., & Lee, J. H., (2011), A study on the implementation of digital color clothing - Focusing on the digital color clothing using plastic optic fiber -, Journal of Korean Society of Color Studies, 25(3), p27-35.
  • Masuda, A., Muurakami, T., Honda, K., & Yamaguchi, S., (2006), Optical properties of woven fabrics by plastic optical fiber, Journal of Textile Engineering, 52(3), p93-97. [https://doi.org/10.4188/jte.52.93]
  • Park, S. J., Park, S. H., & Lee, J. H., (2009), A study on the modular design of smart photonic sports clothing based on optical fiber technology, Korean Journal of the Science of Emotion and Sensibility, 12(4), p393-402.
  • Roh, E. K., & Kim, S. H., (2010), Subjective hand and sensibility of knit fabrics according to preference segmentation, Journal of the Korean Society of Clothing and Textiles, 34(10), p1611-1620. [https://doi.org/10.5850/JKSCT.2010.34.10.1611]
  • Roh, E. K., & Oh, K. W., (2013), Surface properties of artificial suedes, Fashion & Textile Research Journal, 15(2), p309-315. [https://doi.org/10.5805/SFTI.2013.15.2.309]
  • Roh, E. K., & Oh, K. W., (2015), Hand and preference evaluation of laminated waterproof breathable fabric, Fashion & Textile Research Journal, 17(5), p854-861. [https://doi.org/10.5805/SFTI.2015.17.5.854]
  • Roh, E. K., & Ryu, H. S., (2007), Structural equation model(SEM) for constituent characteristics, texture, sensibility and preference of fabric (Part 1) - Weight of F/W women's jacket fabrics -, Journal of the Korean Society of Clothing and Textiles, 31(8), p1240-1251. [https://doi.org/10.5850/JKSCT.2007.31.8.1240]
  • Roh, E. K., Oh, K. W., & Kim, S. H., (2013), Classification of synthetic polyurethane leather by mechanical properties according to consumers’ preference for fashion items, Fibers and Polymers, 14(10), p1731-1738. [https://doi.org/10.1007/s12221-013-1731-x]
  • Yang, E. K., & Lee, J. H., (2011), Luminescence effects of POF-based flexible textile by post-treated optic illuminate, Korean Journal of the Science of Emotion and Sensibility, 14(4), p495-502.
  • Yang, J. H., Park, S. H., Cho, H. S., & Lee, J. H., (2013), A study of luminescence effects of POF-woven fabric display by method of weaving, Korean Journal of the Science of Emotion and Sensibility, 16(4), p517-526.

Fig. 1.

Fig. 1.
Optical fiber structure.

Fig. 2.

Fig. 2.
SEM of jacquard fabric with optical fiber (J6).

Fig. 3.

Fig. 3.
Tensile properties of jacquard fabrics.

Fig. 4.

Fig. 4.
Shear properties of jacquard fabrics.

Fig. 5.

Fig. 5.
Surface properties of jacquard fabrics.

Fig. 6.

Fig. 6.
Compression properties of jacquard fabrics.

Table 1.

Characteristics of jacquard fabrics for blind

No. Material(%) Weave Yarn number Density
(inch)
Thickness
(mm)
Weight
(g/m2)
Note
J: jacquard, Wp: warp, Wf: weft, PET: polyester, M: metallic yarn, O: optical fiber
J 1 Wp: PET,
Wf: Rayon 75.5+ramie24.5
Jacquard Wp: 150d/48
Wf: 30's
168*75 0.36 200.9 · PET: Flame retardant fiber
· Metallic yarn: Covered yarn
  (Film50/1+PET150/48)
J 2 Wp: PET,
Wf: Rayon 75.5+ramie24.5
Jacquard Wp: 150d/48,
Wf: 30's
168*80 0.41 210.0
J 3 Wp: PET,
Wf: Rayon 75.5+ramie24.5/metallic
Jacquard
double weave
Wp: 150d/48,
Wf: 30's, M: 150d/48
168*55/55 0.50 254.1
J 4 Wp: PET,
Wf: Rayon 75.5+ramie24.5/metallic
Jacquard
double weave
Wp: 150d/48,
Wf: 30's, M: 150d/48
168*55/168 0.50 267.3
J 5 Wp: PET,
Wf: Rayon 75.5+ramie24.5/metallic
Jacquard
double weave
Wp: 150d/48,
Wf: 30's, M: 150d/48
168*64/64 0.56 280.1
J 6 Wp: PET,
Wf: PET/optical fiber
Jacquard
double weave
Wp: 150d/48
Wf: 48d/48, O: 125μm
168*80/49 0.78 226.6
J 7 Wp: PET,
Wf: PET/optical fiber
Jacquard
double weave
Wp: 150d/48
Wf: 48d/48, O: 125μm
168*80/28 0.82 220.1
J 8 Wp: PET,
Wf: PET/optical fiber
Jacquard
double weave
Wp: 150d/48
Wf: 48d/48, O: 125μm
168*80/23 1.26 216.5

Table 2.

Characteristics of optical fiber

Characteristic Core Cladding
Material Polymethyl methacrylate
(PMMA)
Fluorinated polymer
Diameter (μm) 118±7.5 125±7.5
Refractive index 1.49 1.41

Table 3.

The differences of mechanical properties between jacquard weaves

Mechanical
properties
Tensile Shear Surface Compression
EM WT RT G HG MMD SMD WC RC
*p<.05
**p<.01
a, b: Groups with significant differences according to Duncan's multiple rage test were noted with different letters.
Jacquard 2.94 5.6 46.12 1.17 1.23 0.02 b 4.71 b 0.11 b 50.07 a
Jacquard double weave 7.92 22.13 27.42 1.97 3.04 0.01 b 5.36 b 0.13 b 52.59 a
Jacquard double weave with optical fiber 13.59 33.77 25.09 1.07 7.01 0.03 a 9.79 a 0.56 a 40.90 b
F-value 0.93 0.81 1.82 3.38 4.61 8.27* 9.51* 45.63** 11.43*

Table 4.

Factor analysis for hand adjectives on jacquard fabrics

Adjectives Component Rotation sums of squared loadings Cronbach's α
Surface property Resilience Weightess Total % of Variance Cumulative %
Slippery .884 3.806 42.294 42.294 .92
Smooth .867 -.163 -.165
Harsh -.864 188 .178
Rough -.837 .133 .260
Soft .828 -.128 -.122
Stretchy -.173 .871 1.637 18.189 60.482 .72
Springy -.127 .867
Light -.890 1.523 16.922 77.405 .63
Thick -.298 .167 .761

Table 5.

The differences of subjective factors and preferences between jacquard fabrics

Fabric no. Subjective factors (Factor score) Preferences (Point)
Surface properties Resilience Weightness Hand Blind
**p<.01
***p<.001
a, b, c: Groups with significant differences according to Duncan's multiple rage test were noted with different letters.
J 1 0.651 a 0.095 -0.790 c 4.15 a 4.00 ab
J 2 0.576 a -0.161 -0.688 c 4.45 a 3.80 ab
J 3 0.443 a 0.053 0.194 ab 3.95 a 3.85 ab
J 4 0.486 a -0.089 -0.072 ab 4.70 a 4.55 a
J 5 0.516 a -0.156 0.658 a 4.15 a 4.05 ab
J 6 -0.791 b 0.119 0.227 ab 2.84 b 3.05 c
J 7 -0.891 b 0.086 0.285 ab 2.60 b 3.55 bc
J 8 -1.046 b 0.066 0.226 ab 2.10 b 2.05 c
F-values 20.57*** 0.26 5.93*** 6.18*** 3.61**

Table 6.

The differences of subjective factors and preferences between jacquard weaves

Weave Subjective factors (Factor score) Preferences (Point)
Surface properties Resilience Weightness Hand Blind
**p<.01
***p<.001
a, b: Groups with significant differences according to Duncan's multiple rage test were noted with different letters.
Jacquard 0.613 a -0.037 -0.738 b 4.30 a 3.90 a
Jacquard double weave 0.482 a -0.064 0.254 a 4.27 a 4.15 a
Jacquard double weave with optical fiber -0.909 b 0.090 0.246 a 2.51 b 2.88 b
F-values 73.04*** 0.37 17.23*** 19.63*** 7.94**

Table 7.

The correlation between the hand factors, the preference and mechanical properties

Correlation coefficient Hand factor Preference
Surface properties Resilience Weightness Hand Blind
*p<.05
**p<.01
***p<.001
Mechanical
properties
Tensile EM -0.39*** 0.02 0.15 -0.27** -0.25**
WT -0.35*** 0.01 0.15 -0.24** -0.23**
RT 0.32** -0.01 -0.24** 0.21** 0.15
Shear G 0.29** -0.07 0.18* 0.16* 0.06
2HG -0.59*** 0.04 0.26** -0.41*** -0.32***
Surface MMD -0.62*** 0.04 0.13 -0.43*** -0.34***
SMD -0.62*** 0.05 0.26** -0.40*** -0.30***
Compression WC -0.67*** 0.06 0.22** -0.42*** -0.25**
RC 0.63*** -0.04 -0.13 0.42*** 0.34***
Thickness -0.64*** 0.05 0.24** -0.43*** -0.34***
Weight 0.23** -0.05 0.30*** 0.18* 0.17*
Preference Hand 0.47*** -0.06 -0.17* 1.00 0.48***
Blind 0.31*** 0.04 -0.07 0.48*** 1.00

Table 8.

Effects of mechanical properties and the hand factors on the preference

Dependent
variable
Step Independent
variable
Regression
coeffcients
Standardized
regression coefficients
t-value Tolerance VIF F Adj.R2
**p<.01
***p<.001
Hand preference 1 Constant 5.538 15.85*** 35.54*** 0.179
Thickness -2.956 -0.43 -5.96*** 1 1
2 Constant 5.954 15.24*** 20.81*** 0.200
Thickness -4.388 -0.638 -5.49*** 0.357 2.663
WT .023 0.263 0.263* 0.357 2.663
Regression equation Hand preference=5.954-4.388*Thickness+0.023*WT
D.W= 1.838
Blind
preference
1 Constant -1.664 -1.425*** 20.73*** 0.110
RC .111 0.341 4.553*** 1 1
Regression equation Blind preference=-1.664+0.111*RC
D.W= 1.932
Hand
preference
1 Constant 3.638 26.984*** 43.762*** .220
Surface property .893 .474 6.615*** 1 1
2 Constant 3.637 27.419*** 25.583*** .244
Surface property .892 .474 6.720*** 1 1
Weightness -.324 -.172 -2.442* 1 1
Regression equation Hand preference= 3.637+0.892 *Surface property-0.324*Weightness
D.W=1.858
Blind
preference
1 Constant 3.636 24.995*** 16.63*** 0.093
Surface property .595 .314 4.077*** 1 1
Regression equation Blind preference=3.639+0.595*Surface property
D.W=1.862